அயனிச் சமநிலை | வேதியியல் - சரியான விடையைத் தேர்வு செய்க | 12th Chemistry : UNIT 8 : Ionic Equilibrium
I. சரியான விடையைத் தேர்வு செய்க
1. ஒரு Ag2C2O4 இன் தெவிட்டிய கரைசலில் உள்ள Ag+ அயனிகளின் செறிவு 2.24 × 10-4 molL-1 எனில், Ag2C2O4 இன் கரைதிறன் பெருக்க மதிப்பு
அ) 2.42 × 10-8 mol3L-3
ஆ) 2.66 × 10-12 mol3 L-3
இ) 4.5 × 10-11 mol-3 L-3
ஈ) 5.619 × 10-12 mol3 L-3
விடை : ஈ) 5.619 × 10-12 mol3 L-3
தீர்வு :
Ag2C2O4 ⇌ 2Ag+ + C2O42-
[Ag+] = 2.24 × 10-4 mol L -1
[C2O42- ] = (2.24 × 10-4 ) / (2) mol L -1
= 1.12 × 10-4 mol L -1
K sp = [Ag+]2 [C2O42- ]
(2.24 × 10-4 mol L-1)2 (1.12 × 10-4 mol L-1)
= 5.619 × 10-12 mol3 L-3
2. வெவ்வேறு செறிவுகளைக் கொண்ட NaOH மற்றும் HCl கரைசல்களை, வெவ்வேறு கன அளவுகளில் கலந்து பின்வரும் கரைசல்கள் தயாரிக்கப்பட்டன.
i. 60 mL (M/10) HCl + 40mL (M/10) NaOH
ii. 55 mL (M/10) HCl + 45 mL (M/10) NaOH
iii. 75 mL (M/5) HCl + 25mL (M/5) NaOH
iv. 100 mL (M/10) HCl + 100 mL (M/10) NaOH
அவற்றில் எந்த கரைசலின் pH மதிப்பு 1 ஆக இருக்கும்?
அ) iv
ஆ)i
இ) ii
ஈ) iii
விடை : ஈ) iii . 75 mL (M/5) HCl + 25mL (M/5) NaOH
தீர்வு :
HClன் மோல்களின் எண்ணிக்கை
= 0.2 × 75 × 10-3 =15 × 10-3
NaOHன் மோல்களின் எண்ணிக்கை
= 0.2 × 25 × 10-3 = 5 × 10-3
கலந்த பின் HCLன் மோல்களின் எண்ணிக்கை
= 15 × 10-3 – 5 × 10-3 = 10 × 10-3
ஃHClன் செறிவு = HCl மோல்களின் எண்ணிக்கை / கனஅளவு (lit)
(10 × 10-3 / 100 × 10-3 ) = 0.1M
0.1 M HCl கரைசலின் pH = -log100.1 =1
3. 298K ல், நீரில் BaSO4 இன் கரைதிறன் 2.42 × 10-3 gL-1 எனில் அதன் கரைதிறன் பெருக்க (Ksp) மதிப்பு (BasO4 இன் மோலார் நிறை = 233g mol-1)
அ) 1.08 × 10-14 mol2 L-2
ஆ) 1.08 × 10-12mol2 L-2
இ) 1.08 × 10-10 mol2 L-2
ஈ) 1.08 × 10-8 mol2 L-2
விடை : இ) 1.08 × 10-10 mol2 L-2
தீர்வு :
BaSO4 ↔ Ba2+ +SO42-
ksp = (s) (s)
ksp = (s)2
= (2.42 × 10-3 g L-1)2
= (2.42 × 10-3 g L-1)2 / (233g mol-1)
= (0.01038 ×10-3)2
= (1.038 × 10-5)2
= 1.077 × 10-10
= 1.08 × 10-10 mol2 L-2
4. தெவிட்டிய Ca(OH)2 கரைசலின் pH மதிப்பு 9 எனில், Ca(OH)2 இன் கரைதிறன் பெருக்க (Ksp) மதிப்பு
அ) 0.5 × 10-15
