அடிப்படை இயற்கணிதம் | கணக்கு - பயிற்சி 2.13 : சரியான அல்லது மிகவும் ஏற்புடைய விடையினைத் தேர்ந்தெடுக்கவும் | 11th Mathematics : UNIT 2 : Basic Algebra
பயிற்சி 2.13
அலகு 2 : அடிப்படை இயற்கணிதம்
சரியான அல்லது மிகவும் ஏற்புடைய விடையினைத் தேர்ந்தெடுக்கவும்.
1. [x + 2| ≤ 9 எனில், அமையும் இடைவெளி
(1) (-∞ , - 7)
(2) [- 11, 7]
(3) (- ∞, -7) ∪ [11, ∞)
(4) (- 11, 7)
தீர்வு:

2. x, y மற்றும் b ஆகியவை மெய்யெண்கள் மற்றும் x <y, b > 0 எனில்,
(1) xb
<yb
(2) xb>yb
(3) xb ≤ yb
(4) x/b ≥ y/b
தீர்வு:

3. | x – 2 | / x - 2 ≥ 0 எனில், x அமையும் இடைவெளி
(1) [2,∞ )
(2) (2,∞ )
(3) (– ∞, 2)
(4) (– 2, ∞)
தீர்வு:

4. 5x - 1 < 24 மற்றும் 5x + 1 > -24 என்ற அசமன்பாடுகளின் தீர்வு
(1) (4, 5)
(2) (- 5,- 4)
(3) (- 5, 5)
(4) (- 5, 4)
தீர்வு:

5. Ix - 1|≥|x - 3 என்ற
அசமன்பாட்டின் தீர்வுக் கணம்
(1) [0, 2]
(2) [2, ∞)
(3) (0, 2)
(4) (- ∞, 2)
தீர்வு:

6. log√2 512 -ன் மதிப்பு
(1) 16
(2) 18
(3) 9
(4) 12
தீர்வு:

7. log31/81 -ன் மதிப்பு
(1) -2
(2) -8
(3) -4
(4) -9
தீர்வு:

8. log√x 0:25 = 4 எனில், x-ன் மதிப்பு
(1) 0:5
(2) 2:5
(3) 1:5
(4) 1:25
தீர்வு:

9. loga b logb c logc a -ன் மதிப்பு
(1) 2
(2) 1
(3) 3
(4) 4
தீர்வு:

10. 343-ன் மடக்கை 3 எனில், அதன் அடிமானம்
(1) 5
(2) 7
(3) 6
(4) 9
தீர்வு:

11. 2x2 + (a - 3)x + 3a - 5 = 0 என்ற சமன்பாட்டில் மூலங்களின் கூடுதல் மற்றும் பெருக்கல் பலன் ஆகியவை சமம் எனில், a-ன் மதிப்பு
(1) 1
(2) 2
(3) 0
(4) 4
தீர்வு:

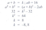
12. x2 - kx + 16 = 0 என்ற சமன்பாட்டின் மூலங்கள் a மற்றும் b ஆகியவை a2 + b2 = 32 -ஐ நிறைவு செய்யும் எனில், k-ன் மதிப்பு
(1) 10
(2) -8
(3) -8, 8
(4) 6
தீர்வு:

13. x2 + |x – 1| = 1 -ன் தீர்வுகளின் எண்ணிக்கை
(1) 1
(2) 0
(3) 2
(4) 3
தீர்வு:

14. 3x2 - 5x - 7 = 0 -ன் மூலங்களுக்கு எண்ணளவில் சமமாகவும், எதிர் குறியீடுகளையும்
உடைய மூலங்களைக் கொண்ட சமன்பாடு
(1) 3x2 - 5x - 7 = 0
(2) 3x2 + 5x - 7 = 0
(3) 3x2 - 5x + 7 = 0
(4) 3x2 + x - 7
தீர்வு:

15. x2 +ax+c = 0 -ன் மூலங்கள் 8 மற்றும் 2 ஆகும். மேலும், x2 +dx+b = 0 -ன் மூலங்கள்
3, 3 எனில், x2 + ax + b = 0 -ன் மூலங்கள்
(1) 1, 2
(2) -1, 1
(3) 9, 1
(4) -1, 2
தீர்வு:

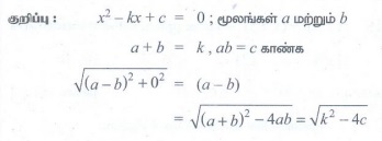
16. x2 - kx + c = 0 -ன் மெய் மூலங்கள் a b, எனில், ( a, 0) மற்றும்
( b, 0)-க்கு இடைப்பட்ட
தூரம்
(1) √(k2 - 4c)
(2) √(4k2 – c)
(3) √(4c - k2)
(4) √(k - 8c)
தீர்வு:

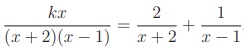
17.
எனில், k-ன் மதிப்பு
(1) 1
(2) 2
(3) 3
(4) 4
தீர்வு:

18.
, - எனில், A + B-ன் மதிப்பு
(1) -1/2
(2) -2/3
(3) 1/2
(4) 2/3
தீர்வு:

19. (x + 3)4
+ (x + 5)4 = 16-ன் மூலங்களின் எண்ணிக்கை
(1) 4
(2) 2
(3) 3
(4) 0
தீர்வு:

20. log311 log1113
log1315 log1527 log2781-ன் மதிப்பு
(1) 1
(2) 2
(3) 3
(4) 4
தீர்வு:
