ஒளியியல் | இயற்பியல் - முழு அக எதிரொளிப்பின் விளைவுகள் | 12th Physics : UNIT 6 : Ray Optics
முழு அக எதிரொளிப்பின் விளைவுகள்
வைரம் ஜொலிப்பதற்குக் காரணம், அதன் உள்ளே நடைபெறும் முழு அகஎதிரொளிப்பே ஆகும். வைரத்தின் ஒளிவிலகல் எண் கிட்டத்தட்ட 2.417 ஆகும். இம்மதிப்பு சாதாரண கண்ணாடியின் ஒளிவிலகல் எண் மதிப்பான கிட்டத்தட்ட 1.5 ஐ விட மிகவும் அதிகம். வைரத்தின் மாறுநிலைக் கோணம் ஏறத்தாழ 244°. இது கண்ணாடியின் மாறுநிலை கோணத்தைவிட மிகவும் குறைவு. திறமை வாய்ந்த வைரவேலை செய்பவர் படுகோணத்தின் இந்த நீண்ட நெடுக்கத்தை (2440 இல் இருந்த 90° வரை) நன்கு பயன்படுத்திக்கொள்வார். படம் 6.22 இல் காட்டப்பட்டுள்ளவாறு வைரத்தின் உள்ளே நுழைந்த ஒளி வெளியேறுவதற்கு முன்பாக வைரத்தின் உட்புறமுள்ள வெட்டுமுகங்களில் பலமுறை முழு அக எதிரொளிப்பு அடைகிறது. அவ்வாறு முழு அக எதிரொளிப்பு அடைவதால் வைரம் நன்கு ஜொலிக்கிறது.

காற்றின் அடர்த்தியைப் பொருத்து, ஒளிவிலகல் எண்ணும் அதிகரிக்கும். வெப்பமான பகுதிகளில் உயரத்தில் உள்ள காற்றைவிட, தரையின் அருகில் உள்ள காற்றின் வெப்பம் அதிகமாக இருக்கும். வெப்பக்காற்றின் அடர்த்தி குறைவு. எனவே, வீசாமல் ஒரே இடத்தில் உள்ள காற்றைப் பொருத்தவரை உயரம் அதிகரிக்க அதிகரிக்க , ஒளிவிலகல் எண்ணும் அதிகரிக்கும். இதன் காரணமாக மரம் போன்ற உயரமான பொருள்களிலிருந்து வரும் ஒளி தரையை நோக்கிக் செல்லச்செல்ல ஊடகத்தின் ஒளிவிலகல் எண் குறையும். இவ்வாறு ஒளிவிலகல் எண்கொண்ட ஊடகத்தின் வழியே ஒளிக்கதிர் செல்லும்போது, காற்றின் வெவ்வேறு அடுக்குகளில், செங்குத்துக் கோட்டினைவிட்டு ஒளிக்கதிர் தொடர்ந்து விலகலடையும். மேலும், தரையின் அருகே படுகோணம் மாறுநிலைக் கோணத்தைவிட அதிகமாக உள்ள நிலையில் முழு அக எதிரொளிப்பு அடையும். அதாவது ஒளி தரையின் அடியிலிருந்து வருவதுபோன்ற ஓர் மாயத்தோற்றத்தை ஏற்படுத்தும். காற்று அடுக்குகளின் அசையும் தன்மையினால் நீர் நிலையில் இருந்து எதிரொளிப்பது போன்று தெரியும் அல்லது பொருளுக்கு அடியில் ஈரப்பரப்பு உள்ளது போன்று தெரியும். இது படம் 6.23 (அ) இல் காட்டப்பட்டுள்ளது. இந்நிகழ்விற்குக் கானல் நீர் என்று பெயர்.
குளிர்பிரதேசங்களில் தரையை நோக்கிச் செல்லச்செல்ல ஒளிவிலகல் எண் அதிகரித்துக்கொண்டே செல்லும். ஏனெனில், மேலே உள்ள காற்றைவிடத் தரைக்கு அருகே உள்ள காற்று அடுக்கின் வெப்பநிலை குறைவாகக் காணப்படும். எனவே, தரைக்கு அருகே உள்ள காற்றின் அடர்த்தி மற்றும் ஒளிவிலகல் எண் உயரத்தில் உள்ள காற்றைவிட அதிகமாக இருக்கும். பனிப்பாறைகள், உறைந்த ஏரிகள் மற்றும் கடல்களில் கானல் நீரின் எதிரிடையான விளைவு ஏற்படும். எனவே, தலைகீழான பிம்பம் தரையிலிருந்து சற்று உயரத்தில் படம் 6.23(ஆ)வில் காட்டியுள்ளவாறு தோன்றும். இந்நிகழ்வுக்கு குளிர் மாயத் தோற்றம் (looming) என்று பெயர்.

