அலைகளின் குறுக்கீட்டு விளைவு

இரு அலைகள் மேற்பொருத்துவதால் அதன் தொகுப்பு அலையின் வீச்சில் ஏற்படும் அதிகரிப்பு, குறைவு அல்லது வீச்சு மாறாமல் இருக்கும் விளைவு குறுக்கீட்டு விளைவு எனப்படும்.

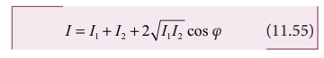
ஒரே அதிர்வெண்ணும், நிலையான கட்ட வேறுபாடு φ மற்றும் ஒரே அலை வடிவம் கொண்ட இரு சீரிசை அலைகள் (ஓரியல் மூலங்கள் எனக் கருதலாம்) அவற்றின் வீச்சுகள் A1, A2 எனில்

ஒரே திசையில், ஒரே நேரத்தில் இயங்கினால் அவைகளின் குறுக்கீட்டு விளைவு (அதாவது இரு அலைகளும் ஒன்றுடன் ஒன்று
மேற்பொருத்துதல்) ஏற்படும் கணிதப்படி,

சமன்பாடு (11.47) மற்றும் (11.48) யை (11.49)ன் பொருத்த நமக்கு கிடைப்பது,
y = A1 sin(kx − ωt) + A2 sin(kx − ωt + φ) திரிகோணமிதிப்படி
sin (α+β) = (sin α cosβ + cosα sinβ )
எனவே
y = A1 sin(kx − ωt)+A2 [sin(kx − ωt) cosφ + cos(kx − ωt) sinφ]

எனக் கொண்டால் சமன்பாடு (11.50) -ஐ மாற்றி எழுதலாம்
y = A sin(kx−ωt) cosθ + A cos(kx−ωt) sinθ

செறிவு என்பது வீச்சின் இருமடி என்பதால் (I = A2) தொகுபயன் செறிவு அப்புள்ளியில் கட்ட வேறுபாட்டை பொருத்து அமையும்.

(அ) ஆக்கக் குறுக்கீட்டு விளைவிற்கு:
ஒரு அலையின் முகடு, மற்றொரு அலையின் முகடுடன் மேற்பொருந்தும்போது, அவற்றின் வீச்சுகள் கூட்டப்பட்டு, ஆக்கக் குறுக்கீட்டு விளைவு ஏற்பட்டு, அதன் வீச்சு தனிப்பட்ட அலைகளின் வீச்சுகளை விட படத்தில் 11.29 (a) காட்டியவாறு அதிகமாக இருக்கும்.
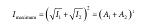
ஆக்க குறுக்கீட்டு விளைவு ஒரு புள்ளியில் ஏற்பட்டால் அப்புள்ளியில் செறிவு பெருமமாக இருக்கும். அதாவது
cosφ = + 1 ⇒ φ = 0, 2π,4π,… = 2nπ,
இங்கு n = 0,1,2,......
இந்த கட்ட வேறுபாட்டில், இரு அலைகள் மேற்பொருந்தினால், ஆக்கக் குறுக்கீட்டு விளைவு ஏற்படும்.

எனவே, தொகுபயன் வீச்சு,
A = A1 + A2

(b) அழிவு குறுக்கீட்டு விளைவு
படம் 11.29 (b)ல் காட்டியவாறு ஒரு அலையின் அகடு , மற்றொரு அலையின் முகடு உடன் சேர்ந்தால் (மேற்பொருந்தினால்) அங்கு அழிவு குறுக்கீட்டு விளைவு ஏற்படும். அழிவு குறுக்கீட்டு விளைவு ஏற்படும் புள்ளியில் செறிவு சிறுமமாக இருக்கும். அதாவது cosφ = − 1 ⇒ φ = π,3π,5π,… = (2 n-1) π, இங்கு n = 0,1,2,....... இந்தக் கட்டவேறுபாட்டுடன் இரு அலைகள் மேற்பொருந்தும்போது அழிவு குறுக்கீட்டு விளைவு ஏற்படும்.
எனவே,

தொகுபயன் வீச்சு
A = |A1−A2|
படம் 11.30 ல் காட்டியாவறு அழிவு குறுக்கீட்டு விளைவுக்கு ஒரு எளிய காட்சி விளக்கம் செய்து காட்டலாம்.

S என்ற ஒலிப்பானிலிருந்து (speaker) ஒலி அலைகள் P என்ற குழாய் மூலம் அனுப்பப்படுகிறது. ஆனது T வடிவிலான ஒரு சந்தியாக உள்ளது. எனவே ஒலி அலையின் பாதி ஆற்றல் ஒரு திசையிலும் மறு பாதி ஆற்றல் எதிர் திசையிலும் செல்கிறது. இதேபோல் ஒலி ஆற்றல் நோக்குநரையும் இருபாதைகளின் வழியே சென்றடைகிறது. ஒலி அலையானது ஒலிப்பானிலிருந்து, நோக்குநரை ஏதேனும் ஒரு பாதை வழியே சென்றடையும் பாதை நீளம் r என்க. படத்திலிருந்து கீழ் பாதை நீளம் r1 நிலையானது; மேல்பாதை நீளம் r2 ஆனது, மேலே உள்ள நகரும் குழாய் மூலம் மாற்றக்கூடியது. இந்த இரு பாதை நீளங்களுக்கான வேறுபாடு பாதை வேறுபாடு ∆r எனப்படுகிறது.
∆r = |r2 − r1|
பாதை வேறுபாடு λ சுழியாகவோ அல்லது அலை நீளங்களின் (λ) முழு எண் மடங்குகளாகவோ இருக்கும், எனில்
∆r = nλ இங்கு, n = 0, 1, 2, 3,....
படம் 11.31 ல் காட்டியவாறு r1, r2 பாதைகளில் வரும் இவ்விரு அலைகள் எந்த ஒருக்கணத்திலும் நோக்குநரை ஒத்த கட்டத்தில் (கட்டவேறுபாடு 0° அல்லது 2π) சந்திக்கும் போது ஆக்கக்குறுக்கீட்டு விளைவை ஏற்படுத்தும். இந்த நிகழ்வுகளில் (நோக்குநரால்) ஒலியின் செறிவு பெருமமாக உணரப்படும்.

