வரையறை, சூத்திரம், பண்புகள், தீர்க்கப்பட்ட எடுத்துக்காட்டு கணக்குகள், பயிற்சி | கணிதம் - வரிசை மாற்றங்கள் | 11th Mathematics : UNIT 4 : Combinatorics and Mathematical Induction
வரிசை மாற்றங்கள் (Permutations)
வரிசை மாற்றம் என்றால் என்ன?
வரிசை மாற்றங்களை பல்வேறு சூழல்களில் எதிர்கொள்கிறோம்.
மூன்று நண்பர்கள் A, B மற்றும் C ஒரு புகைப்படம் எடுக்க வரிசையாக நிற்கவேண்டும். எத்தனை விதமான வரிசைகளில் நிற்கலாம்? இவை இடமிருந்து வலமாக கீழே தரப்பட்டுள்ளது.
A, B, C: A, C, B: B, A, C
B, C, A: C, B, A: C, A, B.

ஆகவே, மொத்தமாக புகைப்படம் எடுக்க 6 வழிகளில் தங்களுக்குள் வரிசையாக நிற்க வைக்கலாம்.
ஆகவே, 3 பொருட்களை ஒரு வரிசையில் அடுக்க 3 × 2 × 1 = 3! வரிசை மாற்றங்கள் இருக்கும். நான்கு பொருட்களை ஒரு சமயத்தில் எடுக்கும் போது கிடைக்கும் வரிசை மாற்றங்களின் எண்ணிக்கை 4 × 3 × 2 × 1 = 4! ஆகும். எனவே, பொதுவாக n பொருட்களை ஒரு வரிசையில் அடுக்க மொத்தம் n × (n − 1) × (n − 2) × · · · × 3 × 2 × 1 = n! வரிசை மாற்றங்கள் இருக்கும்.
நம்மிடம் உள்ள A, B, C, D, E, F மற்றும் G என்ற 7 எழுத்துகளில் நாம் 4 எழுத்துகளை கொண்டு எழுத்துச் சரங்களை உருவாக்கும் போது, முதல் எழுத்தினை தேர்ந்தெடுக்க நம்மிடம் 7 வழிகள் உள்ளன. முதல் எழுத்தை தேர்ந்தெடுத்த பின்னர், நம்மிடம் இரண்டாம் இடத்திற்கு 6 எழுத்துக்கள் உள்ளன. இதுபோல தொடர, 4 ஆவது எழுத்திற்கு 4 வாய்ப்புகள் உள்ளன.
எனவே, 7 எழுத்துகளில் இருந்து உருவாக்கப்படும் 4 எழுத்துச் சரங்களின் எண்ணிக்கை

பொதுவாக, n. வெவ்வேறான பொருட்களில் இருந்து r பொருட்களை கொண்டு உருவாக்கும் வரிசை மாற்றங்களின் எண்ணிக்கை
இதனை குறியீட்டால் nPr என குறிக்கலாம். இதற்கான முறையான நிரூபணத்தை இந்தப் பகுதியில் காண்போம்.
1. வெவ்வேறான பொருட்களின் மீதான வரிசை மாற்றங்கள் (Permutations of Distinct Objects)
சார்புகளின் வாயிலாக வரிசை மாற்றத்தை S = {x1, x2, ...xn}, என்ற முடிவுற்ற கணத்திலிருந்து S-ன் மீதே வரையறுக்கப்பட்ட ஓர் இருபுற சார்பை ஓர் வரிசை மாற்றம் என வரையறுக்கலாம். S-ன் வரிசை மாற்றங்களின் எண்ணிக்கையும் S-ன் மீது வரையறுக்கப்பட்ட இருபுற சார்புகளின் எண்ணிக்கையும் சமம்.
இந்த வரிசை மாற்றங்களின் எண்ணிக்கையை nPr என குறிக்கலாம்.
தேற்றம் 4.1
n, r ஆகியவை மிகை முழு எண்கள் மேலும் r ≤ n எனில், n வெவ்வேறான பொருட்களில் இருந்து ஒரு சமயத்தில் r பொருட்களை கொண்டு உருவாக்கும் வரிசை மாற்றங்களின் எண்ணிக்கை n (n − 1) (n − 2) · · · (n − r + 1) ஆகும்.
நிரூபணம். ஒரு வரிசை மாற்றம் என்பது வரிசையில் அமைத்தலாகும். n வெவ்வேறான பொருட்களிலிருந்து ஒரு சமயத்தில் பொருட்களை கொண்டு உருவாக்கும் வரிசை மாற்றத்தினை, n பொருட்களை இடங்களில் r அமைத்து பெறலாம்.

முதல் இடத்தை நிரப்ப n பொருட்கள் உள்ளன இரண்டாவது இடத்தை நிரப்புவதற்கு n - 1 பொருட்கள் உள்ளன. மூன்றாம் இடத்தை நிரப்பா n - 2 பொருட்கள் உள்ளன. இதுபோல கடைசி வரை தொடர, அதாவது r ஆவது இடத்தை நிரப்ப (n − (r − 1)) பொருட்கள் உள்ளன. பெருக்கல் விதியின் படி நாம் nPr = n (n − 1) (n − 2) · · · (n − r + 1) எனப் பெறலாம்.
தேற்றம் 4.2
n ≥ 1 மற்றும் 0 ≤ r ≤ n எனில் 
நிரூபணம் தேற்றம் 4.1-லிருந்து,

குறிப்பு:
குறிப்பாக எந்த ஒரு மிகை முழு எண் மற்றும் குறையற்ற முழு எண் r-க்கும், இதனை

குறிப்பு:

குறிப்பு: n வெவ்வேறான பொருட்களை ஒரு வரிசையில் nPn = n! வழிகளில் வரிசைப்படுத்தலாம்.
தேற்றம் 4.3
n வெவ்வேறான பொருட்களிலிருந்து ஒரு சமயத்தில் r பொருட்களை திரும்ப வரும் முறையில் nr வழிகளில் வரிசைப்படுத்தலாம்.
நிரூபணம் தேற்றம் 4.1 இல் உள்ளது போல்,