முழு அக எதிரொளிப்பைப் பயன்படுத்தி ஒளியை 90° அல்லது 180° எதிரொளிக்கும்படி முப்பட்டகங்களை வடிவமைக்கலாம் இது படம் 6.24 (அ) மற்றும் (ஆ) இல் காட்டப்பட்டுள்ளது. முதல் இரண்டு நிகழ்வுகளில் முப்பட்டகப்பொருளின் மாறுநிலைக் கோணத்தின் மதிப்பு ic யானது 45° ஐ விடக்குறைவு. இது அட்டவணை 6.3 இல் இருந்து க்ரவுன் கண்ணாடி மற்றும் அடர்த்தி மிக்க ஃப்ளிண்ட் கண்ணாடி இரண்டிற்கும் இது பொருந்தும் என்பதை அறியலாம்.
முப்பட்டகங்களைக் கொண்டு, பிம்பத்தின் அளவினை மாற்றாமல் பிம்பங்களைத் தலைகீழாக மாற்றலாம். இது படம் 6.24(இ) இல் காட்டப்பட்டுள்ளது.


மின்விளக்கு போன்ற ஒளி மூலத்தைத் தண்ணீர்த் தொட்டியின் உள்ளே வைக்கும் போது, ஒளி மூலத்திலிருந்து வரும் ஒளி, தண்ணீ ருக்குள் அனைத்துத் திசைகளிலும் பரவும். மாறுநிலைக் கோணத்தைவிடக் குறைவான படுகோணத்தில் தண்ணீர்ப்பரப்பில் விழும் ஒளிக்கதிர்கள் ஒளிவிலகல் அடைந்து தண்ணீர்ப்பரப்பிலிருந்து வெளியேறும். மாறுநிலைக் கோணத்தைவிட அதிக படுகோணத்தில் தண்ணீ ர்ப்பரப்பில் விழும் ஒளிக்கதிர்கள் முழு அக எதிரொளிப்பு அடையும். மாறுநிலைக் கோணத்திற்குச் சமமான படுகோணத்தில் தண்ணீர்ப்பரப்பில் விழும் ஒளிக்கதிர்கள் பரப்பினைத் தழுவிச்செல்லும். இதன் காரணமாக, வெளியிலிருந்து பார்க்கும்போது, தண்ணீர்ப்பரப்பு முழுவதும் ஒளியூட்டப்பட்டது போன்று காட்சியளிக்கும். இது படம் 6.25 இல் காட்டப்பட்டுள்ளது.
மாறாக வெளிப்புறத்திலிருந்து வரும் ஒளியைத் தண்ணீருக்குள் இருந்து பார்க்கும்போது, நமது பார்வை மாறுநிலைக் கோணத்திற்குச் (ic) சமமான ஒரு கோணத்திற்குள் கட்டுப்படுத்தப்படுகிறது. இவ்வாறு ஓர் குறிப்பிட்ட ஆரமுடைய ஒளியூட்டப்பட்ட வட்டப்பரப்பிற்கு ஸ்னெல் சாளரம் என்று பெயர். ஸ்னெல் சாளரம் படம் 6.26(அ)வில் காட்டப்பட்டுள்ளது. நீர்வாழ் விலங்குகளின் பார்வைக்கோணம் படம் 6.26 (ஆ ) யில் காட்டப்பட்டுள்ளது.

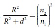
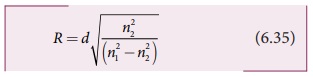
நீர்வாழ் விலங்குகளின் பார்வைக்கோணம், மாறுநிலைக் கோணத்தின் இருமடங்கிற்குச் (2ic) சமமான கோணத்திற்குள் கட்டுப்படுத்தப்படுகிறது. தண்ணீ ரின் மாறுநிலைக்கோணம் 48.60 எனவே மேல்நோக்கிப் பார்க்கும் மொத்த கூம்புவடிவ பார்வைக் கோணம் 97.2° ஆகும். வட்டப்பரப்பின் ஆரம் (R) , நீர்வாழ்விலங்கு எவ்வளவு ஆழத்திலிருந்து (d) மேலே பார்க்கிறது என்பதைப் பொருத்தது. ஸ்னெல் சாளரத்தின் ஆரத்தைப் படம் 6.27 ஐ பயன்படுத்திக் கண்டறிய முடியும்.

