அலைகள் (இயற்பியல்)
பயிற்சி கணக்குகள்
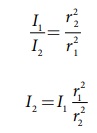
1. ஒர் ஊடகத்தில் ஒலியின் வேகம் 900 ms-1 ஊடகத்தில் ஓர் புள்ளியில் 2 நிமிடங்களில் கடக்கும் அலைகளின் எண்ணிக்கை 3000 எனில் அலைநீளத்தைக் காண்க?
விடை :
கொடுக்கப்பட்டவை
ஊடகத்தில் ஒலியின் வேகம் (v) = 900 ms-1
ஊடகத்தில் ஓர் புள்ளியில் கடக்கும் நேரம் = 2 நிமிடங்கள்
கடக்கும் அலைகளின் எண்ணிக்கை = 3000
அலைநீளம் (λ) = ? (λ = v/n)

λ = 36m
விடை: λ = 36 m
2. 2 மோல் ஹீலியம், 4 மோல் ஆக்சிஜன் கலந்த கலவையைக் கருதுக. இந்தக் கலவையில் 300K வெப்பநிலையில் ஒலியின் வேகத்தைக் காண்க.
கொடுக்கப்பட்டவை
ஹீலியம் (n1) - 2 மோல்
ஆக்ஸிஜன் (n2) - 4 மோல்
இதில் ஹீலியம் மற்றும் ஆக்ஸிஜன் கலவையாக உள்ளன.
கலவையின் வெப்பநிலை - 300K
ஒலியின் வேகம் V-?

3. கடலில் ஒரு கப்பல் சோனார் (SONAR) மூலம் ஒலி அலைகள் கடலின் கீழ்நோக்கி அனுப்புகிறது. கடலின் அடி கட்டத்தில் உள்ள ஒரு பாறையில் இந்த ஒலி அலைகள் எதிரொலிக்கப்பட்டு 3.5 ல் சோனாரை அடைகிறது. கப்பல் 100 km தொலைவைக் கடக்கும்போது மீண்டும் சைகைகளை கீழ்நோக்கி அனுப்புகிறது. அந்த சைகைகள் 2s ல் எதிரொலித்து சோனாரை அடைகிறது. இரண்டு இடங்களிலும் ஆழங்களை கண்டு பிடித்து, அவற்றின் வேறுபாட்டைக் காண்க.
கொடுக்கப்பட்டவை:
நீரில் சென்று எதிரொலிக்கப்பட்ட ஒலியின் கால அளவு (2t1) = 3.5s
எதிரொலிப்புக்கு பிறகு கடந்த தொலைவு = 100 km
மீண்டும் நீரில் சென்று எதிரொலிக்கப்பட்ட ஒலியின் கால அளவு (2t2) = 2s
ஆழங்களின் வேறுபாடு = ?
தீர்வு :
I முதல் ஒலியின் கால அளவு (t1)

I நீரில் சோனார் ஒலியின் திசைவேகம் (C) = 1533 ms-1
C = d/t (ie) d = C.t
முதல் ஒலியானது கடந்தத் தொலைவு (ஆழம்)
d1 = 1533 × 1.75
= 2682.75 m
2-வது ஒலியானது கடந்த தொலைவு (ஆழம்)
d2 = 1533 × 1
= 1533 m
iii) இரண்டு ஆழங்களுக்கு இடையே வேறுபாடு
d = d1 - d2
= 2682.75 - 1533 = 1149.75m
விடை : Δd = 1149.75 m
4. படத்தில் காட்டப்பட்டுள்ளவாறு உள்ள குழாயில் ஒலி அலை கடந்து செல்கிறது - ஒலி அலை Aல் இரண்டு அலைகளா பிரிகிறது. மீண்டும் Bல் ஒன்றாக சேர்கிறது. R என்பது அரை வட்டத்தின் ஆரம். B இல் ஒன்றாக சேரும் அலைகள் முதல் சிறுமத்தை ஏற்படுத்தினால் R ன் மதிப்பைக் காண்க. ஒலியின் அலைநீளம் 50.0m மீ என்க.

கொடுக்கப்பட்டவை
• குழாயில் செல்லும் ஒலி அலையானது A பகுதியில் இரண்டாக பிரிகிறது.
• B-ல் ஒன்றாக சேர்கிறது.
• R என்பது அரை வட்டத்தின் ஆரம் - ஒலியின் அலைநீளம் - 50 m
• முதல் சிறுமத்தை ஏற்படுத்தும் R-ன் மதிப்பு = ?
தீர்வு :
i) வளைவுப் பாதையின் வழியே செல்லும் ஒலி அலையின் நீளம் (L1) = πR..................(1)
ஒலி அலைகள் செல்லும் குழாய் AB பாதையின் நீளமானது, ஆரம் R ஏற்படுத்தும் வளைவின் விட்டத்திற்கு சமமாகும். (ie) ஒலி அலைகள் செல்லும் பாதையின் நீளம் (L2) = 2R.............(2)
ஒலி அலைகளின் பாதை வேறுபாடு ∆P = L1 - L2
= πR - 2 R
∆P = R(π - 2).................(3)
ii) நம் காதுகளால் உணரக்கூடிய ஒலி அலைகளின் பாதை வேறுபாடு ∆P = λ/2 ...................(4)
iii) சமன்பாடு (3) மற்றும் (4) லிருந்து,