நாம் முதல் இடத்தை நிரப்ப n பொருட்களும், இரண்டாவது இடத்தை நிரப்ப (முதலில் பயன்படுத்திய பொருளை மீண்டும் பயன்படுத்தலாம்) n பொருட்களும், இதுபோலவோ r வது இடத்தை நிரப்பா n பொருட்களும் உள்ளன. பெருக்கல் விதியிலிருந்து வெவ்வேறான n பொருட்களிலிருந்து ஒரு சமயத்தில் பொருட்களை திரும்ப வரும் முறையில் n × n × n × · · · n (r முறைகள்) = nr வழிகளில் வரிசைப்படுத்தலாம்.
பண்பு 1: nPn = nPn-1
நிரூபணம்

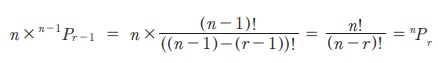
பண்பு 2: nPr = n × n-1Pr-1
நிரூபணம்

இதைப்போலவே தொடர்ந்தால், நாம் பெறுவது

பண்பு 3 : nPr = n -1Pr + r × n - 1Pr - 1
நிரூபணம்

எடுத்துக்காட்டு 4.25 மதிப்பிடுக : (i) 4P4 (ii) 5P3 (iii) 8P4 (iv) 6P5
தீர்வு:
(i) 4P4 = 4 × 3 × 2 × 1 = 4! = 24.
(ii) 5P3 = 5 × 4 × 3 = 60.
(iii) 8P4 = 8 × 7 × 6 × 5 = 1680.
(iv) 6P5 = 6 × 5 × 4 × 3 × 2 = 6! = 720.
எடுத்துக்காட்டு 4.26 (n+ 2)P4 = 42 × nP2 எனில், n ஐக் காண்க.
தீர்வு:

எடுத்துக்காட்டு 4.27 10Pr = 7Pr + 2 எனில், r ஐக் காண்க.
தீர்வு:
10Pr = 7Pr + 2

(10 – r) × (9 – r) × (8 – r) × (7 - r) × (6 – r) = 10 × 9 × 8
(10 – r) × (9 – r) × (8 – r) × (7 - r) × (6 – r) = 6 × 5 × 4 × 3 × 2
(10 × 9 × 8 ஐ ஐந்து அடுத்தடுத்த எண்களின் பெருக்கலாக இறங்கு வரிசையில் எழுத)
எனவே, 10 – r = 6 ⇒ r = 4.
எடுத்துக்காட்டு 4.28 "VOWELS" என்ற வார்த்தையில் உள்ள எழுத்துகளைக் கொண்டு பின்வரும் நிபந்தனைகளுக்கு உட்பட்டு எத்தனை எழுத்துச் சரங்களை உருவாக்கமுடியும்.
(i) E இல் தொடங்கும் வகையில்
(ii) E இல் தொடங்கி, W இல் முடிக்கும் வகையில்.
தீர்வு :
கொடுக்கப்பட்ட வார்த்தையில் 6 எழுத்துகள் (V, O, W, E, L, S) உள்ளன
(i) எல்லா எழுத்துச் சரங்களும் E இல் துவங்க வேண்டும். எனவே, மீதமுள்ள 5 எழுத்துகளை வரிசைப்படுத்த 5P5 = 5! வழிகள் உள்ளன.

ஆகவே, E இல் தொடங்கும் எழுத்துச் சரங்களின் எண்ணிக்கை 5! = 120.
(ii) எல்லா எழுத்துச் சரங்களும் E இல் தொடங்கி, W இல் முடிக்க வேண்டும், 5! = 120.
எனவே, E ஐமுதலிலும், W ஐ கடைசியிலும் வைக்கவேண்டும். மீதமுள்ள 4 எழுத்துகளை 4P4 = 4! வழிகளில் வரிசைப்படுத்தலாம்.
ஆகவே, E இல் தொடங்கி, W இல் முடிக்கும் எழுத்துச் சரங்களின் எண்ணிக்கை 4! = 24.
எடுத்துக்காட்டு 4.29 நான்கு வெவ்வேறான இலக்கங்களைக் கொண்ட 4-இலக்க எண்களை 1,2,3,4 மற்றும் 5 என்ற இலக்கங்களைப் பயன்படுத்தி உருவாக்கும்போது, கீழ்க்கண்டவற்றை காண்க.
(i) இவ்வாறான எத்தனை எண்களை உருவாக்கலாம்?
(ii) இவற்றில் எத்தனை எண்கள் இரட்டைப்படை?
(iii) இவற்றில் எத்தனை எண்கள் சரியாக 4 ஆல் வகுபடும்?
தீர்வு:
(i) நான்கு-இலக்க எண்களின் எண்ணிக்கையானது கொடுக்கப்பட்ட 5 இலக்கங்களிலிருந்து 4 இலக்கங்களைக் கொண்டு உருவாக்கப்படும் வரிசை மாற்றங்களின் எண்ணிக்கைக்கு சமம். எனவே, இதன்மதிப்பு 5P4 = 5 × 4 × 3 × 2 = 120

(ii) இரட்டைப்படை எண்ணிற்கு கடைசி இலக்கம் 2 அல்லது 4 ஆக இருக்கவேண்டும். எனவே, கடைசி இலக்கத்தை 2P1 வழிகளில் நிரப்பலாம். மேலும் மீதி இருக்கும் 3 இடங்களை மீதி இருக்கும் 4 இலக்கங்களை கொண்டு 4P3 வழிகளில் நிரப்பலாம். எனவே தேவையான இரட்டைப்படை எண்களின் எண்ணிக்கை 2P1 × 4P3 = 2 × 24 = 48.

