நிகழ்தகவு பரவல்கள் | கணிதவியல் - பயிற்சி 11.6 : சரியான விடையினைத் தேர்ந்தெடுக்கவும் | 12th Maths : UNIT 11 : Probability Distributions
பயிற்சி 11.6
கொடுக்கப்பட்ட நான்கு மாற்று விடைகளிலிருந்து சரியான அல்லது மிகவும் ஏற்புடைய விடையினைத் தேர்ந்தெடுக்கவும் :
1. X எனும் சமவாய்ப்பு மாறியின் நிகழ்தகவு அடர்த்தி சார்பு

எனில், இவற்றில் எந்த கூற்று சரியானது?
(1) சராசரி மற்றும் பரவற்படி உள்ளது
(2) சராசரி உள்ளது ஆனால் பரவற்படி இல்லை
(3) சராசரி ,பரவற்படி இரண்டுமே இல்லை
(4) பரவற்படி உள்ளது ஆனால் சராசரி இல்லை
விடை : (2) சராசரி உள்ளது ஆனால் பரவற்படி இல்லை

2. 2l நீளமுள்ள ஒரு கம்பி சமவாய்ப்பு முறையில் இரு துண்டாக உடைந்தது. இரு துண்டுகளில்குட்டையானதற்கான நிகழ்தகவு அடர்த்தி சார்பு

எனில் குட்டையானப் பகுதிக்கான சராசரி மற்றும் பரவற்படி முறையே,

விடை :

3. ஒரு விளையாட்டில் அறுபக்க பகடையை விளையாடுபவர் உருட்டுகிறார். பகடை எண் 6-ஐக் காட்டினால், விளையாடுபவர் ₹ 36 வெல்லுவார், இல்லையெனில் ₹k2, தோற்பார். இங்கு k என்பது பகடை காட்டும் எண். k = {1, 2, 3, 4, 5}. விளையாட்டில் எதிர்பார்க்கப்படும் வெல்லும் தொகை ₹
(1) 19/6
(2) – 19/6
(3) 3/2
(4) -3/2
விடை : (2) – 19/6

4. 1, 2, 3, 4, 5, 6 எண்ணிடப்பட்ட அறுபக்க பகடையும் 1, 2, 3, 4 என எண்ணிடப்பட்ட நான்கு பக்க பகடையும் சோடியாக உருட்டப்பட்டு இரண்டும் காட்டும் எண்களின் கூட்டல் தொகை தீர்மானிக்கப்படுகிறது. இந்த கூட்டலைத் குறிக்கும் சமவாய்ப்பு மாறி X என்க. இனி 7-இன் நேர்மாறு பிம்பத்தின் உறுப்புகளின் எண்ணிக்கை
(1) 1
(2) 2
(3) 3
(4) 4
விடை : (4) 4

5. n = 25 மற்றும் p = 0.8 என்று உள்ள ஈருறுப்பு பரவல் கொண்ட சமவாய்ப்பு மாறி X எனில் X -ன் திட்ட விலக்கத்தின் மதிப்பு
(1) 6
(2) 4
(3) 3
(4) 2
விடை : (4) 2

6. n முறை சுண்டப்படும் ஒரு நாணயத்தினால் பெறப்படும் தலை மற்றும் பூக்களின் எண்ணிக்கை வேறுபாட்டை X குறிக்கிறது என்க. X -இன் சாத்திய மதிப்புகள்
(1) i + 2n, i = 0,1,2...n
(2) 2i - n, i = 0,1,2...n
(3) n - i, i = 0,1,2...n
(4) 2i + 2n, i = 0,1,2...n
விடை : (2) 2i - n, i = 0,1,2...n
7. f (x) = (1/12) , a < x < b எனும் சார்பு ஒரு தொடர்ச்சியான சமவாய்ப்பு மாறியின் நிகழ்தகவுஅடர்த்தி சார்பினைக் குறிக்கிறது எனில், பின்வருவனவற்றுள் எது a மற்றும் b - இன் மதிப்புகளாக இராது?
(1) 0 மற்றும் 12
(2) 5 மற்றும் 17
(3) 7 மற்றும் 19
(4) 16 மற்றும் 24
விடை : (4) 16 மற்றும் 24