எனவே ஆரம் R ன் மதிப்பு = 21.9 m ஆகும்.
விடை: R = 21.9 m
5. N இசைக்கவைகள் அவற்றின் அதிர்வெண்களின் ஏறு வரிசையில் வைக்கப்பட்டுள்ளன. அவை அதிரும்போது அடுத்தடுத்த இரு இசைக்கவைகள் ஏற்படுத்தும் விம்மல்கள் n என்க. கடைசி இசைக்கவை, முதல் இசைக்கவையின் அதிர்வெண்ணைப்போல் இருமடங்கு அதிர்வெண் பெற்றுள்ளது, எனில் முதல் இசைக்கவையின் f = (N-1)n. அதிர்வெண் எனக் காட்டுக.
கொடுக்கப்பட்டவை.
• இசைக்கவையின் எண்ணிக்கை = N
• N இசைக்கவைகள் அதிர்வெண்களின் ஏறு வரிசையில் உள்ளது.
• அடுத்தடுத்தடுத்த இரு இசைக்கவை ஏற்படுத்தும் விம்மல்கள் = n
• (முதல் இசைக்கவையின் அதிர்வெண்) = 2 × (கடைசி இசைக்கவையின் அதிர்வெண்)
தீர்வு :
f முதல் 2 f கடைசி
n வது உறுப்பை கண்டறியும் கணிதக் கோவையின் படி
an = a + (n - 1) d
(i.e) 2f = f + (N - 1) n
f = (N - 1) n
முதல் இசைக்கவையின் அதிர்வெண் f = (N - 1) n ஆகும்.
6. ஒலி மூலம் ஒன்று ஒலி அலையை உமிழ்கிறது. ஒர் புள்ளியில் இந்த அலையின் செறிவு (தொடக்கத்தில்) I என்க. ஒலியின் வீச்சு இரு மடங்காக்கப்பட்டு, அதிர்வெண் நான்கில் ஒரு பங்காக 1/4 குறைக்கப் படுகிறது எனக் கருதுக. மேலே கூறிய அதே புள்ளியில் புதிய ஒலிச்செறிவைக் காண்க.
• ஒலி அலையின் செறிவு = Iபழையது
• வீச்சு இருமடங்கு எனில் 2A = Aபுதியது
• அதிர்வெண் 4 இல் ஒரு பங்கு எனில் (1/4f) = fபுதியது
• புதிய ஒலிச்செறிவு Iபுதியது = ?
தீர்வு :


7. சமநீளமுடைய இரு ஆர்கான் குழாய்களில் ஒன்று மூடியது மற்றொன்று திறந்தது மூடிய குழாயின் அடிப்படை அதிர்வெண் 250Hz திறந்த குழாயின் அடிப்படை அதிர்வெண்ணைக் காண்க.
கொடுக்கப்பட்டவை :
• திறந்த ஆர்கன் குழாய் மற்றும் மூடிய ஆர்கன் குழாய்
• இரண்டும் சமநீளமுடையது.
• மூடிய குழாயின் அடிப்படை அதிர்வெண் = 250Hz
• திறந்த குழாயின் அடிப்படை அதிர்வெண் = ?
தீர்வு :
மூடிய ஆர்கன் குழாயின் அடிப்படை அதிர்வெண்
f1 = v/4l = 250 Hz
திறந்த ஆர்கன் குழாயின் அடிப்படை அதிர்வெண்

திறந்த ஆர்கன் குழாயின் அடிப்படை அதிர்வெண் = 500 Hz
விடை : 500Hz
8. சைரன் வைக்கப்பட்ட காவல் வாகனத்தில் 20ms-1 திசைவேகத்தில் செல்லும் காவலர் (Police), voms-1 வேகத்தில் கார் ஒன்றில் தப்பிச் செல்லும் திருடனைத்துரத்திச் செல்கிறார். காவல் வாகன சைரன் அதிர்வெண் 300Hz, இருவரும் நிலையாக இருந்து 400Hz அதிர்வெண் உடைய ஒலியை உமிழும் சைரன் நோக்கிச் செல்கிறார்கள் எனில் திருடனின் திசைவேகத்தைக் காண்.
கொடுக்கப்பட்டவை:
• சைரன் வைக்கப்பட்ட காவல் வாகனத்தில் செல்லும் காவலரின் திசைவேகம் Vs = 20ms-1
• காரில் செல்லும் திருடனின் திசைவேகம் Vo = Voms-1
• காவல் வாகன சைரன் அதிர்வெண் = 300Hz
• நிலையான மூலத்தின் அதிர்வெண் = 400Hz
• திருடனின் திசைவேகம் Vo = ?
தீர்வு :