ஆ) 0.25 × 10-10
இ) 0.125 × 10-15
ஈ) 0.5 × 10-15
விடை : அ) 0.5 × 10-15
தீர்வு :
Ca(OH)2 ⇌ Ca2+ + 2OH-
PH = 9 என கொடுக்கப்பட்டது.
pOH = 14 – 9 = 5
(pOH = -log10[OH-])
ஃ [OH-] = 10- pOH
[OH-] = 10-5M
Ksp= [Ca2+] [OH-]2
= (10-5 / 2 ) × (10-5) ⇒ 0.5 × 10-15
5. H2O மற்றும் HF ஆகிய ப்ரான்ஸ்டட் அமிலங்களின் இணை காரங்கள்
அ) முறையே OH- மற்றும் H2FH+, ஆகியன
ஆ) முறையே H3O+ மற்றும் F-, ஆகியன
இ) முறையே OH- மற்றும் F-, ஆகியன
ஈ) முறையே H3O+ மற்றும் H2F+, ஆகியன
விடை : இ) முறையே OH- மற்றும் F-, ஆகியன
தீர்வு :
H2O + H2O ⇌ H3O+ + OH-
அமிலம் 1 காரம் 2 அமிலம் 2 காரம்
HF + H2O ⇌ H3O+ + F-
காரம் 2 அமிலம் 2 காரம் 1
இணையான காரங்கள் முறையே OH- மற்றும் F-ஆகும்
6. எது காரத் தாங்கல் கரைசலை உருவாக்கும்?
அ) 50 mL of 0.1 MNaOH + 25 mL of 0.1 M CH3COOH
ஆ) 100 mL of 0.1 M CH3COOH + 100 mL of 0.1 MN4HOH
இ) 100 mL of 0.1 M HCl + 200 mL of 0.1 M NH4OH
ஈ) 100 mL of 0.1 M HCl + 100 mL of 0.1 M NaOH
விடை : இ) 100 mL of 0.1 M HCl + 200 mL of 0.1 M NH4OH
தீர்வு :
காரத்தாங்கல் கரைசல் வலிமை குறைகாரம் மற்றும் அதன் உப்பினைக் கொண்டுள்ளது.
NH4OH + HCl → NH4Cl + H2O + NH4OH
200 ml 100 ml - Salt (100 ml (வலிமை குறைகாரம்)
7. பின்வரும் புளூரோ சேர்மங்களில் லூயிகாரமாக செயல்படக்கூடியது எது?
அ) BF3
ஆ) PF3
இ) CF4
ஈ) SiF4
விடை : ஆ) PF3
தீர்வு :
BF3 → எலக்ட்ரான் குறை → லூயிஸ் அமிலம்
PF3 → எலக்ட்ரான் மிகுதி → லூயிஸ் காரம்
Cf4 → நடுநிலை → லூயிஸ் அமிலம் காரம் இரண்டும் அல்ல
SiF4 → நடுநிலை → லூயிஸ் அமிலம் அல்ல லூயிஸ் காரமும் அல்ல
8. பின்வருவனவற்றுள் லூயி காரமாக செயல்படாதது எது?
அ) BF3
ஆ) PF3
இ) CO
ஈ) F-
விடை : அ) BF3
தீர்வு :
Bf3 → எலக்ட்ரான் குறை → லூயிஸ் அமிலம்
PF3 → எலக்ட்ரான் மிகுதி → லூயிஸ் காரம்
CO → தனித்த எலக்ட்ரான் இரட்டைகள் → லூயிஸ் காரம்
F → இணையாத எலக்ட்ரான் இணைகள் → லூயிஸ் காரம்
9. சோடியம் ஃபார்மேட், அனிலீனியம் குளோரைடு மற்றும் பொட்டாசியம் சயனைடு ஆகியவற்றின் நீர்கரைசல்கள் முறையே
அ) அமிலம், அமிலம், காரம்
ஆ) காரம், அமிலம், காரம்
இ) காரம், நடுநிலை , காரம்
ஈ) இவற்றில் ஏதுமில்லை
விடை : ஆ) காரம், அமிலம், காரம்
தீர்வு :