பாதை வேறுபாடு அலை நீளத்தின் (λ) அரை எண் மதிப்புகளாக அமைந்தால், கணிதப்படி,

இந்த நிலையில் படம் 11.32 ல் காட்டியவாறு, r1, r2 பாதைகளின் வழியே நோக்குநரை எந்த ஒரு கணத்திலும் அடையும் ஒலி அலைகள் எதிர் கட்டத்தில் (கட்ட வேறுபாடு π அல்லது 180°) அமையும் போது அழிவு குறுக்கீட்டு விளைவு ஏற்படும்.

இந்நிகழ்வுகளில், நோக்குநரால் சிறும செறிவு (அல்லது சுழி செறிவு அதாவது ஒலியே இருக்காது) உணரப்படும். பாதை வேறுபாடு, கட்ட வேறுபாடுகளுக்கிடையேயான தொடர்பு

எடுத்துக்காட்டு 11.16
படத்தில் காட்டியபடி A, B என்ற இரு மூலங்களைக் கருதுக. இரு மூலங்களும் ஒத்த அதிர்வெண்ணும், வேறுபட்ட வீச்சுகளும் அடைய இரு சீரிசை அலைகளை ஒத்த கட்டத்தில் வெளிவிடுகின்றன. O என்பது ஏதேனும் ஒரு புள்ளி இது கீழ்க்கண்ட படத்தில் காட்டியவாறு மூலங்கள் A,B யை இணைக்கும் கோட்டை இரு சமக்கூறாக்குகிறது. O,Y,X புள்ளிகளில் செறிவுகளைக் காண்க.

தீர்வு :
OA, OB சமநீளம் உடையது. எனவே A, B யிலிருந்து கிளம்பும் அலைகள் சம் தொலைவைக் (சம பாதை நீளங்கள்) கடந்து O வில் சந்திக்கின்றன. எனவே, O வில் இரு அலைகளுக்கிடையேயான பாதை வேறுபாடு சுழி.
OA - OB = 0
இரு அலைகளும் O வில் ஒத்தக் கட்டத்தில் சந்திப்பால், அவற்றிக்கிடையேயான கட்ட வேறுபாடு சுழியாகிறது. எனவே O வில் இரு அலைகளுக்கிடையேயான பாதை வேறுபாடு சுழியாவதால் செறிவு பெருமமாகும்
Y புள்ளியைக் கருதுக. பாதை வேறுபாடு λ வாக இருந்தால், Y ல் கட்ட வேறுபாடு

எனவே, Y ல் சந்திக்கும் இரு அலைகளும் ஒத்தக்கட்டத்தில் உள்ளதால், செறிவு பெருமமாக இருக்கும்.
X புள்ளியைக் கருதுக. பாதை வேறுபாடு λ/2 வாக இருந்தால் கட்ட வேறுபாடு

எனவே, X ல் சந்திக்கும் அலைகள் எதிர்க்கட்டத்தில் உள்ளதால், செறிவு சிறுமமாக இருக்கும்.
எடுத்துக்காட்டு 11.17
C, E என்ற இரு ஒலிப்பான்கள் (Speakers) 5 m இடைவெளியில் பிரித்து வைக்கப்பட்டு, ஒரே ஒலி மூலத்துடன் இணைக்கப்பட்டுள்ளன. C, E ன் மையம் O விலிருந்து 10m தொலைவிலுள்ள புள்ளி A ல் மனிதன் ஒருவன் நின்று கொண்டுள்ளான். A யிலிருந்து 1m தொலைவிலுள்ள B என்ற புள்ளிக்கு (OC க்கு இணையாக) நடந்து செல்கிறான் (படத்தில் காட்டியவாறு) B ல் ஒலிகளின் முதல் சிறுமத்தை உணர்கிறான். ஒலி மூலத்தின் அதிர்வெண்ணைக் காண்க. (ஒலியின் திசைவேகம் 343 ms-1 எனக் கொள்க).

தீர்வு:

B யில் இரு ஒலி அலைகளும் 180° (எதிர்கட்டம்) ல் சந்தித்தால், முதல் சிறுமம் ஏற்படும்.
பாதை வேறுபாடு ∆x = λ/2.
பாதை வேறுபாட்டைக்காண பாதை நீளங்கள் x1, x2 வைக் காண வேண்டும்.
செங்கோண முக்கோணம் BDC ல்,

செங்கோண முக்கோணம் EFB ல்,

பாதை வேறுபாடு ∆x = x2 − x1 = 10.6 m−10.1 m = 0.5 m இந்த பாதை வேறுபாடு λ/2 விற்கு சமமாக வேண்டும்.

ஒலி மூலத்தின் அதிர்வெண் காண,