விடை: vதிருடன் = 10 m s-1
9. கீழ்க்கண்ட தொடர்புகளைக் கருதுக.
a) y = x2 + 2 α tx
b) y = (x + vt)2
மேற்கண்டவற்றுள் எது அலையைக் குறிக்கிறது.
விடை :
அலைச்சமன்பாடு, y(x,t) = A sin (kx - ωt + Q)
a) y = x2 + 2α tx என்பது அலைச்சமன்பாட்டுடன் பொருந்தாதக் காரணத்தால் இச்சமன்பாடானது அலையைக் குறிக்கவில்லை.
b) y = (x + vt)2 என்பது அலைச்சமன்பாட்டுடன் பொருந்துவதால், இச்சமன்பாடானது அலையைக் குறிக்கிறது.
விடை (a) அலையைக் குறிக்கவில்லை (b) அலைச்சமன்பாட்டுடன் பொருந்துவதால் அலையைக் குறிக்கிறது.
கருத்துரு வினாக்கள்
1. வாயுவில் குறுக்கலைகள் ஏற்படாது ஏன்? திண்மத்திலும், நீர்மத்திலும் குறுக்கலைகள் ஏற்படுமா?
விடை:
குறுக்கலைகளானது அகடு மற்றும் முகடுகளாக பரவக்கூடியவை. எனவே, வடிவத்தை மாற்றிக் கொள்ளும் தன்மையுடன் அவ்வலைகள் பரவுகின்றன.
i) வாயுவானது, நெகிழ்வுத்தன்மையற்ற வடிவமைப்பு பெற்றுள்ளன. எனவே வாயுவில் குறுக்கலைகள் ஏற்படாது.
ii) நீர்மத்திலும், திண்மத்திலும் குறுக்கலைகள் ஏற்படும். ஏனெனில் திண்மம் மற்றும் நீர்மமானது நெகிழ்வு தன்மையுடைய வடிவமைப்பு பெற்றுள்ளன. எனவே குறுக்கலைகள் எளிதில் உருவாகும்.
2. நமது தேசிய விலங்கின் முழக்கம் அல்லது உறுமல் (roar) கொசு ஏற்படுத்தும் ஒலியிலிருந்து வேறுபடுகிறது ஏன்?
விடை:
i) நமது தேசிய (புலி) ஒலியானது (உறுமும்), குறைந்த சுருதி மற்றும் அதிக செறிவு (அல்லது) உரப்பு பெற்றுக் காணப்படும்.
ii) கொசு ஏற்படுத்தும் ஒலியானது, அதிக சுருதி மற்றும் குறைந்த செறிவு (அல்லது) உரப்பு பெற்று காணப்படும்.
3. மூலமும் கேட்பவரும் ஓய்வில் இருக்கும் போது, ஒரு வலிமையான காற்று வீசுகிறது. அதில் டாப்ளர் விளைவு உள்ளதா?
விடை:
மூலமும், கேட்பவரும் ஓய்வில் இருந்தாலும் வீசும் வலிமையான காற்றானது இயக்கத்தில் உள்ளதால் ஒரு ஒலி மூலமாக செயல்படுகிறது. எனவே டாப்ளர் விளைவு ஏற்படுகிறது.
4. காலியான அறையில் ஒரு ஒலி உரப்பாகவும் (louder) அதே ஒலி தட்டு முட்டுப் பொருள்கள், இருக்கைகள் உள்ள அறையில் உரப்பு குறைவாகவும் இருக்க காரணம் என்ன?
விடை:
ஒலி என்பது ஒரு வகை ஆற்றல் ஆகும்.
i) தட்டு, முட்டுப் பொருள்கள், இருக்கைகள் உள்ள அறையில் ஏற்படும் ஒலி (ஆற்றலானது) அப்பொருள்களால் உட்கவரப்படுகின்றன. எனவே ஒலி உரப்பு குறைவாக உள்ளது.
ii) காலியான அறைகளில் ஏற்படும் ஒலி (ஆற்றலானது) எந்தப் பொருட்களாலும் உட்கவரப்படுவது இல்லை. எனவே ஒலி உரப்பு அதிகமானதாகத் தோன்றும்.
5. சூறாவளி, கொந்தளிப்பு, புயல் ஆகியவை வரவிருப்பதை விலங்குகள் எவ்வாறு முன் கூட்டியே உணர்கின்றன?
விடை:
• ஒரு சில விலங்குகள் (நாய், பறவை போன்றன) குறைந்த அதிர்வெண் உடைய ஒலி அலைகளை உணரும் திறன் பெற்றவை.
• இவை நிலம், நீர், காற்று ஆகியவற்றில் ஏற்படும் அழுத்த மாறுபாடுகளை அறிந்து சூறாவளி, கொந்தளிப்பு, புயல் போன்ற இயற்கை பேரிடர்களை முன்கூட்டியே உணர்ந்து ஒலி எழுப்புகின்றன.
5. நீர் வரும் திறந்த குழாயின் அடியில் வைக்கப்பட்ட பாத்திரம் ஒன்று நிரம்ப இருப்பதை எவ்வாறு சற்று முன்னரே அறிய முடியுமா? காரணம் தருக.
விடை:
i) காற்றில் உருவாகும் ஒலியின் அதிர்வெண் அதன் நீளத்திற்கு எதிர்தகவில் அமையும்.
f α 1/L (காற்றில்)
ii) பாத்திரத்தில் நீரானது நிரம்ப, நிரம்ப காற்றில் அதனுடைய நீளமானது (l) குறையும். எனவே அதனோடு தொடர்புடைய ஒலியின் அதிர்வெண்ணும் (f) குறையும். இதனால் ஒலி குறைந்து ஒலிக்கும்.
iii) இந்த ஒலியின் சுருக்கத்தன்மையின் காரணமாக, பாத்திரத்தில் நீர் நிரம்ப இருப்பதை முன்னரே அறியலாம்.
தீர்க்கப்பட்ட எடுத்துக்காட்டு கணக்குகள்
தீர்க்கப்பட்ட எடுத்துக்காட்டு கணக்குகள் அலை இயக்கம்
எடுத்துக்காட்டு 11.1
கீழ்க்கண்டவற்றுள் எது அதிக அலைநீளம் உடையது?

விடை (c)
எடுத்துக்காட்டு 11.2
மூன்று அலைகள் கீழே காட்டப்பட்டுள்ளன

(a) அதிர்வெண்களை ஏறு வரிசையில் எழுது
(b) அலை நீளங்களை ஏறு வரிசையில் எழுது
விடை:
(a) fc < fa < fb
(b) λb < λa < λc
எடுத்துக்காட்டு 11.2 லிருந்து அதிர்வெண் ஆனது அலைநீளத்துடன் எதிர்தகவில் உள்ளது என அறிகிறோம் f ∝ 1/λ
பிறகு f λ எதற்குச் சமம்? (அதாவது f λ = ?)
தெரியாத இந்த இயற்பியல் அளவை அறிந்து கொள்ள எளிய பரிமாணப் பகுப்பாய்வு உதவுகிறது.
அலை நீளத்தின் பரிமாணம் [λ] = L
அதிர்வெண்
எனவே,

