Home | 11 ஆம் வகுப்பு | 11வது கணிதம் | பயிற்சி 3.4 : முக்கோணங்களின் முற்றொருமைகள் : கூட்டுக்கோணங்களின் சூத்திரங்கள் அல்லது கூட்டல் அல்லது கழித்தல் முற்றொருமைகள்

கணக்கு கேள்வி பதில்கள், தீர்வு | கணிதம் - பயிற்சி 3.4 : முக்கோணங்களின் முற்றொருமைகள் : கூட்டுக்கோணங்களின் சூத்திரங்கள் அல்லது கூட்டல் அல்லது கழித்தல் முற்றொருமைகள் | 11th Mathematics : UNIT 3 : Trigonometry

11வது கணக்கு : அலகு 3 : முக்கோணவியல்

பயிற்சி 3.4 : முக்கோணங்களின் முற்றொருமைகள் : கூட்டுக்கோணங்களின் சூத்திரங்கள் அல்லது கூட்டல் அல்லது கழித்தல் முற்றொருமைகள்

கணக்கு புத்தக பயிற்சிக் கணக்குகள், தீர்வுகள் மற்றும் பதில்கள் - கணிதம் : முக்கோணவியல் : முக்கோணங்களின் முற்றொருமைகள் : கூட்டுக்கோணங்களின் சூத்திரங்கள் அல்லது கூட்டல் அல்லது கழித்தல் முற்றொருமைகள்

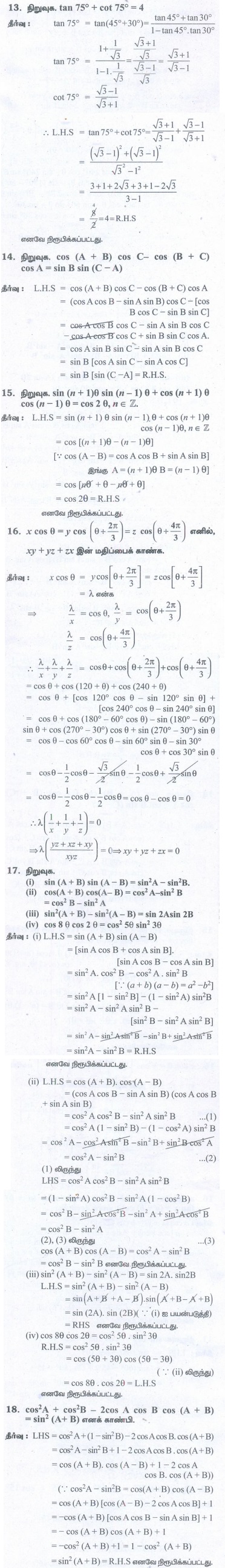
பயிற்சி 3.4









11வது கணக்கு : அலகு 3 : முக்கோணவியல்