(iii) ஓர் எண் 4 ஆல் வகுபட அந்த எண்ணின் கடைசி இரண்டு இலக்கங்கள் 4 ஆல் வகுபட வேண்டும். எனவே, கடைசி இரண்டு இலக்கங்கள் நிரப்ப 12, 24, 32, 52 (4 வழிகள்) என இருக்க வேண்டும். மீதமுள்ள முதல் இரண்டு இடங்களை மீதமுள்ள 3 இலக்கங்களை கொண்டு 3P2 வழிகளில் நிரப்பலாம். எனவே, 4 ஆல் வகுபடும் எண்களின் எண்ணிக்கை 4P1 × 3P2 = 4 × 6 = 24.
n வெவ்வேறான பொருட்களில் குறிப்பிட்ட எண்ணிக்கையிலான m பொருட்கள் எப்பொழுதும் ஒன்றாக வரும் வகையில் உள்ள வரிசை மாற்றங்களின் எண்ணிக்கையை காண
· ஒன்றாக வரவேண்டிய குறிப்பிட்ட m பொருட்களை கட்டி அதை ஒரு அலகு ஆக கொள்க.
· இப்போது, நம்மிடம் (n - m + 1) பொருட்கள் உள்ளது. இந்த (n - m + 1) பொருட்களை (n - m + 1)! வழிகளில் வரிசைப்படுத்தலாம்.
· பிறகு ஒன்றாக வரவேண்டிய m பொருட்களை தங்களுக்குள் m! வழிகளில் வரிசைப்படுத்தலாம்.
· தேவையான வரிசை மாற்றங்களின் எண்ணிக்கை m! × (n - m + 1)!.
n வெவ்வேறான பொருட்களில், கொடுக்கப்பட்ட எந்த இரு k பொருட்களும் ஒன்றாக வராமலும் மற்றும் மீதமுள்ள m = n - k பொருட்களின் மீது எவ்வித கட்டுப்பாடும் இல்லாமலும் உருவாகும் வரிசை மாற்றங்களின் எண்ணிக்கையை காண, கீழ்க்காணும் விதிமுறையைப் பின்பற்றுவோம்.
· முதலில், கட்டுப்பாடில்லாத m பொருட்களை ஒரே வரிசையில் வரிசைப்படுத்துக. இந்த m பொருட்களை mPm = m! வழிகளில் வரிசைப்படுத்தலாம்.
· எவ்வித கட்டுப்பாடும் இல்லாத m பொருட்களுக்கு இடையே உள்ள இடைவெளிகளை, முதல் மற்றும் கடைசி இடங்களையும் சேர்த்து எண்ண வேண்டும். இவ்வாறான இடைவெளிகள் m ஐ விட ஒன்று அதிகமாக அதாவது (m + 1) இடைவெளிகள் இருக்கும். இந்த (m + 1) இடங்களில் k பொருட்களை (m+1)Pk வழிகளில் வரிசைப்படுத்தலாம்.
· எனவே தேவையான வரிசை மாற்றங்களின் எண்ணிக்கை m! × (m+1)Pk.
எடுத்துக்காட்டு 4.30 "EQUATION" என்ற வார்த்தையில் உள்ள எழுத்துகளை பயன்படுத்தி
(i) உயிரெழுத்துகள் ஒன்றாக வரும் வகையில் எத்தனை எழுத்துச் சரங்களை உருவாக்கலாம்?
(ii) உயிரெழுத்துகள் ஒன்றாக வராத வகையில் எத்தனை எழுத்துச் சரங்களை உருவாக்கலாம்?
தீர்வு:
(i) "EQUATION" என்ற வார்த்தையில் 8 எழுத்துகள் உள்ளன. இவற்றில் 5 உயிரெழுத்துகள் (E, U, A, I, O) மற்றும் 3 மெய்யெழுத்துகள் (Q, T, N) உள்ளன. 5 உயிரெழுத்துகளையும் ஒரு எழுத்து போல கருத நம்மிடம் 4 எழுத்துகள் உள்ளன. இவற்றை 4P4 = 4! வழிகளில் வரிசைப்படுத்தலாம். ஆனால் இந்த ஒவ்வொரு வரிசை மாற்றத்திலும், உயிரெழுத்துகள் E, U, A, I, O ஆகியவற்றை 5P5 = 5! வழிகளில் தங்களுக்குள் வரிசைப்படுத்தலாம்.
எனவே, பெருக்கல் விதிப்படி தேவையான எழுத்துச் சரங்களின் எண்ணிக்கை 4! × 5! = 24 × 120 = 2880.
(ii) "EQUATION" என்ற வார்த்தையில் உள்ள 8 எழுத்துகளைக் கொண்டு உருவாக்கும் எழுத்துச் சரங்களின் எண்ணிக்கை 8P8 = 8! = 40320.
எனவே, உயிரெழுத்துகள் ஒன்றாக வராத வகையில் உள்ள எழுத்துச் சரங்களின் எண்ணிக்கையை மொத்த எழுத்துச் சரங்களின் எண்ணிக்கையிலிருந்து உயிரெழுத்துக்கள் ஒன்றாக வரும் வகையில் உள்ள எழுத்துச் சரங்களின் எண்ணிக்கையை கழித்துப் பெறலாம். ஆகவே, தேவையான எழுத்துச் சரங்களின் எண்ணிக்கை 40320 - 2880 = 37440.
எடுத்துக்காட்டு 4.31 15 மாணவர்கள் எழுதும் ஒரு தேர்வில், 7 மாணவர்கள் கணிதத் தேர்வையும் மீதமுள்ள 8 மாணவர்கள் வெவ்வேறு பாடங்களுக்கான தேர்வையும் எழுதுகின்றனர். கணிதத் தேர்வு எழுதும் எந்த இரு மாணவர்களும் ஒரே வரிசையில் அடுத்தடுத்து இல்லாத வகையில் எத்தனை வழிகளில் அமர வைக்கலாம்?
தீர்வு:
கணிதத்தைத் தவிர மற்ற பாடங்களில் தேர்வு எழுதும் 8 மாணவர்களை 8P8 = 8! வழிகளில் வரிசைப்படுத்தலாம். இந்த ஒவ்வொரு வரிசைபடுத்தல்களிலும் 9 இடைவெளிகள் இருக்கும். எனவே கணிதத் தேர்வு எழுதும் 7 மாணவர்களை இந்த 9 இடைவெளிகளில் 9P7 வழிகளில் அமரவைக்கலாம்.
_O1_O2_O3_O4_O5_O6_O7_O8_
எனவே, பெருக்கல் விதிப்படி தேவையான வரிசை மாற்றங்களின் எண்ணிக்கை