எனவே,

இங்கு, v என்பது அலையின் திசைவேகம் அல்லது கட்ட திசைவேகம் (phase velocity) எனப்படும். இது அலை முன்னேறிச் செல்லும் திசைவேகம் ஆகும். அலையின் திசைவேகம் என்பது 1 வினாடியில் அலை கடந்த தொலைவு ஆகும்.
குறிப்பு:
1. ஓரலகு நேரத்தில் சுழற்சிகளின் (சுற்றுக்களின்) எண்ணிக்கை கோண அதிர்வெண் எனப்படும். கோண அதிர்வெண் ω = 2π/T = 2πf (அலகு ரேடியன் வினாடி)
2. ஓரலகு நீளத்தில் சுழற்சிகளின் எண்ணிக்கை அல்லது ஓரலகு நீளத்தில் அலைகளின் எண்ணிக்கை அலை எண் எனப்படும்.
அலை எண் k = 2π/λ (அலகு ரேடியன் மீட்டர் )
திசைவேகம் v, கோண அதிர்வெண் ω மற்றும் அலைஎண் k ஆகியவற்றிற்கு இடையேயான தொடர்பு

எடுத்துக்காட்டு 11.3
மனிதனின் செவி உணரக்கூடிய ஒலியின் அதிர்வெண் இடைவெளி 20 Hz முதல் 20 kHz ஆகும். இந்த எல்லையில் ஒலி அலையின் அலைநீளத்தைக் கணக்கிடுக. (ஒலியின் திசைவேகம் 340 ms-1 எனக் கருதுக).
தீர்வு:

எனவே, ஒலியின் திசைவேகம் 340 ms-1 என்றால், செவியுணர் அலைநீள இடைவெளி 0.017m முதல் வரை உள்ளது?
எடுத்துக்காட்டு 11.4
கடல் அலையின் மீது வாத்து பொம்மை ஒன்று உள்ளதை மனிதன் ஒருவன் பார்க்கிறான். வாத்து நிமிடத்திற்கு 15 முறை மேலும் கீழும் இயங்குகிறது. தோராயமாக கடல் அலையின் அலைநீளம் 1.2 m என அவர் அளக்கிறார். வாத்து ஒருமுறை மேலே செல்வதற்கும் கீழே வருவதற்கும் ஆகும் நேரத்தையும், கடல் அலையின் திசைவேகத்தையும் காண்க.

தீர்வு
கொடுக்கப்பட்டது :
1 நிமிடத்தில் வாத்து பொம்மை மேலும் கீழும் இயங்கும் இயக்கங்களின் எண்ணிக்கை = 15 இந்தத் தகவலில் இருந்து அதிர்வெண் கிடைக்கிறது (1 வினாடியில் வாத்து மேலும் கீழும் இயங்கும் எண்ணிக்கை)

ஒரு நிமிடம் ஒரு நிமிடம் என்பது 60s எனவே, நேரத்தை வினாடியில் பொருத்த
ஒருமுறை வாத்து மேலும் கீழும் இயங்க ஆகும் நேரமே, அலைவுக்நேரமாகும். இது அதிர்வெண்ணுக்கு எதிர்த்தகவில் இருக்கும்

கடல் அலையின் திசைவேகம்
v = λf = 1.2 ×0.25 = 0.3 m s-1.
எடுத்துக்காட்டு 11.5
ஒருமுனை சுவரில் பொருத்தப்பட்ட கம்பி ஒன்றைக் கருதுவோம். படத்தில் காட்டப்பட்டுள்ள கீழ்க்கண்ட இரு சூழல்களிலும் (அலைகள் ஒரு வினாடியில் இந்த தொலைவைக் கடப்பதாகக் கருதுக)
a) அலைநீளம்,
b) அதிர்வெண்
c) திசைவேகம் ஆகியவற்றைக் கணக்கிடுக.

இதிலிருந்து நாம் அறிவது கம்பியில் ஏற்படும் அலையின் திசைவேகம் மாறிலி. அதிர்வெண் அதிகமாகும்போது, அலை நீளம் குறைகிறது. மறுதலைக்கும் (vice versa) இது பொருந்தும். அவற்றின் பெருக்குத் தொகையான திசைவேகம் நிலையாக (மாறாமல்) இருக்கிறது.
தீர்க்கப்பட்ட எடுத்துக்காட்டு கணக்குகள் வெவ்வேறு ஊடகங்களில் அலையின் திசை வேகம்
நீட்டப்பட்ட கம்பியில் ஏற்படும் குறுக்கலையின் திசைவேகம்
எடுத்துக்காட்டு 11.6
படத்தில் காட்டியபடி நீள் நிறை அடர்த்தி 0.25 kg m-1 கொண்ட கம்பியில் இயக்கத்தில் உள்ள துடிப்பின் திசைவேகம் காண்க. மேலும் துடிப்பு 30 cm யைக் கம்பியில் கடக்க எடுத்துக்கொள்ளும் நேரத்தையும் காண்க.

தீர்வு :
கம்பியின் இழுவிசை
T = m g = 1.2 × 9.8 = 11.76 N
ஓரலகு நீளத்திற்கான நிறை μ = 0.25 kg m-1
எனவே, அலைத்துடிப்பின் திசைவேகம்

30 செ.மீ தொலைவைக் கடக்க துடிப்பு எடுத்துக் கொள்ளும் நேரம்

இங்கு,
ms = மில்லி வினாடி
மீட்சித்தன்மை கொண்ட ஊடகத்தில் நெட்டலையின் திசைவேகம்
எடுத்துக்காட்டு 11.7
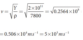
எஃகு கம்பி ஒன்றில் ஒலியின் திசைவேகத்தைக் கணக்கிடுக. எஃகின் யங்குணகம்
Y = 2 × 1011 N m-2 மற்றும் அடர்த்தி ρ = 7800 kg m-3.
தீர்வு:

