மின்னோட்டச் சுற்றின் மீது செயல்படும் திருப்பு விசை
காந்தப்புலத்திலுள்ள மின்னோட்டம் பாயும் கடத்தியின் மீது செயல்படும் விசை, விசைப்பொறி (motor) ஒன்றின் செயல்பாட்டிற்கு அடிப்படையாக அமைகிறது.
காந்தப்புலத்திலுள்ள மின்னோட்டச் சுற்றின் மீது செயல்படும் திருப்பு விசை

சீரான காந்தப்புலம்
ல் வைக்கப்பட்டுள்ள
மின்னோட்டம் I பாயும் செவ்வகச் சுருள் ABCDஐக் கருதுக. சுருளின் நீளம் மற்றும் அகலம்
முறையே a மற்றும் b என்க. படம் 3.57ல் காட்டியுள்ளபடி சுருளின் தளத்திற்கு செங்குத்தாக
வரையப்பட்ட ஓரலகு வெக்டர் n^ காந்தப்புலத்திற்குθ கோணத்தில்
உள்ளது.
மின்னோட்டம் தாங்கிய பகுதி PQ ன் மீது செயல்படும்
விசையின் எண்மதிப்பு FpQ = IaBsin(π/2)
= IaB. இது மேல்நோக்கிய திசையில் செயல்படுகிறது என்பதை வலக்கைத் திருகு விதியைப் பயன்படுத்தி
அறியலாம்.
பகுதி QR மீது செயல்படும் விசையின் எண்மதிப்பு
FQR = IbBsin(π/2-θ) =
IbBcosθ இவ்விசையின்
திசை படம் 3.57ல் காட்டப்பட்டுள்ளது.
பகுதி RS மீது செயல்படும் விசையின் எண் மதிப்பு
FRS = laBsin(π/2) = IaB. இவ்விசைகீழ்நோக்கிய
திசையில் செயல்படுகிறது.
பகுதி SP மீது செயல்படும் விசையின் எண் மதிப்பு
Fsp = IbBsin (π/2+ θ) =
IbBcos θ. இவ்விசையின்
திசை படம் 3.57ல் காட்டப்பட்டுள்ளது.
FQR மற்றும் FSP ஆகிய
இவ்விரு விசைகள் சமமாகவும் ஒன்றுக்கொன்று எதிர்த்திசையில் அமைந்து ஒரே நேர்க்கோட்டிலும்
செயல்படுவதால் அவை ஒன்றையொன்று சமன் செய்துவிடுகின்றன. ஆனால், FPQ மற்றும்
FRS ஆகிய இவ்விரு விசைகள் சமமாகவும் ஒன்றுக்கொன்று எதிர்த்திசையில் இருந்தாலும்
ஒரே நேர்க்கோட்டில் செயல்படாததால், அவை இரட்டையை உருவாக்கி வளையத்தின் மீது ஒரு திருப்புவிசையை
செலுத்துகின்றன.

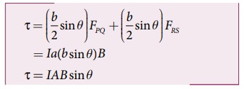
அச்சு ABஐப் பொறுத்து பகுதி PQன் மீது செயல்படும்
திருப்புவிசையின் எண்மதிப்பு

இது AB திசையில் செயல்படுகின்றது. அச்சு
ABஐப் பொறுத்து பகுதி RSன் மீதுசெயல்படும் திருப்புவிசையின் எண்மதிப்பு

மேலும் இதுவும் ABன் திசையிலேயே செயல்படுகின்றது
(படம் 3.58).
அச்சு ABஐப் பொறுத்து வளையத்தின் மீது செயல்படும்
மொத்த திருப்புவிசை

இது ABன் திசையில் செயல்படுகிறது.
வெக்டர் வடிவில்,

மேலேயுள்ள சமன்பாட்டினை காந்த இருமுனை திருப்புத்திறனின்
அடிப்படையில் எழுதினால்,

இத்திருப்புவிசை வளையத்தை சுழலச் செய்து அதன்
ஓரலகு செங்குத்து வெக்டரை காந்தப்புலத்தின் திசையில் ஒருங்கமைக்கும் விதத்தில் செயல்படுகின்றது.
செவ்வக வளையத்தில் சுற்றுகள் இருப்பின், திருப்புவிசை

சிறப்பு
நேர்வுகள் :
(அ) θ =
90° அல்லது வளையத்தின் தளம் காந்தப்புலத்திற்கு இணையாக உள்ள போது, மின்னோட்ட வளையத்தின்
மீதான திருப்புவிசை பெருமம் ஆகும்.

(ஆ) θ = 00/180°
அல்லது வளையத்தின் தளம் காந்தப்புலத்திற்கு செங்குத்தாக உள்ள போது, மின்னோட்ட வளையத்தின்
மீதான திருப்புவிசை சுழியாகும்.