எடுத்துக்காட்டு 4.32 5 மாணவர்கள் மற்றும் 4 மாணவிகளை ஒரே வரிசையில் எந்த இரு மாணவிகளும் அடுத்தடுத்து வராமல் எத்தனை வழிகளில் அமரவைக்கலாம்.
தீர்வு:
_B1_B2_B3_B4_B5_
5 மாணவர்களை ஒரே வரிசையில் 5P5 = 5! வழிகளில் அமரவைக்கலாம். இந்த ஒவ்வொரு வரிசைப் படுத்தலிலும், 6 இடைவெளிகள் உருவாகும். இந்த, 6 இடங்களில் 4 மாணவிகளை 6P4 வழிகளில் அமர வைக்கலாம்.
எனவே, அமரவைக்கும் மொத்த வழிகளின் எண்ணிக்கை
5! × 6P4 = 120 × 360 = 43200.
எடுத்துக்காட்டு 4.33 4 மாணவர்கள் மற்றும் 4 மாணவிகளை ஒரே வரிசையில் மாணவனும் மாணவியும் அடுத்தடுத்து வருமாறு எத்தனை வழிகளில் நிற்க வைக்கலாம்?
தீர்வு:
4 மாணவர்களை ஒரு வரிசையில் நிற்க வைக்கும் வழிகள் 4P4 = 4! மாணவனை முதலாவதாகக் கொண்டு, இந்த ஒவ்வொரு வரிசையும் 4 இடைவெளிகளை உருவாக்கும். இந்த 4 இடங்களில் 4 மாணவிகளை 4P4 = 4! வழிகளில் அமர வைக்கலாம்.
B1_B2_B3_B4_ or G1_G2_G3_G4_
எனவே, மாணவனை முதலாவதாக கொண்ட வரிசைகளின் எண்ணிக்கை 4! × 4!.
இதுபோலவே, மேற்கூறிய வழிமுறையின்படி மாணவியை முதலாவதாகக் கொண்ட வரிசைகளின் எண்ணிக்கை 4! × 4!. எனவே கூட்டல் விதிப்படி, மாணவனையோ அல்லது மாணவியையோ முதலாவதாகக் கொண்ட வரிசை மாற்றங்களின், மொத்த எண்ணிக்கை
(4! × 4!) + (4! × 4!) = 2(4!)2 = 1152.
எடுத்துக்காட்டு 4.34 ஒரு வண்டியில் 8 இருக்கைகள் உள்ளன. முன்வரிசையில் 2 இருக்கைகளும் அதற்கு பின்புறம் இரண்டு வரிசைகளில் ஒவ்வொன்றிலும் மூன்று இருக்கைகள் உள்ளன. அந்த வண்டியானது ஏழு நபர்கள் F, M, S1, S2, S3, D1, D2 உள்ள ஒரு குடும்பத்திற்கு சொந்தமானது. பின்வரும் நிபந்தனைகளுக்கு உட்பட்டு அக்குடும்பத்தை அந்த வண்டியில் எத்தனை வழிகளில் அமர வைக்கலாம்?
(i) எந்த கட்டுப்பாடும் இல்லாமல்
(ii) F அல்லது M வண்டியை ஓட்ட வேண்டும்
(iii) F வண்டியை ஓட்டும்போது D1, D2 சன்னலோர இருக்கையில் அமர்ந்திருக்கவேண்டும்.