எனவே நெட்டலைகள் திண்மத்தில், திரவம் அல்லது வாயுவை விட வேகமாக செல்கின்றன. ஆடு மேய்ப்பவன் ஆடுகளுடன் தொடர்வண்டி பாதையை கடக்கும் போது, தண்டவாளத்தில் காதை வைத்து கேட்பதன் காரணத்தை தற்போது புரிந்திருப்பீர்கள்.
எடுத்துக்காட்டு 11.8
ஒரு குறிப்பிட்ட பருமன் கொண்ட நீரின் அழுத்தத்தை 100kPa ஆக அதிகரிக்கும்போது பருமன் 0.005% குறைகிறது.
(a) நீரின் பருமக்குணகம் காண்க?
(b) நீரில் ஒலியின் (இறுக்கப்பட்ட அலைகள்) திசைவேகத்தைக் காண்க?
தீர்வு
(a) பருமக்குணகம்

தீர்க்கப்பட்ட எடுத்துக்காட்டு கணக்குகள் ஒலி அலையின் பரவல்
எடுத்துக்காட்டு 11.9
ஆக்சிஜன், நைட்ரஜனின் அடர்த்திகளின் தகவு 16:14. எந்த வெப்பநிலையில் ஆக்சிஜனில் செல்லும் ஒலியின் திசைவேகமானது, 17°C இல்நைட்ரஜனில் செல்லும் ஒலியின் திசைவேகத்திற்கு சமமாகும்?
தீர்வு:
சமன்பாடு (11.25) லிருந்து,

இங்கு, R - பொது வாயு மாறிலி, M - வாயுவின் மூலக்கூறு நிறை
17°C யில் நைட்ரஜனில் ஒலியின் வேகம்

இதேபோல் t°C யில் ஆக்சிஜனில் ஒலியின் வேகம்

இரு வாயுக்களுக்கும் ஒரே மதிப்பு. ஆதலால், மேலே (1) மற்றும் (2) யை சமப்படுத்த

இருபுறமும் இருமடியாக்கி (squaring) γ R யை நீக்கி, சரிசெய்ய,

ஆக்சிஜன், நைட்ரஜனின் அடர்த்திகளின் தகவு 16:14, எனவே ,

சமன்பாடு (5) ஐ (3)ல் பொருத்த

தீர்க்கப்பட்ட எடுத்துக்காட்டு கணக்குகள் ஒலி அலைகளின் எதிரொலிப்பு
எடுத்துக்காட்டு 11.10
மனிதன் ஒருவன், ஒரு மலை உச்சியிலிருந்து குறிப்பிட்ட தொலைவில் நின்று கொண்டு கைதட்டுகிறான். 4s கழித்து மலை உச்சியிலிருந்து அந்த கைத்தட்டலின் எதிரொலியை கேட்கிறான். ஒலியின் சராசரி திசைவேகம் 343 ms-1. எனில், மனிதனிடமிருந்து மலை உச்சியின் தொலைவைக் காண்க.
தீர்வு:
ஒலி எடுத்துக் கொள்ளும் நேரம் 2t = 4 ⇒ t = 2 s
தொலைவு d = vt =(343 m s-1)(2 s) = 686 m.
தீர்க்கப்பட்ட எடுத்துக்காட்டு கணக்குகள் முன்னேறு அலை அல்லது இயங்கும் அலை
எடுத்துக்காட்டு 11.11
வெவ்வேறு a மதிப்புகளுக்கு y = x −a என்ற கோட்டினை வரைக.
தீர்வு :

இதிலிருந்து நாம் அறிவது, a மதிப்பை அதிகரிக்கும் போது, கோடானது வலப்பக்கம் நகர்கிறது. a = vt, y = x − vt வகைக்கெழு சமன்பாட்டிற்கு பொருந்துகிறது. இந்த சார்பு, வகைக்கெழு சமன்பாட்டிற்கு பொருந்தினாலும், இது x மற்றும் t க்கான அனைத்து மதிப்புகளுக்கும் நிலையாக இல்லை. எனவே, இது அலையை குறிக்கவில்லை. எனவே, இந்தச் சார்பு ஒரு அலையைக் குறிக்கவில்லை.
எடுத்துக்காட்டு 11.12
y = sin(x − a) f என்ற அலை a = 0, a = π/4, a = π/2, a = 3π/2, மற்றும் a = π என்ற மதிப்புகளுக்கு எவ்வாறு இருக்கிறது என வரைபடங்கள் மூலம் காட்டுக.
தீர்வு :

மேற்கண்ட படங்களிலிருந்து நாம் அறிவது y = sin (x−a) ; a = 0, a = π/4, a = π/2, a = 3π/2 , a = π, க்கு வரையப்பட்டுள்ளது. y = sin (x−a) ஆனது வலப்பக்கம் நகர்கிறது.
மேலும் a = vt மற்றும் v = π/4, என எடுத்துக்கொண்டு t = 0s, t = 1s, t = 2s எனப் பொருத்தி வரைபடம் வரைந்தால், மீண்டும் y = sin(x−vt) வலப்பக்கம் நகர்கிறது. எனவே, y = sin(x−vt) என்பது ஒரு பயணிக்கும் அல்லது முன்னேறு அலை. இது வலப்பக்கம் நகர்கிறது.
y = sin(x+vt) எனக் கொண்டால் முன்னேறு (பயணிக்கும்) அலை இடப்பக்கம் நகர்கிறது. இதனால் சார்பு y = f(x−vt) என்பது அலை வலப்பக்கம் நகர்வதையும், சார்பு y = f(x+vt) என்பது அலை இடப்பக்கம் நகர்வதையும் குறிக்கிறது.
எடுத்துக்காட்டு 11.13
அலை y = sin(x-vt) யை பரிமாணப் பகுப்பாய்வு மூலம் சரிபார். பரிமாண முறையில் தவறு எனில் மேற்கண்ட சமன்பாட்டை சரியான முறையில் எழுது.
தீர்வு :
பரிமாண முறையில் தவறு y = sin(x-vt) என்பது பரிமாணமற்ற அளவாக அமைய வேண்டும். ஆனால், x-vt சரியான சமன்பாடு y = sin (kx-wt), இங்கு k ன் பரிமாணம், நீளத்தின் பரிமாணத்தின் தலைகீழாக இருக்கும்; ω வின் பரிமாணங்கள் நேரத்தின் பரிமாணம் தலைகீழாக இருக்கும். சைன் சார்பும், கொசைன் சார்பும் சீரான நேர முறையில் மாறும் சார்பு. இங்கு நேரம் 2π யாக உள்ளது. எனவே சரியான தொடர்பு y = sin ([2π/λ]x, [2π/T]t) இங்கு λ மற்றும் T முறையே அலைநீளம், அலைவுநேரம். பொதுவாக y(x,t)=A sin(k x−ωt).