வாய்ப்பு (ஆ) காரத்தன்மை, அமிலத்தன்மை, காரத்தன்மை என்பது சரி
10. 0.10M செறிவுடைய நீரிய பிரிடின் கரைசலில், பிரிடினியம் அயனியை (C5H5NH) உருவாக்கக் கூடிய பிரிடின் (C5H5N) மூலக்கூறு களின் சதவீதம் (Kb for C5H5N = 1.7 × 10-9)
அ) 0.006%
ஆ) 0.013%
இ) 0.77%
ஈ) 1.6%
விடை : ஆ) 0.013%
தீர்வு :

= 1.3 × 10-2 = 0.013%
11. சம கன அளவுடைய, 1,2 மற்றும் 3 எனும் pH மதிப்புகளைக் கொண்ட மூன்று அமிலக் கரைசல்கள் ஒரு கலனில் கலக்கப்படுகின்றன. கலவையில் உள்ள H+ அயனிச் செறிவு என்ன?
அ) 3.7 × 10–2
ஆ) 10-6
இ) 0.111
ஈ) இவை எதுவுமல்ல
விடை : அ) 3.7 × 10-2
pH = - log10[H+]
[H+] = 10-pH
கன அளவு x mL என கருதுக
V1M1 + V2M2 + V3M3 =VM
xmL of 10-1 M + xmL of 10-2 M + xmL of 10-3 M
= 3x mL of [H+]
ஃ[H+] = x[0.1 + 0.01 + 0.001] / 3x
= (0.1 + 0.01 + 0.001) / 3
= (0.111 / 3) = 0.037 ⇒ 3.7 × 10-2
12. 0.1 M NaCl கரைசலில், கரைதிறன் பெருக்க மதிப்பு 1.6 × 10-10 கொண்ட AgCl(s) திண்மத்தின் கரைதிறன் மதிப்பு
அ) 1.26 × 10-5 M
ஆ) 1.6 × 10-9 M
இ) 1.6 × 10-11 M
ஈ) பூஜ்ஜியம்
விடை : ஆ) 1.6 × 10-9M
தீர்வு :
AgCl(s) ⇌ Ag+(aq) + Cl-(aq)
NaCl → Na+ + Cl-
0.01M 0.01M 0.01M
Ksp = 1.6 × 10-10
Ksp = [Ag+][Cl-]
Ksp = (s) (s+0.1)
0.1 >>>s
ஃ s+0.1 = 0.1
ஃ S = (1.6 × 10-10 ) / (0.1) = 1.6 × 10-9
13. லெட் அயோடைடின் கரைதிறன் பெருக்க மதிப்பு 3.2 x 10-8 எனில், அதன் கரைதிறன் மதிப்பு
அ) 2 × 10-3M
ஆ) 4 × 10-4M
இ)1.6 × 10-5M
ஈ)1.8 × 10-5M
விடை : அ) 2 × 10-3M
தீர்வு :
PbI2(s) ⇌ Pb2+(aq) + 2I-(aq)
Ksp = (s) (2s)2
3.2 × 10-8 = 4s3
S = (3.2 × 10-8) / (4)1/3
= (8 × 10-9)1/3 = 2 × 10-3M
14. அறைவெப்பநிலையில் MY மற்றும் NY3, ஆகிய கரையாத உப்புகள் 6.2 × 10-13 என்ற சமமான, Ksp மதிப்புகளை கொண்டுள்ளன. MY மற்றும் NY3 ஆகியவற்றைப் பொறுத்தவரையில் எந்த கூற்று உண்மையானது?
அ) MY மற்றும் NY3 ஆகிய உப்புகள் தூய நீரைவிட 0.5 M KY கரைசலில் அதிகம் கரைகின்றன.
ஆ) MY மற்றும் NY3 தொங்கலில் KY எனும் உப்பை சேர்ப்பதினால் அவற்றின் கரைதிறன்களில் எவ்வித விளைவும் உண்டாவதில்லை.
இ) நீரில் MY மற்றும் NY3 இரண்டின் மோலார் கரைதிறன் மதிப்புகளும் சமம்.
ஈ) நீரில் MY யின் மோலார் கரைதிறன், NY3 யின் மோலார் கரைதிறனைவிட குறைவு
விடை : ஈ) நீரில் MY யின் மோலார் கரைதிறன், NY3 யின் மோலார் கரைதிறனைவிட குறைவு
தீர்வு :
KY உப்பு சேர்ப்பதால் CY [Y-] பொது அயனியை கொண்டது. பொது அயனிவிளைவின் காரணமாக MY மற்றும் NY3 ஆகியவைகளின் கரைதிறனைக் குறைக்கிறது. எனவே வாய்ப்பு (அ) மற்றும் (ஆ) தவறு
MY உப்பிற்கு, MY ⇌ M+ + Y-
Ksp = (s) (s)
6.2 × 10-13 ≈ s2
ஃ s = √6.2 × 10-13 = 10-7
NY3,உப்பினில்
MY ⇌ M+ + Y-
Ksp = (s) (3s)3
Ksp = 27s4
ஃ s = (6.2 × 10-13) / (27)1/4
நீரில் MY யின் மோலார் கரைதிறனானது NY3 யைவிட குறைவு
s ≈ 10-4
15. சம கன அளவுள்ள 0.1 M NaOH மற்றும் 0.01M HCI கரைசல் களை ஒன்றாக கலக்கும் போது கிடைக்கும் கரைசலின் pH மதிப்பு என்ன?
அ) 2.0
ஆ) 3
இ) 7.0
ஈ) 12.65
விடை : ஈ) 12.65
தீர்வு :
x ml 0.1 m NaOH + x ml of 0.01 M HCl
NaOHன் மோல்களின் எண்ணிக்கை
= 0.1 × x × 10-3 = 0.1 × 10-3
HCl ன் மோல்களின் எண்ணிக்கை
= 0.1 × x × 10-3 = 0.01 × 10-3
கலந்த பின் NaOHன் மோல்களின் எண்ணிக்கை
= 0.1x × 10-3 - 0.01x × 10-3 = 0.09x × 10-3
NaOHன் செறிவு = (0.09x × 10-3) / (2x × 10-3) = 0.045
[OH-] = 0.045
pOH = -log(4.5 × 10-2)
= 2 – log 4.5
= 2 – 0.65 = 1.35
pH = 14 = 1.35 = 12.65
16. ஒரு வலிமை குறைந்த அமிலத்தின் பிரிகை மாறிலி மதிப்பு 1 × 10-3 pH = 4 எனும் மதிப்பு கொண்ட ஒரு தாங்கல் கரைசலை தயாரிக்க தேவையான
[அமிலம்)/ [உப்பு] = விகிதம்
அ) 4 :3
ஆ) 3:4
இ) 10:1
ஈ) 1 : 10
விடை : ஈ) 1:10
தீர்வு :
Ka =1 × 10-3 pH = 4

