காந்தப்பண்புகள்
நாம் அறிந்துள்ள, நடைமுறையில் நாம் பயன்படுத்தும்
அனைத்துப் பொருட்களும் காந்தப்பொருட்கள் அல்ல. மேலும், காந்தப் பொருட்கள் அனைத்தும்
ஒரே தன்மையைப் பெற்றிருக்க வில்லை. எனவே, ஒரு காந்தப்பொருளிலிருந்து மற்றொரு காந்தப்
பொருளைப் பிரித்தறிய சில அடிப்படைச் செய்திகளை நாம் அறிவது அவசியமாகும் அவை:
பொருள்
ஒன்றினை காந்தமாக்குவதற்குப் பயன்படும் காந்தப்புலமே, காந்தமாக்குப்புலம் எனப்படும். இது
ஒரு வெக்டர் அளவாகும். இதனை
எனக் குறிப்பிடுவார்கள் இதன் அலகு A m-1.
காந்தப்புலக்
கோடுகளை தன் வழியே பாய் அனுமதிக்கும் பொருளின் திறமை அல்லது காந்தமாக்கப்படுவதை ஏற்றுக்கொள்ளும்
பொருளின் திறன் அல்லது பொருள் தன்வழியே காந்தப்புலத்தை உட்புக அனுமதிக்கும் அளவு காந்த
உட்புகுதிறன் ஆகும்.
வெற்றிடத்தில், உட்புகுதிறன் (அல்லது தனி உட்புகுதிறன்)
μ0 எனவும்,
எந்த ஒரு ஊடகத்திலும் உட்புகுதிறன் μ எனவும்
குறிப்பிடப்படுகிறது. ஊடகத்தில் உட்புகுதிறனுக்கும், வெற்றிடத்தில் உட்புகுதிறனுக்கும்
உள்ள தகவே ஒப்புமை உட்புகுதிறன் μrஆகும்.

ஒப்புமை உட்புகுதிறன் பரிமாணமற்ற ஓர் எண்ணாகும்.
இதற்கு அலகு இல்லை. வெற்றிடம் அல்லது காற்றில் ஒப்புமை உட்புகுதிறனின் மதிப்பு ஒன்று
ஆகும். அதாவது μr= 1.
வரம்புக்குட்பட்ட அளவுடைய எந்த ஒரு பருப்பொருளும்
மிக அதிக எண்ணிக்கையில்அணுக்களைப் பெற்றிருக்கும். ஒவ்வொரு அணுவிலும் சுற்றுப்பாதை
இயக்கத்திலுள்ள எலக்ட்ரான்கள் காணப்படும். எலக்ட்ரான்களின் இந்த சுற்றுப்பாதை இயக்கத்தினால்
அவை காந்தத்திருப்புத்திறனைப் பெற்றிருக்கும். இது ஒரு வெக்டர் அளவாகும். பொதுவாக இந்த
காந்தத் திருப்புத்திறன்கள் ஒழுங்கற்ற முறையில் எல்லா திசைகளிலும் அமைகின்றன. எனவே,
ஓரலகு பருமனுடைய பருப்பொருளின் தொகுபயன் காந்தத்திருப்புத்திறன் சுழியாகும்.
இத்தகைய பொருட்களை புறகாந்தப்புலம் ஒன்றினுள்
வைக்கும்போது அணு இருமுனைகள் உருவாகி, பகுதியாகவோ அல்லது முழுவதுமாகவோ புறகாந்தப்புலத்தின்
திசையில் ஒருங்கமைய முயற்சிக்கின்றன. ஓரலகு பருமனுக்கான பொருளின் இந்த தொகுபயன் காந்தத்திருப்புத்திறனே
காந்தமாகும் செறிவு அல்லது காந்தமாகும் வெக்டர் அல்லது காந்தமாகுதல் எனப்படும். இது
ஒரு வெக்டர் அளவாகும். கணிதவியலின்படி,

காந்தமாகும் செறிவின் SI அலகு ஆம்பியர் மீட்டர்-1
ஆகும். குறுக்குவெட்டுப்பரப்பு A, நீளம் 2l மற்றும் முனைவலிமை கொண்ட சட்ட காந்தத்தின்
காந்தத்திருப்புத்திறன்
ஆகும். மேலும் அந்த சட்டகாந்தத்தின் பருமன் V =
எனில், சட்டகாந்தத்தின் காந்தமாகும் செறிவு

சமன்பாடு (3.31) ஐ எண்ணளவில் பின்வருமாறு எழுதலாம்.