தீர்வு:
(i) வண்டியில் உள்ள 8 இருக்கையில் ஒரு இருக்கை ஓட்டுனருக்காக ஒதுக்கப்பட்டுள்ளது. எந்த கட்டுப்பாடும் இல்லாததால் யார் வேண்டுமானாலும் வேனை ஓட்டலாம். எனவே, ஓட்டுநர் இருக்கையில் அமர 7P1 = 7 வழிகள் உள்ளன. மீதமுள்ள 7 இருக்கைகளில் மீதமுள்ள 6 நபர்கள் 7P6 = 5040 வழிகளில் அமரலாம். எனவே, வண்டியில் அந்த குடும்பத்தை 7 × 5040 = 35280 வழிகளில் அமரவைக்க முடியும்.
(ii) ஓட்டுநர் இருக்கை F அல்லது M ஆல் நிரப்பப்படவுள்ளதால், இதனை நிரப்ப இரண்டு வழிகள் உள்ளன. எனவே, வண்டியில் அந்த குடும்பத்தை 2 × 5040 = 10080 வழிகளில் அமரவைக்க முடியும்.
(iii) 5 சன்னலோர இருக்கைகள் மட்டுமே இருப்பதால், D1 மற்றும் D2 ஆகியோர் சன்னலோர இருக்கையில் அமர 5P2 = 20 வழிகள் உள்ளன. ஓட்டுநர் இருக்கையில் அமர்கிறார், மீதமுள்ள 4 நபர்கள் மீதமுள்ள 5 இருக்கைகளில் அமர 5P4 = 120 வழிகள் உள்ளன. எனவே, வண்டியில் அந்த குடும்பம் 20 × 1 × 120 = 2400 வழிகளில் அமரமுடியும்.
அடுத்த கணக்கைப் புரிந்து கொள்ள நாம் ஆங்கில அகராதியில் வார்த்தையின் தரம் (Rank of a word in the English Dictionary) என்பதை வரையறுப்போம். கொடுக்கப்பட்ட வார்த்தையில் உள்ள எழுத்துகளைக் கொண்டு உருவாக்கப்படும் எழுத்துச் சரங்களை ஆங்கில அகராதியில் உள்ள வரிசையின் படி எழுதும் போது, அந்த வார்த்தை வரும் இடம் அதன் தரம் என வரையறுக்கப்படுகின்றது.
எடுத்துக்காட்டு 4.35 TABLE என்ற வார்த்தையில் உள்ள எழுத்துகளை வரிசை மாற்றம் செய்து கிடைக்கும் எல்லா எழுத்துச் சரங்களையும் ஆங்கில அகராதியில் உள்ளபடி வரிசையாக அமைத்தால், கீழ்க்கண்ட வார்த்தைகளின் தரம் காண்க.
(i) TABLE (ii) BLEAT
தீர்வு:
கொடுக்கப்பட்ட வார்த்தையின் எழுத்துகள் ஆங்கில அகராதியில் A, B, E, L, T என்ற வரிசையில் அமையும். அகராதியில் A யில் துவங்கும் வார்த்தைகள் தான் முதலில் வரும். முதல் இடத்தில் A ஐ அமைத்து மீதம் உள்ள 4 எழுத்துகளை (B,E,L,T) 4! வழிகளில் வரிசைப்படுத்தலாம். இதேபோல் தொடர நமக்கு கிடைப்பது,
(i) TABLE என்ற வார்த்தையின் தரம்
A _ _ _ _ = 4! = 24 வழிகள்
B _ _ _ _ = 4! = 24 வழிகள்
E _ _ _ _ = 4! = 24 வழிகள்
L _ _ _ _ = 4! = 24 வழிகள்
T A B E L = 1 வழி
T A B L E = 1 வழி
TABLE என்ற வார்த்தையின் தரம் 4 × 4! + 1 + 1 = 98.
(ii) BLEAT என்ற வார்த்தையின் தரம்
A _ _ _ _ = 4! = 24 வழிகள்
B A _ _ _ = 3! = 6 வழிகள்
B E _ _ _ = 3! = 6 வழிகள்
B L A _ _ = 2! = 2 வழிகள்
BLEAT = 1 வழி
BLEAT என்ற வார்த்தையின் தரம் 24 + 6 + 6 + 2 + 1 = 39
J E E என்ற வார்த்தையை வரிசை மாற்றம் செய்வதாக கொள்வோம். இதில் உள்ள எழுத்துகள் அனைத்தும் வெவ்வேறாக இல்லை. இதில் E என்ற எழுத்து இரண்டு முறை வந்து ஒரே வகையாக அமைந்துள்ளன. தற்காலிகமாக, இந்த இரண்டு E இக்களில் ஒன்றை E1 எனவும் E2 மற்றொன்றை எனவும் கொள்வோம். மூன்று வெவ்வேறான எழுத்துக்களால் ஒரே நேரத்தில் உருவாகும் எல்லா வரிசை மாற்றங்களின் எண்ணிக்கை 3! ஆகும்.