17. 10-5M KOH கரைசலின் pH மதிப்பு
அ) 9
ஆ)5
இ) 19
ஈ) இவை எதுவுமல்ல
விடை : அ) 9
தீர்வு :

[OH-] = 10-5 M
pH = 14 = POH
pH = 14 – (-log[OH-]
= 14 + log[OH-]
= 14 + log10-5 ⇒ = 14 – 5 ⇒ = 9
18. H2PO4-ன் இணை காரம்
அ) PO43-
ஆ) P2O5
இ) H3PO4
ஈ) HPO42-
விடை : இ) H3PO4
தீர்வு :
H3PO4 + H – OH ⇌ H3O+ + H2PO4-
அமில ம்1 காரம் 2 அமிலம் 2 காரம் 1
ஃ H2PO4 - என்பது H3PO4ன் இணைகாரம் ஆகும்.
19. பின்வருவனவற்றுள் எது லௌரி – ப்ரான்ஸ்டட் அமிலமாகவும், காரமாகவும் செயல்பட முடியும்?
அ) HCl
ஆ) SO42-
இ) HPO42-
ஈ) Br-
விடை : இ) HPO42-
தீர்வு :
HPO42- - ஆனது ஒரு புரோட்டானை ஏற்று
H2PO4- ஐ உருவாக்கும்.
அது ஒரு புரோட்டானை இழக்கும் போது
PO43- உருவாகும்.
20. ஒரு நீரிய கரைசலின் pH மதிப்பு பூஜ்ஜியம், எனில் அந்த கரைசல்
அ) சிறிதளவு அமிலத்தன்மை கொண்டது
ஆ) அதிக அமிலத்தன்மை கொண்டது
இ) நடுநிலைத் தன்மை கொண்டது
ஈ) காரத் தன்மை கொண்டது
விடை : ஆ) அதிக அமிலத்தன்மை கொண்டது
தீர்வு :
pH = - log1o[H+]
[H+] =1M
[H+] = 10-pH
= 100 =1
இக்கரைசல் வலிமைமிகு அமிலமாகும்
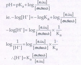
21. ஒரு வலிமை குறைந்த அமிலம் மற்றும் அதன் உப்புகளை கொண்டுள்ள ஒரு தாங்கல் கரைசலின் ஹைட்ரஜன் அயனிச் செறிவை குறிப்பிடுவது

விடை : அ)
தீர்வு :
ஹெண்டர்சன் சமன்பாட்டின் படி

pH = pKa + log ([உப்பு ]/[அமிலம் ])
ie. - log [H+ ] = - log Ka +log ([உப்பு] / [அமிலம்])
-log[H+] = log ([உப்பு]/ [அமிலம்]) × (1/Ka)
log (1/[H+]) = log ([உப்பு]/ [அமிலம்]) × (1/Ka)
∴[H+] = Ka {[அமிலம்] / [உப்பு] }
22. பின்வருவனவற்றுள் அம்மோனியம் அசிட்டேட்டின் நீராற்பகுத்தல் வீதத்தை குறிப்பிடும் சரியான தொடர்பு எது?

விடை : இ)
தீர்வு :
h= √{ (Kh) / (Ka .Kb) }
23. NH4OH இன் பிரிகை மாறிலி மதிப்பு 1.8 × 10-5 எனில் NH4Cl இன் நீராற்பகுத்தல் மாறிலி மதிப்பு
அ) 1.8 × 10-19
ஆ) 5.55 × 10-10
இ) 5.55 × 10-5
ஈ) 1.80 × 10-5
விடை : ஆ) 5.55 × 10-10
தீர்வு:
Kh = Kw / Kb
= 1 × 10-14 / 1.8 × 10-5
= 0.55 × 10-9
= 5.5 × 10-10