ஒலி அலையின் பரவல்
ஒலி அலையானது நெட்டலையாகும். அது பரவும் ஊடகத்தில் இறுக்கங்களும், தளர்ச்சிகளும் ஏற்படும். கீழ்க்கண்ட பாடப்பகுதியில் காற்றில் ஒலியின் திசை வேகத்தை நியூட்டனின் முறையில் அளவிடலாம். பின்னர் அதன் மீதான லாப்லஸ் திருத்தத்தையும் காற்றில் ஒலியின் திசைவேகத்தை பாதிக்கும் காரணிகளையும் விவாதிக்கலாம்.
காற்றில் ஒலியின் திசைவேகத்திற்கான நியூட்டனின் சமன்பாடு
காற்றில் ஒலி பரவும் போது ஏற்படும் இறுக்கங்களும், தளர்ச்சிகளும் மிக மெதுவாக நடைபெறுகிறது. எனவே இந்த நிகழ்வை வெப்பநிலை மாறா நிகழ்வாக நியூட்டன் கருதினார். அதாவது இறுக்கத்தினால் (அழுத்தம் அதிகரிக்கிறது, பருமன் குறைகிறது) ஏற்படும் வெப்பம் மற்றும் நெகிழ்வினால் ஏற்படும் வெப்ப இழப்பு (அழுத்தம் குறையும், பருமன் அதிகரிக்கும்) மெதுவாக நிகழ்வதால் வெப்பநிலை மாறாமல் இருப்பதாக நியூட்டன் கருதினார். எனவே காற்று மூலக்கூறுகளை ஒரு நல்லியல்பு வாயுவாக கருதினால், அழுத்த, பரும் மாறுபாடுகள் பாயில் விதிக்கு கட்டுப்படுகின்றன. கணிதப்படி,

சமன்பாடு (11.20)யை வகைப்படுத்த,

இங்கு, K1 காற்றின் வெப்பநிலைமாறா பருமக்குணகம். சமன்பாடு (11.21) யை (11.16), இல் பிரதியிட, காற்றில் ஒலியின் திசைவேகம்

P என்பது காற்றின் அழுத்தம், NTP (இயல்பு வெப்பநிலை மற்றும் அழுத்தம்) இல் P இன் மதிப்பு 76 செ.மீ பாதரச அழுத்தமாகும்.
எனவே,
P = (0.76 × 13.6 ×103 × 9.8) N m-2
ρ = 1.293 kg m-3.
காற்றில் ஒலியின் வேகம் (NTP) யில்

= 279.80 m s-1 ≈ 280 ms-1 (கணக்கீட்டு மதிப்பு)
ஆனால், ஆய்வு மூலமாக 0°C யில் காற்றில் ஒலியின் திசைவேகம் 332 ms-1 என அளக்கப்பட்டுள்ளது. இந்த மதிப்பு, கணக்கீட்டு மதிப்பை விட 16% அதிகம்.
சதவீதப் பிழை ([332-280]/332 × 100% = 15.6%). இது குறைவான பிழை அல்ல
1816 ல் லாப்லஸ், மேலே குறிப்பிட்ட குறைபாட்டை, ‘’ஒலி ஓர் ஊடகத்தில் பரவும் போது துகள்கள் மிக விரைவாக அலைவுறுவதால் இறுக்கங்களும், தளர்ச்சிகளும் மிக வேகமாக ஏற்படும்" எனக் கருத்தில் கொண்டு சரி செய்தார். இறுக்கத்தினால் ஊடகத்திற்கு கொடுக்கப்படும் அதிக வெப்பமும், தளர்ச்சி மூலம் ஏற்படும் குளிர்ச்சி விளைவும் சுற்றுப் புறத்துடன் சமன் செய்யப்படாது. ஏன் எனில் காற்று (ஊடகம்) ஓர் அரிதிற்கடத்தியாகும். வெப்பநிலை மாறாது எனக் கருத முடியாததால், இது ஒரு வெப்ப பரிமாற்றமில்லா நிகழ்வு ஆகும். வெப்ப பரிமாற்றமில்லா விளைவு எனக் கருதுவதால், வாயு பாய்சன் விதியை பின்பற்றுகிறது (நியூட்டன் கருதியதுபோல் பாயில் விதி அல்ல). எனவே,