ஒளியானது d ஆழத்திலுள்ள, A என்ற புள்ளியிலிருந்து பார்க்கப்படுகிறது. இரண்டு ஊடகங்களையும் பிரிக்கும் தளத்தில் B புள்ளியில் ஏற்படும் ஒளிவிலகலுக்கு ஸ்னெல் விதியின் பெருக்கல் வடிவினைப் (6.19) பயன்படுத்தும்போது


இரண்டு பக்கமும் வர்க்கப்படுத்தி, மாற்றி அமைக்கும் போது, 
தலைகீழாக்கும்போது 
மேலும் சுருக்கும்போது,

ஒளியூட்டப்பட்டப் பரப்பின் ஆரம்

வெளிப்புறம் உள்ள அடர்குறை ஊடகம் காற்று எனில், n2 = 1 மேலும் n1=n எனக் கருதினால்

எடுத்துக்காட்டு 6.9
வெப்பமான நாள் ஒன்றில், நீச்சல் குளத்தில் 10 மீட்டர் ஆழத்திலிருந்து மேலே பார்க்கும்போது தெரியும் ஒளியூட்டத்தின் ஆரம் என்ன? பார்வைக் கூம்பின் மொத்தக் கோணமும் என்ன? (கொடுக்கப்பட்டவை, தண்ணீரின் ஒளிவிலகல் எண் 4/3)
தீர்வு
கொடுக்கப்பட்டவை, n = 4/3, d = 10 m.

பார்வைக்கூம்பின் மொத்தக் கோணம்,

முழுஅக எதிரொளிப்பு நிகழ்வை அடிப்படையாகக் கொண்டு, ஒளி இழைகளின் வழியே செய்திகளை அனுப்ப முடியும். ஒளியிழையின் உட்புறப்பகுதிக்கு உள்ளகம் (core) என்றும் வெளிப்புறப்பகுதிக்கு உறைப்பூச்சு (cladding or sleeving) என்றும் பெயர். முழுஅக எதிரொளிப்பு ஏற்பட உள்ளகப்பொருளின் ஒளிவிலகல் எண், வெளிப்புற உறைப்பூச்சின் ஒளிவிலகல் எண்ணைவிட அதிகமாக இருக்கவேண்டும்.
ஒளிவடிவில் உள்ள செய்தியை, ஒளி இழையின் உள்ளகம் மற்றும் உறைபூச்சும் சந்திக்கும் பரப்பின் உட்புறமாக ஒரு குறிப்பிட்டப் படுகோணத்தில், அதாவது, மாறுநிலைக்கோணத்தைவிட அதிக படுகோணத்தில் செலுத்தும்போது, ஒளி இழையின் மொத்த நீளத்திற்கும் எவ்விதமான ஒளி இழப்பும் அடையாமல் தொடர்ந்து முழு அக எதிரொளிப்பு அடைந்து மறுமுனையை அடையும். உள்ளகத்தின் வழியே செல்லும் ஒளி, அதன் செறிவில் குறிப்பிடத்தக்க அளவில் இழப்பு ஏதும் ஏற்படாமல் ஒரு முனையிலிருந்து அடுத்த முனைக்குச் செல்லும். இது படம் 6.28 (அ) யில் காட்டப்பட்டுள்ளது.
ஒளி இழை மடக்கப்பட்ட நிலையிலும் உள்ளகமும் வெளிப்பூச்சும் சந்திக்கும் பரப்பின் மீது விழும் ஒளியின் படுகோணம் எப்போதும் மாறுநிலைக் கோணத்தைவிட அதிகமாகவே இருக்கும். படம் 6.28 (ஆ) இல் காட்டியுள்ளவாறு ஒவ்வொரு எதிரொளிப்பின் போதும் முழு அக எதிரொளிப்பு நடைபெறுவதை உறுதிபடுத்துகிறது
6. ஒளி இழையின் ஏற்புக்கோணம் (Acceptance angle in optical fibre)
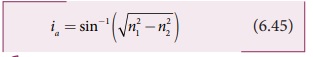
ஒளி இழையின் உட்பகுதியில், உள்ளகம் வெளிப்பூச்சு சந்திக்கும் பரப்பில் விழும் ஒளிக்கதிரின் படுகோணம், மாறுநிலைக் கோணத்தில் இருக்க வேண்டுமெனில், ஒளி இழையின் முனையில் ஒரு குறிப்பிட்ட படுகோணத்தில் ஒளிக்கதிரை செலுத்த வேண்டும். இப்படு கோணத்திற்கு ஒளி இழையின் ஏற்புக்கோணம் என்று பெயர். ஏற்புக்கோணம் உள்ளகத்தின் ஒளிவிலகல் எண் n1, வெளிப்பூச்சின் ஒளிவிலகல் எண் n2, மற்றும் வெளிப்புற ஊடகத்தின் ஒளிவிலகல் எண் n3, ஆகியவற்றைச் சார்ந்துள்ளது. வெளிப்புற ஊடகம், உள்ளகம் சந்திக்கும் பரப்பில் A புள்ளியில் ஒளி ஏற்புக் கோணத்தில் ia விழுகிறது எனக் கருதுக.
படம் 6.29 (அ) வில் காட்டியுள்ளவாறு A புள்ளியில் ஏற்படும் ஒளிவிலகலுக்கான ஸ்னெல் விதியின் பெருக்கல் வடிவம் (6.19) பின்வருமாறு.