எடுத்துக்காட்டு 11.14
இரு அலைகளின் அலைநீளங்கள் முறையே λ1 = 1m, λ2 = 6m எனில் அவற்றின் அலை எண்களைக் காண்க.
தீர்வு :

எடுத்துக்காட்டு 11.15
ஒரு கைபேசி 900MHz அதிர்வெண் உடைய சைகைகளை வெளிவிடுகிறது. கை பேசி கோபுரம் மூலம் வெளிவிடும் அலையின் அலை நீளம் காண்.
தீர்வு:
அதிர்வெண், f = 900 MHz = 900 ×106 Hz
அலையின் வேகம் c = 3 × 108m s-1

தீர்க்கப்பட்ட எடுத்துக்காட்டு கணக்குகள் மேற்பொருந்துதல் தத்துவம்
அலைகளின் குறுக்கீட்டு விளைவு
எடுத்துக்காட்டு 11.16
படத்தில் காட்டியபடி A, B என்ற இரு மூலங்களைக் கருதுக. இரு மூலங்களும் ஒத்த அதிர்வெண்ணும், வேறுபட்ட வீச்சுகளும் அடைய இரு சீரிசை அலைகளை ஒத்த கட்டத்தில் வெளிவிடுகின்றன. O என்பது ஏதேனும் ஒரு புள்ளி இது கீழ்க்கண்ட படத்தில் காட்டியவாறு மூலங்கள் A,B யை இணைக்கும் கோட்டை இரு சமக்கூறாக்குகிறது. O,Y,X புள்ளிகளில் செறிவுகளைக் காண்க.

தீர்வு :
OA, OB சமநீளம் உடையது. எனவே A, B யிலிருந்து கிளம்பும் அலைகள் சம் தொலைவைக் (சம பாதை நீளங்கள்) கடந்து O வில் சந்திக்கின்றன. எனவே, O வில் இரு அலைகளுக்கிடையேயான பாதை வேறுபாடு சுழி.
OA - OB = 0
இரு அலைகளும் O வில் ஒத்தக் கட்டத்தில் சந்திப்பால், அவற்றிக்கிடையேயான கட்ட வேறுபாடு சுழியாகிறது. எனவே O வில் இரு அலைகளுக்கிடையேயான பாதை வேறுபாடு சுழியாவதால் செறிவு பெருமமாகும்
Y புள்ளியைக் கருதுக. பாதை வேறுபாடு λ வாக இருந்தால், Y ல் கட்ட வேறுபாடு

எனவே, Y ல் சந்திக்கும் இரு அலைகளும் ஒத்தக்கட்டத்தில் உள்ளதால், செறிவு பெருமமாக இருக்கும்.
X புள்ளியைக் கருதுக. பாதை வேறுபாடு λ/2 வாக இருந்தால் கட்ட வேறுபாடு

எனவே, X ல் சந்திக்கும் அலைகள் எதிர்க்கட்டத்தில் உள்ளதால், செறிவு சிறுமமாக இருக்கும்.
எடுத்துக்காட்டு 11.17
C, E என்ற இரு ஒலிப்பான்கள் (Speakers) 5 m இடைவெளியில் பிரித்து வைக்கப்பட்டு, ஒரே ஒலி மூலத்துடன் இணைக்கப்பட்டுள்ளன. C, E ன் மையம் O விலிருந்து 10m தொலைவிலுள்ள புள்ளி A ல் மனிதன் ஒருவன் நின்று கொண்டுள்ளான். A யிலிருந்து 1m தொலைவிலுள்ள B என்ற புள்ளிக்கு (OC க்கு இணையாக) நடந்து செல்கிறான் (படத்தில் காட்டியவாறு) B ல் ஒலிகளின் முதல் சிறுமத்தை உணர்கிறான். ஒலி மூலத்தின் அதிர்வெண்ணைக் காண்க. (ஒலியின் திசைவேகம் 343 ms-1 எனக் கொள்க).

தீர்வு:

B யில் இரு ஒலி அலைகளும் 180° (எதிர்கட்டம்) ல் சந்தித்தால், முதல் சிறுமம் ஏற்படும்.
பாதை வேறுபாடு ∆x = λ/2.
பாதை வேறுபாட்டைக்காண பாதை நீளங்கள் x1, x2 வைக் காண வேண்டும்.
செங்கோண முக்கோணம் BDC ல்,

செங்கோண முக்கோணம் EFB ல்,

பாதை வேறுபாடு ∆x = x2 − x1 = 10.6 m−10.1 m = 0.5 m இந்த பாதை வேறுபாடு λ/2 விற்கு சமமாக வேண்டும்.