இங்கு 
CP - அழுத்தம் மாறா மோலார் தன்வெப்ப ஏற்புத்திறன்
Cv - பருமன் மாறா மோலார் தன் வெப்ப ஏற்புத்திறன்
சமன்பாடு (11.23)யை வகைப்படுத்த,

இங்கு, KA காற்றின் வெப்பமாற்றீடற்ற விளைவில் பருமக் குணகம்.
சமன்பாடு (11.23) ஐ (11.16) இல் பொருத்த காற்றில் ஒலியின் திசைவேகம்

காற்றில் முக்கியமாக நைட்ரஜன், ஆக்சிஜன், ஹைட்ரஜன் மற்றும் பிற (இரட்டை அணு மூலக்கூறு வாயு) இருப்பதால், γ = 1.4 எனவே, காற்றில் ஒலியின் திசைவேகம் vA = ( √1.4)(280 m s-1) = 331.30 m s-1. இது ஆய்வு முடிவு மதிப்பிற்கு மிக இறுக்கமாக உள்ளது.
வாயுவில் ஒலியின் திசைவேகத்தை பாதிக்கும் காரணிகள்
நல்லியல்பு வாயு ஒன்றைக் கருதுக. அதன் சமன்பாடு

இங்கு P-அழுத்தம், V-பருமன், T-வெப்பநிலை, μ-மோல்களின் எண்ணிக்கை, R - பொது வாயு மாறிலி, கொடுக்கப்பட்ட நிறை கொண்ட மூலக்கூறுக்கு சமன்பாடு (11.26)யை கீழ்க்கண்டவாறு எழுதலாம்.

நிறை m யை, மாறிலியாக வைத்தால், வாயுவின் அடர்த்தியானது, பருமனுக்கு எதிர்தகவில் மாறும்

சமன்பாடு (11.28) யை (11.27)ல் பொருந்தினால், கிடைப்பது

இங்கு c ஒரு மாறிலி.
சமன்பாடு (11.25) இல் கொடுக்கப்பட்ட காற்றில் ஒலியின் திசைவேகத்தை கீழ்க்காணுமாறு எழுதலாம்

மேற்கண்ட சமன்பாட்டிலிருந்து நாம் அறிவது,
(a) அழுத்தத்தின் விளைவு :
ஒரு நிலையான வெப்பநிலையில், அழுத்தம் மாறுபடும்போது, அடர்த்தியும் நேர்விகிதத்தில் மாறுகிறது; அதாவது (P/ρ) நிலையாக அமைகிறது. இதன் பொருள் நிலையான வெப்பநிலையில், ஒலியின் திசைவேகம் அழுத்தத்தை சாராதது. ஒரு மலையின் மேலும், கீழும் வெப்பநிலை சமமாக இருந்தால், ஒலியின் திசைவேகம் மாறாமல் இருக்கும். ஆனால் நடைமுறையில் மலையின் மேலும் கீழும் வெப்பநிலை சமமாக இருக்காது. எனவே, ஒலியின் திசைவேகமும் மாறுபட்டிருக்கும்.
(b) வெப்பநிலையின் விளைவு :

ஒலியின் திசைவேகம், வெப்பநிலையின் (கெல்வின் மதிப்பு) இருமடி மூலத்திற்கு நேர்தகவில் மாறுகிறது.
v0 என்பது 0°C அல்லது 273K இல் ஒலியின் திசைவேகம் v என்பது ஏதேனும் ஒரு வெப்பநிலை T இல் ஒலியின் திசைவேகம் எனவும் கொண்டால்,