8. ஒரு கால்பந்தாட்ட அரங்கிற்கு ஒரே பள்ளியிலிருந்து நான்கு பேருந்துகள் 160 மாணவர்களைஏற்றிக்கொண்டு வருகிறது. அப்பேருந்துகளில் முறையே 42,36,34, மற்றும் 48 மாணவர்கள் பயணிக்கின்றனர். சமவாய்ப்பு முறையில் ஒரு மாணவர் தேர்ந்தெடுக்கப்படுகிறார். அவ்வாறு சமவாய்ப்பு முறையில் தேர்ந்தெடுக்கப்பட்ட மாணவர் பயணிக்கும் பேருந்திலுள்ள மாணவர்களின் எண்ணிக்கையை X குறிக்கிறது என்க. நான்கு பேருந்து ஓட்டுனர்களில் ஒருவர் சமவாய்ப்பு முறையில் தேர்ந்தெடுக்கப்படுகின்றனர். அவ்வாறு தேர்ந்தெடுக்கப்பட்ட ஓட்டுநர் ஓட்டி வரும் பேருந்திலுள்ள மாணவர்களின் எண்ணிக்கையை Y குறிக்கிறது என்க. இனி E (X) மற்றும் E(Y) முறையே
(1) 50,40
(2) 40,50
(3) 40.75,40
(4) 41,41
விடை : (3) 40.75,40

9. இரு நாணயங்கள் சுண்டப்படுகின்றன. முதல் நாணயத்தில் தலை கிடைப்பதற்கான நிகழ்தகவு 0.6 மற்றும் இரண்டாவது நாணயத்தின் மூலம் தலை கிடைக்க நிகழ்தகவு 0.5 ஆகும். சுண்டி விடுதலின் முடிவுகள் சார்பற்றவை எனக் கருதுக. X என்பது மொத்த தலைகளின் எண்ணிக்கையைக் குறிக்கிறது என்க . E (X) -ன் மதிப்பு
(1) 0.11
(2) 1.1
(3) 11
(4) 1
விடை : (2) 1.1
குறிப்பு : E(X) = 0.6 + 0.5 = 1.1
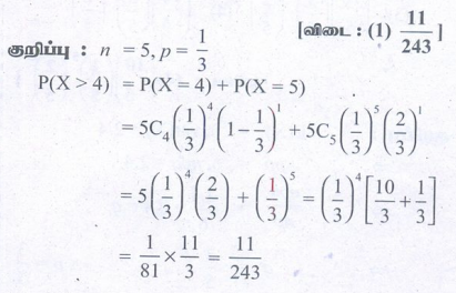
10. பலவுள் தேர்வு ஒன்றில் 5 வினாக்கள் ஒவ்வொன்றிற்கும் 3 சாத்தியமானக் கவனச் சிதறல்விடைகள் உள்ளது. ஊகத்தின் அடிப்படையில் 4 அல்லது அதற்கு மேல் சரியான விடையைஒரு மாணவர் அளிப்பதற்கான நிகழ்தகவு
(1) 11/243
(2) 10 /243
(3) 1/243
(4) 5/243
விடை : (1) 11/243

11. P(X = 0) = 1 - P(X = 1) மற்றும் E (X) = 3Var (X) எனில், P(X = 0) காண்க
(1) 2/3
(2) 2/5
(3) 1/5
(4) 1/3
விடை : (4) 1/3

12. எதிர்பார்ப்பு மதிப்பு 6 மற்றும் பரவற்படி 2.4 கொண்ட ஒரு ஈருறுப்பு சமவாய்ப்பு மாறி X எனில் P(X = 5)-இன் மதிப்பு