ஒளி இழையின் உட்புறம் முழுஅக எதிரொளிப்பு நடைபெற வேண்டுமென்றால், உள்ளகம் வெளிப்பூச்சு சந்திக்கும் பரப்பில் B புள்ளியில் விழும் ஒளியின் படுகோணம் குறைந்தபட்சம் மாறுநிலைக் கோணமாகic இருக்க வேண்டும். ஸ்னெல் விதியின் பெருக்கல் வடிவை B புள்ளியில் பயன்படுத்தும் போது

செங்கோண முக்கோணம் ΔABC யிலிருந்து

சமன்பாடு 6.39 பின்வருமாறு மாற்றமடைகிறது
sin(90° - ra) = n2/n1

வெளிப்புற ஊடகம் காற்று எனக்கருதினால் n3 = 1 எனவே ஏற்புக்கோணம் (ia) பின்வருமாறு மாற்றமடையும்.

இந்த ஏற்புக்கோணம் (ia) ஒளி இழையின் முனையின் மீது, ஒளி ஒரு கூம்புவடிவை ஏற்படுத்தும். இக்கூம்பிற்கு ஏற்புக்கூம்பு என்று பெயர். இக்கூம்பினுள் ஒளி எந்தத் திசையிலும் ஒளி இழையின் உள்ளே நுழையலாம். (n3 sin ia) பதத்திற்கு ஒளி இழையின் எண்ணியல் துளை (Numerical aperture (NA)) என்று பெயர்.

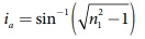
வெளிப்புற ஊடகம் காற்று எனில் n3 = 1 எனவே, எண்ணியல் துளை (NA) பின்வருமாறு மாற்றமடையும்.

எடுத்துக்காட்டு 6.10
ஒளி இழை ஒன்றின் உள்ளகத்தின் ஒளிவிலகல் எண் 1.68 மற்றும் அதன் உறைப்பூச்சின் ஒளிவிலகல் எண் 1.44. இந்த ஒளி இழை காற்று ஊடகத்தில் உள்ளபோது அதன் ஏற்புக்கோணம் என்ன? மேலும் வெளிப்பூச்சு இல்லாத நிலையில் அதன் ஏற்புக்கோணத்தை கணக்கிடுக.
தீர்வு
கொடுக்கப்பட்டவை n1, = 1.68, n2 = 1.44, n1 = 1

sin-1 '(ஒன்றைவிடப் பெரிய எண்) சாத்தியமற்ற ஒன்றாகும். ஆனால், இது 0° விலிருந்து 90° என்ற எல்லைக்குள் வருகிறது. எனவே, அனைத்துக் கதிர்களும் சமதளப்பரப்பிலிருந்து உள்ளகத்திற்குள் வந்து முழுஅக எதிரொளிப்பு அடையும்.
குறிப்பு: உறைப்பூச்சு இல்லை எனில், உள்ளகத்தின் ஒளிவிலகல் எண் (n1)க்கான நிபந்தனை

இங்கு , கணிதவியல் விதியின்படி,(n12 -1) ≤ 1
அல்லது (n12) ≤ அல்லது n1≤√2
எனவே, காற்றில் (உறைப்பூச்சு இல்லாத நிலையில்) உள்ளகத்தின் ஒளிவிலகல் எண் (n1) ணின் மதிப்பு n1, ≤ 1.414
உள்நோக்கு உடற்குழாய் (endoscope) என்பது, ஒளி இழைகளின் கட்டு ஆகும். நோயாளியின் உடலுக்குள் இதனைச் செலுத்தி உட்புற உறுப்புகளை மருத்துவர்கள் ஆய்வு செய்வார்கள். உள்நோக்கு உடற்குழாய் முழுஅக எதிரொளிப்புத் தத்துவத்தின் அடிப்படையில் வேலை செய்கிறது. ஒளி இழைகளை வாய், மூக்கு அல்லது ஏதேனும் உடலில் உள்ள ஒரு திறந்த துவாரம் வழியாக நோயாளியின் உடலுக்குள் செலுத்துவார்கள். அவ்வாறு செலுத்தி, அறுவை சிகிச்சைகளையும் தற்போது மேற்கொள்கின்றனர்.