0°Cல் ஒலியின் திசைவேகம் v0 = 331m s-1 என்பதால், ஏதேனும் ஒரு வெப்பநிலை t°C யில்
v = (331 + 0.60t) m s-1
ஒவ்வொரு 1°C வெப்பநிலை உயர்வுக்கும் ஒலியின் திசைவேகம் 0.61 ms-1 அதிகரிக்கிறது.
குறிப்பு: வெப்பநிலை அதிகரிக்கும் போது மூலக்கூறுகள் அக ஆற்றல் அதிகரிப்பால் வேகமாக அதிர்வுறும். எனவே திசைவேகம் அதிகரிக்கிறது.
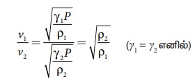
(c) அடர்த்தியின் விளைவு:
சம வெப்பநிலை, அழுத்தத்தில் உள்ள இரு வாயுக்களை கருதுக . அவற்றின் அடர்த்தி மட்டும் வெவ்வேறு என்க. அந்த இரு வாயுக்களின் வழியே ஒலியின் திசைவேகங்கள் முறையே,

மதிப்பு சமமான வாயுக்களுக்கு,

எனவே, வாயு ஒன்றின் வழியே ஒலியின் திசைவேகம் அடர்த்தியின் இருமடி மூலத்திற்கு எதிர்த்தகவில் அமைகிறது.
(d) ஈரப்பதத்தின் விளைவு (humidity):
ஈரப்பதம் உள்ள காற்றின் அடர்த்தி உலர்ந்த காற்றின் அடர்த்தியைப் போல் 0.625 மடங்கு ஆகும். அதாவது ஈரப்பதம், காற்றின் அடர்த்தியை குறைத்து விடுகிறது. எனவே, ஈரப்பதம் உள்ள காற்றில் ஒலியின் திசைவேகம் அதிகரிக்கிறது.
ρ1, v1 மற்றும் ρ2, v2 என்பவை முறையே உலர்ந்த காற்று, ஈரப்பரம் உள்ள காற்றின் அடர்த்தி மற்றும் ஒலியின் திசைவேகம் என்க.

P என்பது வளிமண்டல அழுத்தமாதலால் டால்டனின் பகுதிஅழுத்தவிதியின் படி (Dalton’s law of partial pressure) கீழ்க்கண்டவாறு எழுதலாம்.

இங்கு p1 , p2, முறையே உலர்ந்த காற்று மற்றும் நீராவியின் பகுதி அழுத்தங்கள்.

(e) காற்றின் விளைவு:
காற்று வீசுவதாலும் ஒலியின் திசைவேகம் மாறும். காற்றின் திசையில் ஒலி செல்லும்போது அதன் திசைவேகம் அதிகரிக்கிறது. காற்றிற்கு எதிர்த்திசையில் ஒலியின் திசைவேகம் குறைகிறது.
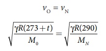
எடுத்துக்காட்டு 11.9
ஆக்சிஜன், நைட்ரஜனின் அடர்த்திகளின் தகவு 16:14. எந்த வெப்பநிலையில் ஆக்சிஜனில் செல்லும் ஒலியின் திசைவேகமானது, 17°C இல்நைட்ரஜனில் செல்லும் ஒலியின் திசைவேகத்திற்கு சமமாகும்?
தீர்வு:
சமன்பாடு (11.25) லிருந்து,

இங்கு, R - பொது வாயு மாறிலி, M - வாயுவின் மூலக்கூறு நிறை
17°C யில் நைட்ரஜனில் ஒலியின் வேகம்

இதேபோல் t°C யில் ஆக்சிஜனில் ஒலியின் வேகம்

இரு வாயுக்களுக்கும் ஒரே மதிப்பு. ஆதலால், மேலே (1) மற்றும் (2) யை சமப்படுத்த

இருபுறமும் இருமடியாக்கி (squaring) γ R யை நீக்கி, சரிசெய்ய,

ஆக்சிஜன், நைட்ரஜனின் அடர்த்திகளின் தகவு 16:14, எனவே ,

சமன்பாடு (5) ஐ (3)ல் பொருத்த