விடை : 4

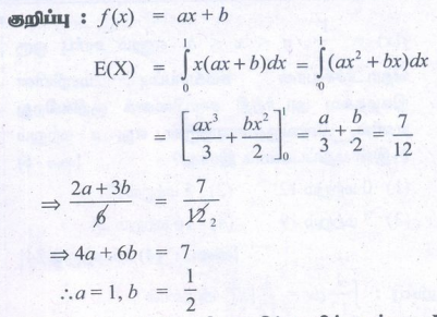
13. சமவாய்ப்பு மாறி X -ன் நிகழ்தகவு அடர்த்தி சார்பு

மற்றும் E(X) = 7/12, எனில் a மற்றும் b -ன் மதிப்புகள் முறையே
(1) 1 மற்றும் 1/2
(2) 1/2 மற்றும் 1
(3) 2 மற்றும் 1
(4) 1 மற்றும் 2
விடை : (1) 1 மற்றும் 1/2

14. 0,1, மற்றும் 2 ஆகிய மதிப்புகளில் ஒன்றை X கொள்கிறது என்க. ஏதோ ஒரு மாறிலி k-விற்கு , P(X = i) = kP(X = i - 1), i = 1, 2 மற்றும் P(X = 0) = 1/7 எனில் k -இன் மதிப்பு காண்க
(1) 1
(2) 2
(3) 3
(4) 4
விடை : (2) 2
15. பின்வருவனவற்றுள் எது தனிநிலை சமவாய்ப்பு மாறி?
I. ஒரு நாளில் ஒரு குறிப்பிட்ட சமிக்கையைக் கடக்கும் மகிழுந்துகளின் எண்ணிக்கை
II. ஒரு குறிப்பிட்ட கணத்தில் தொடர்வண்டி பயணச் சீட்டு வாங்க வரிசையில்காத்திருக்கும் பயணிகளின் எண்ணிக்கை.
III. ஒரு தொலைபேசி அழைப்பை நிறைவு செய்யும் காலம்.
(1) 1 மற்றும் II
(2) II மட்டுமே
(3) III மட்டுமே
(4) II மற்றும் III
விடை : (1) 1 மற்றும் II
16. ஒரு சமவாய்ப்பு மாறியின் நிகழ்தகவு அடர்த்தி சார்பு
எனில், a -இன் மதிப்பு
(1) 1
(2) 2
(3) 3
(4) 4
விடை : (1) 1

17. ஒரு நிகழ்தகவு மாறியின் நிகழ்தகவு சார்பு கீழ்க்காணுமாறு வரையறுக்கப்படுகிறது:

எனில், E(X)-க்கு சமமான மதிப்பு
(1) 1/15
(2) 1/10
(3)1/3
(4) 2/3
விடை : (4) 2/3

18. சராசரி 0.4 கொண்ட ஒரு பெர்னோலி பரவல் X எனில் (2X - 3) -ன் பரவல்
(1) 0.24
2) 0.48
(3) 0.6
(4) 0.96
விடை : (4) 0.96

19. ஈருறுப்பு மாறி X ஆறு முயற்சிகளில் 9P(x = 4) = P(X = 2) எனும் தொடர்பினை அனுசரிக்கிறது எனில் வெற்றியின் நிகழ்தகவு
(1) 0.125
(2) 0.25
(3) 0.375
(4) 0.75
விடை : (2) 0.25

20. ஒரு கணினி விற்பனையாளர் தனது கடந்த கால அனுபவத்திலிருந்து தனது காட்சிகூடத்திற்குள் நுழையும் ஒவ்வொரு இருபது வாடிக்கையாளர்களில் ஒருவருக்கு கணினிகளை விற்கிறார் என்பது தெரியும். அடுத்த மூன்று வாடிக்கையாளர்களில் சரியாக இரண்டு பேருக்கு அவர் ஒரு கணினியை விற்கும் நிகழ்தகவு என்ன?
(1) 57/203
(2) 57/202
(3) 193/203
(4) 57/20
விடை : (1) 57/203

பயிற்சி 11.6