E1, E2 என்ற 2 எழுத்துகளை தங்களுக்குள் வரிசை மாற்றம் செய்யும்போது உண்மையில் அதே வரிசை மாற்றம் கிடைப்பதே இதற்கு காரணமாகும். இவை இரண்டும் ஒன்றே ஆதலால், தேவையான வரிசை மாற்றங்களின் எண்ணிக்கை 3!/2! = 3.
தேற்றம் 4.4
n பொருட்களில், p பொருட்கள் ஒரே மாதிரியாகவும் மற்றவை அனைத்தும் வெவ்வேறாகவும் உள்ள பொருட்களின் வரிசை மாற்றங்களின் எண்ணிக்கை n! / p!.
பொதுவாக, n பொருட்களில், p1 பொருட்கள் முதல் வகையாகவும், p2 பொருட்கள் இரண்டாம் வகையாகவும்,... pk பொருட்கள் k ஆவது வகையாகவும் மற்றபொருட்கள் ஒவ்வொன்றும் வெவ்வேறாகவும் இருப்பின் வரிசை மாற்றங்களின் எண்ணிக்கை 
எடுத்துக்காட்டு 4.36 BANANA என்ற வார்த்தையில் உள்ள எழுத்துகளை எத்தனை வகைகளில் வரிசைப் படுத்தலாம்?
தீர்வு:
இந்த வார்த்தையில் 6 எழுத்துகள் உள்ளன. இதில் மூன்று A களும், இரண்டு N களும் மேலும் ஒரு B யும் உள்ளது. இவற்றை வரிசைப்படுத்தும் முறைகளின் எண்ணிக்கை 6! / 3! × 2! = 60.
எடுத்துக்காட்டு 4.37 RAMANUJAN என்ற வார்த்தையில் உள்ள உயிர் மற்றும் மெய் எழுத்துகளின் இருப்பிட நிலைகளை மாற்றாமல் எத்தனை வழிகளில் வரிசைப்படுத்தலாம்?
தீர்வு :
RAMANUJAN என்ற வார்த்தையில் 4 உயிர் எழுத்துகள் (A,A,U,A) உள்ளன. இதில் மூன்று A களும், ஒரு U வும் உள்ளது. மேலும், 5 மெய் எழுத்துகள் (R,M,N,J,N) உள்ளன. இதில், இரண்டு N-களும் மற்றவை வெவ்வேறானதாகவும் உள்ளது. இந்த 4 உயிரெழுத்துக்களை (A,A,A,U) அவற்றிற்குள் = 4!/3! = 4 வழிகளில் வரிசைப்படுத்தலாம். மேலும் 5 மெய் எழுத்துகளை (R,M,N,J,N) அவற்றிற்குள் 5!/2! = 60 வழிகளில் வரிசைப்படுத்தலாம். எனவே, தேவையான வரிசை மாற்றங்களின் எண்ணிக்கை 4!/3! × 5!/2! = 4 × 60 = 240.
எடுத்துக்காட்டு 4.38 ஒரு புகைப்படத்திற்காக ஒரு வரிசையில் மூன்று ஜோடி இரட்டையர்கள் நிற்கிறார்கள். கீழ்க்கண்ட நிபந்தனைகளுக்குட்பட்டு எத்தனை வழிகளில் வரிசைப்படுத்தலாம்.
(i) எந்த ஒரு கட்டுப்பாடும் இல்லாமல்
(ii) ஒவ்வொரு நபரும் அவரின் இரட்டையருக்கு அருகில் நிற்க வேண்டும்.
தீர்வு:
(i) எந்த ஒரு கட்டுப்பாடும் இல்லாமல் 6 நபர்களை 6P6 = 6! = 720 வழிகளில் நிற்க வைக்கலாம்.
(ii) மூன்றுஜோடி இரட்டையர்களை T1, T2, T3 என்க. ஒவ்வொரு ஜோடி இரட்டையர்களையும் ஒரு அலகாக கொண்டு இவர்களை 3! வழிகளில் வரிசைப்படுத்தலாம். இதில் உள்ள ஒவ்வொரு ஜோடி இரட்டையர்களையும் அவர்களுக்குள் 2! வழிகளில் வரிசைப்படுத்தலாம். எனவே, எல்லா வரிசை மாற்றங்களின் எண்ணிக்கை 3! × 2! × 2! × 2! = 48.
எடுத்துக்காட்டு 4.39 1,2,3,4,2,1 என்ற இலக்கங்களைப் பயன்படுத்தி இரட்டைப் படை எண்கள் இரட்டை இடத்தில் வருமாறு எத்தனை எண்களை உருவாக்கலாம்?
தீர்வு:
இதில் காணப்படும் 6 இடங்களில் உள்ள 3 இரட்டைப்படை இடங்களில் 2, 4, 2 என்ற இரட்டைப்படை எண்கள் வரவேண்டும். 2, 4, 2 என்ற இலக்கங்களை 3 இரட்டைப்படை இடங்களில் 3!/2! = 3 வழிகளில் வரிசைப்படுத்தலாம். மீதமுள்ள, 1, 3, 1 என்ற இலக்கங்களை மீதமுள்ள 3 இடங்களில் 3!/2! = 3 வழிகளில் வரிசைப்படுத்தலாம். எனவே, தேவையான எண்களின் எண்ணிக்கை 3 × 3 = 9.
எடுத்துக்காட்டு 4.40 படத்தில் காட்டியுள்ளவாறு போல 6 × 4 கட்டகத்தில் ஆரம்பத்தில் இருந்து இறுதி வரை செல்ல எத்தனை பாதைகள் உள்ளன?

தீர்வு:
ஒவ்வொரு பாதையிலும் 6 கிடைமட்ட நீள அலகுகளும், மற்றும் 4 செங்குத்து நீள அலகுகளும் உள்ளன. ஒவ்வொரு பாதையிலும் 10 நீள அலகுகள் உள்ளன. இதில் 6 ஒரு வகையிலும் (கிடைமட்டம்) மற்றும் 4 மற்றொரு வகையிலும் (செங்குத்து) உள்ளது.
ஆதலால், மொத்த பாதைகளின் எண்ணிக்கை 10! / 4! × 6! = 210.
எடுத்துக்காட்டு 4.41 BHASKARA என்ற ஆங்கில வார்த்தையில் உள்ள எழுத்துகளை ஆங்கில அகராதியில் உள்ளபடி வரிசை மாற்றம் செய்யும்போது B யில் துவங்கும் வார்த்தைகளுக்கு முன்னதாக எத்தனை எழுத்துச் சரங்கள் இருக்கும்?
தீர்வு:
B-க்கு முன்னதாக A யில் துவங்கும் வார்த்தைகள் வரும். எனவே, A யில் துவங்கும் A,A,B,H,K,R,S என்ற எழுத்துகளைக் கொண்டு உருவாக்கப்படும் எழுத்துச் சரங்களின் எண்ணிக்கை 7!/2! = 2520 ஆகும்.
எடுத்துக்காட்டு 4.42 IITJEE என்ற வார்த்தையில் உள்ள அனைத்து எழுத்துகளையும் எல்லா வழிகளிலும் வரிசை மாற்றம் செய்து உருவாக்கப்படும் எழுத்துச்சரங்களை ஆங்கில அகராதியில் உள்ளவாறு வரிசைப்படுத்தும் போது IITJEE என்ற வார்த்தையின் தரம் காண்க.
தீர்வு:
IITJEE யில் உள்ள எழுத்துகள் அகராதி வரிசையில் E,E,I,I,J,T என்றவாறு இருக்கும். அகராதியில் E யில் துவங்கும் வார்த்தைகள் முதலில் வரும். முதல் இடத்தை E ஆல் நிரப்பி, மீதமுள்ள 5 (E,I,I,J,T) எழுத்துகளை 5!/2! வழிகளில் வரிசைப்படுத்தலாம்.
இதுபோல் தொடர நமக்கு கிடைப்பது,

