நிலை அலைகளுக்கான விளக்கம்
அலை ஒன்று கடினமான ஒன்றின் மீது மோதும்போது, அது மீண்டெழுந்து வந்து அதே ஊடகத்தில் எதிர்த்திசையில், பழைய அலையுடன் (மோதிய அலை) மேற்பொருந்துவதால் கிடைக்கும் அலை வடிவமே நிலை அலைகள் அல்லது நிலையான அலைகள் எனப்படும்.
ஒரே வீச்சு, ஒரே திசைவேகம் கொண்ட இரு சீரிசை முன்னேறு அலைகள் (கம்பி ஒன்றில் உண்டான) எதிர் எதிர் திசையில் இயங்குகின்றன என்க.
முதல் அலையின் (படு அலை) இடப்பெயர்ச்சி,

இரண்டாவது அலையின் (எதிரொலிப்பு அலை) இடப்பெயர்ச்சி

மேற்பொருந்துதல் தத்துவப்படி, இரு அலைகளும் குறுக்கீடு அடைந்து, தொகுபயன் இடப்பெயர்ச்சி,

சமன்பாடு (11.59) , (11.60) யை (11.61) ல் பொருத்த,

திரிகோணமிதி விதிகளை பயன்படுத்தி (11.62) யை மாற்றி எழுத

இதுவே, நிலை அல்லது நிலையான அலைகள் எனப்படும். இது முன்னோக்கியோ அல்லது பின்னோக்கியோ நகராது. ஆனால் முன்னேறு அலை அல்லது இயங்கு அலை முன்னோக்கியோ அல்லது பின்நோக்கியோ நகரும். சமன்பாடு (11.63) யை கீழ்க்கண்டவாறு சுருக்கமாக எழுதலாம்.
y(x,t) = Aʹ cos(ωt)
இங்கு, Aʹ = 2Asin(kx), இது அதிர்வுறுக்கம்பியின் குறிப்பிட்ட பகுதி A' வீச்சுடன் தனிச்சீரிசை இயக்கத்திலுள்ளதை குறிக்கிறது. sin(kx) பெருமமாக உள்ள நிலையில், Aʹ பெரும மதிப்பில் இருக்கும்.

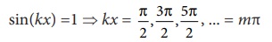
இங்கு m என்பது அரை முழு எண் அல்லது அரை எண் மதிப்புக்கள். வீச்சின் பெரும் மதிப்பு உள்ள நிலையை எதிர்க்கணு என்கிறோம். அலை எண்ணை அலை நீளத்தை பயன்படுத்தி குறிக்கும் போது m ஆவது எதிர் கணுவின் நிலையை கீழ்க்கண்டவாறு குறிக்கலாம்.

m = 0 எனில் பெருமத்தின் நிலை

m = 1 எனில், பெருமத்தின் நிலை
m = 2 எனில் பெருமத்தின் நிலை

என்றவாறு அமையும்.
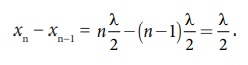
அடுத்தடுத்த எதிர் கணுக்களுக்கிடையேயான தூரத்தை கீழ்க்கண்டவாறு கணக்கிடலாம்.

Aʹ ன் பெரும் மதிப்பு வெளியின் சில புள்ளிகளிலும் சிறும மதிப்பு வெளியின் வேறு சில புள்ளிகளிலும் அமையும்.

இங்கு n ஒரு முழு எண் அல்லது முழு எண்மதிப்புகள். எந்தப் புள்ளிகளில் அதிர்வு இல்லையோ (இயக்கம் இல்லையோ) அப்புள்ளிகள் கணு எனப்படும்.
n ஆவது கணுவின் நிலை

n = 0 எனில் சிறுமம் ஏற்படும் நிலை
x0 = 0
n = 1 எனில் சிறுமம் ஏற்படும் நிலை
x1 = λ /2
n = 2 எனில் சிறுமம் ஏற்படும் நிலை
x2 = λ
என்றவாறு அமையும்.
அடுத்தடுத்த கணுக்களுக்கிடையேயான தொலைவைக் கீழ்க்கண்டவாறு கணக்கிடலாம்.
எடுத்துக்காட்டு 11.20
அடுத்தடுத்த எதிர்க்கணு, கணுவிற்கு இடைப்பட்ட தொலைவைக் கணக்கிடுக.
தீர்வு :
nவது கணுவிற்கு, அடுத்தடுத்த எதிர்க்கணு, கணுவிற்கு இடையேயான தொலைவு