ஒலி மூலத்தின் அதிர்வெண் காண,

எடுத்துக்காட்டு 11.18:
5 m, 6 m அலைநீளம் கொண்ட இரண்டு ஒலி மூலங்களைக் கருதுக. இவை இரண்டும் வாயு ஒன்றில் 330 ms-1. திசைவேகத்துடன் செல்கின்றன. ஒரு வினாடியில் ஏற்படும் விம்மல்களின் எண்ணிக்கையை காண்க.
தீர்வு :
கொடுக்கப்பட்டது, λ1 = 5m, λ2 = 6m v = 330 ms-1 திசை வேகத்திற்கும் அலைநீளத்திற்கு இடையேயானத் தொடர்பு
v = λf => f = v/λ
λ1 அலைநீள ஒலியின் அதிர்வெண்

λ2 அலைநீள ஒலியின் அதிர்வெண்

ஒரு வினாடியில் ஏற்படும் விம்மல்கள்
| f1 − f2| = |66 − 55| = 11 விம்மல்கள்/வினாடி (beats/sec)
எடுத்துக்காட்டு 11.19
அதிர்வுறும் இரு இசைக்கவைகள் தோற்றுவிக்கும் அலைகளின் அலைச் சமன்பாடுகள் y1 = 5 sin(240π t) and y2 = 4 sin(244πt) தோன்றும் விம்மல்களின் எண்ணிக்கையை கணக்கிடுக.
தீர்வு:
கொடுக்கப்பட்டது y1 = 5 sin(240π t), y2 = 4 sin(244πt) இச்சமன்பாடுகளை, பொதுச்சமன்பாடு
y = A sin(2π f1t), உடன் ஒப்பிட
2πf1 = 240π ⇒ f1 = 120Hz
2πf2 = 244π ⇒ f2 = 122Hz
ஒரு வினாடியில் ஏற்படும் விம்மல்களின் எண்ணிக்கை
| f1 − f2| = |120 − 122| = |− 2| =2 விம்மல்கள்/வினாடி (beats/sec)
தீர்க்கப்பட்ட எடுத்துக்காட்டு கணக்குகள் நிலையான அலைகள்
எடுத்துக்காட்டு 11.20
அடுத்தடுத்த எதிர்க்கணு, கணுவிற்கு இடைப்பட்ட தொலைவைக் கணக்கிடுக.
தீர்வு :
nவது கணுவிற்கு, அடுத்தடுத்த எதிர்க்கணு, கணுவிற்கு இடையேயான தொலைவு

எடுத்துக்காட்டு 11.21
f என்பது கம்பியின் அடிப்படை அதிர்வெண் என்க. கம்பியை l1, l2, l3 நீளம் கொண்ட மூன்று | பகுதிகளாக பிரிக்கும்போது, f1, f2 மற்றும் f3, என்பன முறையே மூன்று பகுதிகளின் அடிப்படை அதிர்வெண்கள் என்க. எனில்
என நிறுவுக.
தீர்வு:
ஒரு குறிப்பிட்ட இழுவிசை T, நீள் நிறை µ (ஓரலகு நீளத்திற்கான நிறை)க்கு, அதிர்வெண், அதிர்வுறும் கம்பியின் நீளத்திற்கு l எதிர்த்தகவில் இருக்கும்.

முதல் அதிர்வுறும் கம்பிக்கு,

இரண்டாவது அதிர்வுறும் கம்பிக்கு,

மூன்றாவது அதிர்வுறும் கம்பிக்கு

ஃமொத்த நீளம்

எடுத்துக்காட்டு 11.22
கிட்டார் இசைக்கருவியிலுள்ள கம்பியின் நீளம் 80 cm, நிறை 0.32 கிராம், இழுவிசை 80 N எனில், ஏற்படும் முதல் நான்கு குறைவான அதிர்வெண்களைக் காண்க.
தீர்வு :
அலையின் திசைவேகம்

கம்பியின் நீளம் L = 80 cm = 0.8m
கம்பியின் நிறை, m = 0.32 g = 0.32 × 10-3kg
எனவே, நீள்நிறை

கம்பியின் இழுவிசை, T = 80 N

அடிப்படை அதிர்வெண் f1 க்கான அலைநீளம் λ1 = 2L = 2 × 0.8 = 1.6 m
அலைநீளம் λ1, விற்கான, அடிப்படை அதிர்வெண்

இதேபோல், இரண்டாவது சீரிசைக்கான, 3 வது 4 வது சீரிசைக்கான அதிர்வெண்கள்
f2 = 2f1 = 559 Hz
f3 = 3f1 = 838.5 Hz
f4 = 4f1 = 1118 Hz
தீர்க்கப்பட்ட எடுத்துக்காட்டு கணக்குகள் செறிவு மற்றும் உரப்பு
எடுத்துக்காட்டு 11.23
நாயைப் பார்த்து அழும் குழந்தையின் அழுகுரலை 3.0 m தொலைவிலிருந்து கேட்கும்போது ஒலிச்செறிவு 10-2 Wm-2. குழந்தையின் அழுகுரலை 6.0m தொலைவிலிருந்து கேட்கும்போது ஒலிச்செறிவு எவ்வளவாக இருக்கும்.
தீர்வு:
I1, என்பது 3.0 m தொலைவில் உள்ள ஒலிச்செறிவு என்க. அதன் மதிப்பு
10-2 W m-2
I2 என்பது 6.0 m தொலைவில் உள்ள ஒலிச்செறிவு என்க .
r1 = 3.0 m,
r2 = 6.0 m
எனவே, 
வெளியீடு திறன் கேட்பவரை பொறுத்தது அல்ல, குழந்தையை மட்டுமே பொறுத்தது.