எனவே, IITJEE என்ற வார்த்தையின் தரம் 60 + 24 + 6 + 3 + 2 + 1 = 96 ஆகும்.
எடுத்துக்காட்டு 4.43 1, 2, 4, 6, 8 என்ற இலக்கங்களை கொண்டு உருவாக்கப்படும் எல்லா 4-இலக்க எண்களின் கூடுதலைக் காண்க.
தீர்வு:
கொடுக்கப்பட்ட 5 இலக்கங்களை கொண்டு உருவாக்கப்படும் 4-இலக்க எண்களின் எண்ணிக்கை 5P4 = 120 நாம் முதலில் ஒன்றாம் இடத்தில் உள்ள எல்லா 120 எண்களின் கூடுதலைக் காண்போம். ஒன்றாம் இடத்தில் 1ஐ அமைத்து, மற்ற இடங்களில் மீதமுள்ள 4 எண்களை 4P3 = 24 வழிகளில் வரிசைப்படுத்தலாம். இதுபோலவே, 2, 4, 6, 8 ஆகிய இலக்கங்கள் ஒன்றாம் இடத்தில் 24 முறை வருகின்றன. எல்லா 120 எண்களின் ஒன்றாம் இடத்தில் வரும் இலக்கங்களின் கூட்டுத்தொகை கிடைக்கும். எனவே,
(4P3 × 1) + (4P3 × 2) + (4P3 × 4) + (4P3 × 6) + (4P3 × 8)
= 4P3 × (1 + 2 + 4 + 6 + 8)
= 4P3 × (இலக்கங்களின் கூடுதல்)
= 4P3 × 21.
இதுபோலவே, 10ஆம் இடத்தில் உள்ள எண்களின் கூட்டுத்தொகை 4P3 × 21. இது 10ஆம் இடத்தில் உள்ளதால் இதன் மதிப்பு 4P3 × 21 × 10. இதுபோலவே, 100ஆம் இடம் மற்றும் 1000மாவது இடத்தில் உள்ள எண்களின் மதிப்புகள் முறையே 4P3 × 21 × 100 மற்றும் 4P3 × 21 × 1000. எனவே, 1,2,4,6,8 என்ற இலக்கங்களைக் கொண்டு உருவாகும் எல்லா 4-இலக்க எண்களின் கூட்டுத்தொகை
(4P3 × 21) + (4P3 × 21 × 10) + (4P3 × 21 × 100) + (4P3 × 21 × 1000)
= 4P3 (21 × 1111)
= 24 × 21 × 1111
= 559944.
ஊகித்து உணர்தல் 4.1
n பூச்சியமற்ற இலக்கங்களைக் கொண்டு உருவாகும் எல்லா r -இலக்க எண்களின் கூடுதல்
{n-1Pr-1 (இலக்கங்களின் கூடுதல்) × 111....1 (r முறை)}
ஊகித்து உணர்தல் 4.2
கொடுக்கப்பட்ட n இலக்கங்களில் 0 ஒரு இலக்கம் எனில், இவற்றைக் கொண்டு உருவாகும் எல்லா r இலக்க எண்களின் கூடுதல்
{n-1Pr-1 × (இலக்கங்களின் கூடுதல்) × 111...1 (r முறை)} -
{n-2Pr-2 × (இலக்கங்க ளின் கூடுதல்) X 111...1 ((r - 1) முறை)}.
Sn = {x1, x2, x3,..., xn} என்ற முடிவுற்ற கணத்தின் மீதான வரிசை மாற்றமானது Sn → Sn -க்கு வரையறுக்கப்பட்ட இருபுற சார்பாகும். எனவே n உறுப்புகளைக் கொண்ட முடிவுறு கணத்தின் மீது வரையறுக்கப்பட்ட வரிசை மாற்றங்களின் எண்ணிக்கை அக்கணத்தின் மீது வரையறுக்கப்பட்ட இருபுற சார்புகளின் மொத்த எண்ணிக்கைக்குச் சமமாகும். இது துல்லியமாக n! ஆகும். ஆகவே ஒரு கணத்தின் மீதான வரிசை மாற்றங்களை பற்றிப் படிப்பதும், அக்கணத்தின் மீதான இருபுற சார்புகளைப் பற்றிப் படிப்பதும் ஒன்றே ஆகும். S3 -ன் மீதான சில வரிசை மாற்றங்கள் கீழே கொடுக்கப்பட்டுள்ளன.