சட்டகாந்தத்தின் காந்தமாகும் செறிவினை, ஓரலகு பரப்பிற்கான (முகப்பரப்பிற்கான) முனைவலிமை என்றும் வரையறை செய்யலாம் என்பதை மேற்கண்ட சமன்பாட்டிலிருந்து அறியலாம்.
தேனிரும்புத்துண்டு போன்ற பொருட்களை சீரான
காந்தமாக்குப் புலத்தில்
வைக்கும்போது, அப்பொருள் காந்தமாக மாறும். அதாவது
அப்பொருள் காந்தத்தன்மையைப் பெறுகின்றது. பொருளின் காந்தத் தூண்டல் அல்லது மொத்த காந்தப்புலம்
என்பது, காந்தமாக்கும் புலத்தினால் வெற்றிடத்தில் உருவாக்கப்பட்ட காந்தப்புலத்திற்கும்
, காந்தமாக்கும் புலத்தினால் பொருளில் தூண்டப்பட்ட காந்தப்புலத்திற்கும்
உள்ள கூடுதலாகும்.

பொருளொன்றை, காந்தமாக்கும் புலத்தில்
வைக்கும்போது, அப்பொருள் வெளியிலிருந்து அளிக்கப்படும் புறகாந்தப்புலத்தினால்
எவ்வாறு பாதிக்கப்படுகிறது என்பதைப் பற்றிய புரிதலை காந்த ஏற்புத்திறன் அளிக்கிறது.
வேறுவகையில் கூறுவோமாயின் எவ்வளவு எளிதாக மற்றும் எவ்வளவு வலிமையாக பொருள் காந்தத்தன்மையை
ஏற்றுக்கொள்கிறது என்பதை அளவிடுவது காந்த ஏற்புத்திறனாகும். காந்தமாக்குப் புலத்தினால்
பொருளில் தூண்டப்பட்ட காந்தமாகும் செறிவிற்கும்
பொருளுக்கு அளிக்கப்பட்ட
காந்தமாக்குப்புலத்திற்கும்
உள்ள விகிதமே காந்த ஏற்புத்திறனாகும்.

இது ஒரு பரிமாணமற்ற அளவாகும். அட்டவணை 3.1
இல் திசை ஒருமைப்பண்புடைய சில பொருட்களின் காந்த ஏற்புத்திறன் மதிப்புகள் கொடுக்கப்பட்டுள்ளன.

எடுத்துக்காட்டு
3.8
நிறை, காந்தத்திருப்புத்திறன் மற்றும் அடர்த்தி
முறையே 200 g, 2 Am2, 8g cm-3 கொண்ட சட்டகாந்தமொன்றின் காந்தமாகும்
செறிவினைக் காண்க.
தீர்வு
சட்டகாந்தத்தின் அடர்த்தி பின்வருமாறு
அடர்த்தி = நிறை/பருமன்⇒பருமன் =நிறை / அடர்த்தி

காந்தத்திருப்புத்திறனின் எண்மதிப்பு pm
= 2Am2
காந்தமாகும் செறிவு, M = 2/25 × 10-6

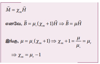
எடுத்துக்காட்டு
3.9
என்ற தொடர்பை பயன்படுத்தி Xmμr-1 எனக்
காட்டுக.
தீர்வு

ஆனால் சமன்பாடு (3.36) இன் வெக்டர் வடிவம்,

எடுத்துக்காட்டு
3.10
X மற்றும் Y என்ற இரண்டு பொருட்களின் காந்தமாகும்
செறிவுகள் முறையே 500 A m-1 மற்றும் 2000 Am-1 என்க. 1000
Am-1 மதிப்புடைய காந்தமாக்குப் புலத்தில் இவ்விரண்டு பொருட்களையும் வைக்கும்போது
எந்த பொருள் எளிதில் காந்தமாகும்?
தீர்வு
X பொருளின் காந்த ஏற்புத்திறன்

Y
பொருளின் காந்த ஏற்புத்திறன்

Y பொருளின் காந்த ஏற்புத்திறன் அதிகம். எனவே
X பொருளை விட Y பொருள் எளிதில் காந்தமாகும்.