இயற்பியல் - இழுத்துக் கட்டப்பட்ட கம்பியில் ஏற்படும் குறுக்கலைக்கான விதிகள் | 11th Physics : UNIT 11 : Waves
இழுத்துக் கட்டப்பட்ட கம்பியில் ஏற்படும் குறுக்கலைக்கான விதிகள்:
மூன்று விதிகள்
(i) நீளத்திற்கான விதி :
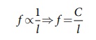
கொடுக்கப்பட்ட கம்பியின், இழுவிசை T (நிலையானது) மற்றும் ஓரலகு நீளத்திற்கான நிறை μ (நிலையானது) எனில், அதிர்வெண் அதிர்வுறும் கம்பியின் நீளத்திற்கு எதிர்த்தகவில் அமையும்.

⇒l×f = C, இங்கு C மாறிலி
(ii) இழு விசைக்கான விதி :
கொடுக்கப்பட்ட அதிர்வுறும் கம்பியின் நீளம் l (நிலையானது) மற்றும் ஓரலகு நீளத்திற்கான நிறை μ (நிலையானது) எனில் அதிர்வெண் இழுவிசை T இன் இருமடி மூலத்திற்கு நேர்தகவில் அமையும்.

(iii) நிறைக்கான விதி:
கொடுக்கப்பட்ட அதிர்வுறும் கம்பியின் நீளம் l (நிலையானது) மற்றும் இழுவிசை T (நிலையானது) எனில் அதிர்வெண், ஓரலகு நீளத்திற்கான நிறை μ இன் இருமடிமூலத்திற்கு எதிர்த்தகவில் அமையும்.