1. (n-1)P3 : nP4 = 1:10 எனில், n ஐக் காண்க.
.2. 10 Pr-1 = 2 × P. எனில், r ஐக் காண்க.
3. (i) ஒரு நீச்சல் போட்டியில் 8 பேர் கலந்து கொள்கின்றனர். தங்கம், வெள்ளி மற்றும் வெண்கலப் பரிசுகளை எத்தனை வழிகளில் வழங்க இயலும்?
(ii) மூன்று ஆண்களிடம் 4 சட்டை, 5 மேல் சட்டை மற்றும் 6 தொப்பிகள் உள்ளன. அவற்றை அவர்கள் எத்தனை வழிகளில் அணியலாம்?
4. SIMPLE என்ற வார்த்தையில் உள்ள அனைத்து எழுத்துகளையும் ஒரே நேரத்தில் பயன்படுத்தி எத்தனை வரிசை மாற்றங்களை உருவாக்கலாம்?
5. ஒருதேர்வில் 10 பல்வாய்ப்பு விடையளிவினாக்கள் உள்ளன. கீழ்க்காணும் நிபந்தனைக்குட்பட்டு எத்தனை வழிகளில் இத்தேர்விற்கு விடையளிக்கலாம்.
(i) ஒவ்வொரு வினாவிற்கும் நான்கு வாய்ப்புகள் உள்ளன.
(ii) முதல் நான்கு வினாக்களுக்கு மூன்று வாய்ப்புகளும் மீதமுள்ள வினாக்களுக்கு ஐந்து வாய்ப்புகளும் உள்ளன.
(iii) n ஆவது வினாவிற்கு n + 1 வாய்ப்புகள் உள்ளன.
6. ஒரு மாணவன் 5 பல்வாய்ப்பு விடையளி வினாக்களுக்கு விடையளிக்க வேண்டும். ஒவ்வொரு வினாவிற்கும் உள்ள நான்கு வாய்ப்புகளில் ஒன்று சரியானது.
(i) அதிகபட்சமாக எத்தனை வெவ்வேறான விடைகளை ஒரு மாணவனால் தரமுடியும்?
(ii) ஒவ்வொரு வினாவிற்கும் ஒன்றிற்கு மேலான வாய்ப்புகளும் சரியானதாக இருக்கலாம் எனில், இந்த விடை எவ்வாறு மாற்றமடையும்?
7. ARTICLE என்ற வார்த்தையில் உள்ள மெய் எழுத்துகள் இரட்டை இலக்க இடத்தில் வருமாறு எத்தனை எழுத்துச் சரங்கள் உருவாக்க முடியும்?
8. 8 பெண்கள் மற்றும் 6 ஆண்கள் ஓர் வரிசையில் நிற்கிறார்கள்.
(i) எவரும் எந்த இடத்திலும் நிற்கலாம் என்ற வகையில் எத்தனை வழிகளில் நிற்கலாம்?
(ii) 6 ஆண்களும் அடுத்தடுத்து வருமாறு எத்தனை வழிகளில் நிற்கலாம்?
(iii) எந்த இரு ஆண்களும் ஒன்றாக நிற்காமல் எத்தனை வழிகளில் நிற்கலாம்?
9. MISSISSIPPI என்ற வார்த்தையில் உள்ள எழுத்துகளைப் பயன்படுத்தி எத்தனை வெவ்வேறான வரிசை மாற்றங்களை உருவாக்கலாம்?
10. a2 b3 c4 என்ற பெருக்கலில் அடுக்குக் குறிகளைப் பயன்படுத்தாமல் எத்தனை வழிகளில் எழுதலாம்?
11. 4 கணிதப்புத்தகங்கள், 3 இயற்பியல் புத்தகங்கள், 2 வேதியியல் புத்தகங்கள் மற்றும் 1 உயிரியல் புத்தகத்தை ஓர் அலமாரியில் ஒரே பாட புத்தகங்கள் ஒன்றாக வரும் வகையில் எத்தனை வழிகளில் அடுக்கலாம்?
12. SUCCESS என்ற வார்த்தையில் உள்ள எழுத்துகளில் எல்லா S களும் ஒன்றாக வரும் வகையில் எத்தனை வழிகளில் வரிசைப்படுத்தலாம்?
13. ஒரு நாணயம் 8 முறை சுண்டப்படுகின்றது.
(i) வெவ்வேறான தலைகள் மற்றும் பூக்களைக் கொண்ட வரிசைகள் எத்தனை இருக்கும்?
(ii) ஆறு தலைகள் மற்றும் இரண்டு பூக்கள் கொண்ட வெவ்வேறான வரிசைகள் எத்தனை இருக்கும்?
14. INTERMEDIATE என்ற வார்த்தையில் உள்ள எழுத்துகளைப் பயன்படுத்தி கீழ்க்காணும் நிபந்தனைகளுக்கு உட்பட்டு எத்தனை எழுத்துச் சரங்களை உருவாக்கலாம்.
(i) உயிர் எழுத்துகள் மற்றும் மெய் எழுத்துகள் அடுத்தடுத்து வருமாறு
(ii) எல்லா உயிரெழுத்துகளும் ஒன்றாக வருமாறு
(iii) உயிரெழுத்துகள் ஒன்றாக வராத வகையில்
(iv) எந்த இரு உயிரெழுத்துகளும் ஒன்றாக வராத வகையில்
15. 1, 1, 2, 3, 3 மற்றும் 4 என்ற இலக்கங்கள் தனித்தனியாக அட்டையில் எழுதப்பட்டுள்ளது. ஒரு 6-இலக்க எண்ணை அமைக்க இந்த ஆறு அட்டைகளையும் வரிசைப்படுத்தும்போது
(i) எத்தனை வெவ்வேறான 6-இலக்க எண்களை உருவாக்கலாம்?
(ii) இவற்றில் எத்தனை 6-இலக்க எண்கள் இரட்டைப்படை?
(iii) இவற்றில் எத்தனை 6-இலக்க எண்கள் 4 ஆல் வகுபடும்?
16. GARDEN என்ற வார்த்தையில் உள்ள எழுத்துகளை வரிசை மாற்றத்திற்கு உட்படுத்திக் கிடைக்கும் எழுத்துச்சரங்களை ஆங்கில அகராதியில் உள்ளது போன்று வரிசைப்படுத்தும்போது, கீழ்க்காணும் வார்த்தைகளின் தரத்தைக் காண்க. (i) GARDEN (ii) DANGER
17. THING என்ற வார்த்தையில் உள்ள எழுத்துகளை வரிசை மாற்றத்திற்கு உட்படுத்தி எத்தனை எழுத்துச் சரங்களை பெறலாம். மேலும், இதனை ஆங்கில அகராதியில் உள்ளது போன்று வரிசைப்படுத்தும்போது 85 ஆவது எழுத்துச் சரம் என்னவாக இருக்கும்?
18. FUNNY என்ற வார்த்தையில் உள்ள எழுத்துகளை வரிசை மாற்றத்திற்கு உட்படுத்திக் கிடைக்கும் எழுத்துச்சரங்களை ஆங்கில அகராதியில் உள்ளது போன்று வரிசைப்படுத்தும்போது FUNNY என்ற வார்த்தையின் தரம் காண்க.
9. 1, 2, 3, 4 மற்றும் 5 என்ற இலக்கங்கள் மீண்டும் திரும்ப வராத வகையில் உருவாகும் எல்லா 4-இலக்க எண்களின் கூட்டுத் தொகை காண்க.
20. 0, 2, 5, 7, 8 என்ற இலக்கங்கள் மீண்டும் வராத வகையில் உருவாக்கப்படும் எல்லா 4-இலக்க எண்களின் கூட்டுத் தொகையை காண்க.