I2 = 0.25 × 10-2 W m-2
எடுத்துக்காட்டு 11.24
ஒலித்துக் கொண்டுள்ள இசைக்கருவி ஒன்றின் ஒலி மட்டம் 50 dB. மூன்று ஒத்த இசைக்கருவிகள் இணைந்து ஒலிக்கும் போது, தொகுபயன் செறிவைக் காண்.
தீர்வு:

மூன்று இசைக்கருவிகள் இணைந்து ஒலிப்பதால்,

தீர்க்கப்பட்ட எடுத்துக்காட்டு கணக்குகள் காற்று தம்பத்தின் அதிர்வு
எடுத்துக்காட்டு 11.25
புல்லாங்குழல் ஒன்று ஏற்படுத்தும் ஒலியின் அதிர்வெண் 450Hz இரண்டாவது, மூன்றாவது, நான்காவது சீரிசைகளின் அதிர்வெண்களைக் காண்க. கிளாரினெட் ஒன்று ஏற்படுத்து ஒலியின் அதிர்வெண்ணும் 450Hz எனில் முதல் மூன்று சீரிசைகளின் அதிர்வெண்கள் யாவை?
தீர்வு:
புல்லாங்குழல் என்பது திறந்த ஆர்கன் குழாய். எனவே,
2 வது சீரிசை f2 = 2 f1 = 900 Hz
3 வது சீரிசை f3 = 3 f1 = 1350 Hz
4 வது சீரிசை f 4 = 4 f1 = 1800 Hz
கிளாரினெட் என்பது மூடிய ஆர்கன் குழாய்
2வது சீரிசை f 2 = 3 f1 = 1350 Hz
3வது சீரிசை f 3 = 5 f1 = 2250 Hz
4வது சீரிசை f4 = 7 f1 = 3150 Hz
எடுத்துக்காட்டு 11.26
மூடிய ஆர்கன் குழாயில் 3 வது சீரிசையின் அதிர்வெண் திறந்த ஆர்கன் குழயில் ஏற்படும் அடிப்படை அதிர்வெண்ணுக்கு சமம் எனில், திறந்த குழாயின் நீளம் காண்க. மூடிய குழாயின் நீளம் 30 cm எனக் கொள்க.
தீர்வு:
l2 என்பது திறந்த ஆர்கன் குழாயின் நீளம் என்க. l2 = 30 cm என்பது மூடிய ஆர்கன் குழாயின் நீளம். கொடுக்கப்பட்ட மூடிய ஆர்கன் குழாயின் 3 வது சீரிசையானது திறந்த ஆர்கன் குழாயின் அடிப்படை அதிர்வெண்ணுக்கு சமம்.
மூடிய ஆர்கன் குழாயின் 3 வது சீரிசை

திறந்த ஆர்கன் குழாயின் அடிப்படை அதிர்வெண்

எடுத்துக்காட்டு 11.27
1.0 m உயரம் உடைய குழாயின் மேலே 343 Hz அதிர்வெண்ணில் அதிர்வுறும் ஒரு அதிர்வு இயற்றி வைக்கப்படுகிறது. ஒரு நீர் ஏற்றி (Pump) மூலம் குழாயில் நீர் விழச் செய்யப்படுகிறது. குழாயில் ஏறும் நீரின் எந்த சிறும் உயரத்திற்கு ஒத்ததிர்வு ஏற்படும்? (காற்றில் ஒலியின் திசைவேகம் 343 ms-1)
தீர்வு:
அலைநீளம் 
ஒத்ததிர்வும் நீளங்கள் L1, L2, மற்றும் L3 என்க. இதிலிருந்து முதல் ஒத்ததிர்வு நீளம் L1

இரண்டாவது ஒத்ததிர்வு L2 நீளத்தில் ஏற்படுகிறது எனில்

மூன்றாவது ஒத்ததிர்வு ஏற்படும் நீளம் L3

மேலும் இதேபோன்று மற்ற ஒத்ததிர்வுகளும் நிகழும். குழாயின் மொத்த நீளம் 10 m, எனவே, 3,4,5 வது அதிர்வுகள் ஏற்பட வாய்ப்பில்லை
எனவே, சிறும உயரம்
Hmin = 1.0 m − 0.75 m = 0.25 m
எடுத்துக்காட்டு 11.28
மாணவன் ஒருவன் ஒத்ததிர்வு தம்பக் கருவியை பயன்படுத்தி காற்றில் ஒலியின் திசைவேகம் காணும் ஆய்வை செய்கிறான். அடிப்படை அதிர்வு நிலையில் காற்று தம்பத்தின் ஒத்ததிர்வு நீளம் 0.2m அதே இசைக்கவையை பயன்படுத்தி, காற்று தம்ப நீளத்தை மாற்றும்போது முதல் மேற்சுரம் 0.7m. ல் ஏற்படுகிறது. முனைத்திருத்தத்தைக் காண்க.
தீர்வு:
முனைத்திருத்தம்

எடுத்துக்காட்டு 11.29
ஒத்ததிர்வு காற்று தம்ப கருவியில் ஒரு இசைக்கவையை பயன்படுத்தி காற்று தம்பத்தில ஒத்ததிர்வுகள் ஏற்படுத்தப்படுகிறது. கண்ணாடிக் குழாயிலான இக்கருவியில் அதன் நீளமானது ஒரு பிஸ்டன் மூலம் மாற்றப்படுகிறது. அறை வெப்பநிலையில் இரு அடுத்தடுத்த ஒத்ததிர்வுகள் 20 cm மற்றும் 85 cm களில் ஏற்படுகிறது. காற்றுத் தம்பத்தின் அதிர்வெண் 256 Hz. அறை வெப்பநிலையில் காற்றில் ஒலியின் திசைவேகம் காண்க.
தீர்வு:
அடுத்தடுத்த ஒத்ததிர்வு நீளங்கள்
L1 = 20 cm மற்றும் ,L2 = 85 cm
அதிர்வெண் f = 256 Hz
v = f λ = 2f∆L = 2f (L2 − L1)
= 2 × 256 × (85 − 20) × 10−2 m s−1
v = 332.8 ms−1
தீர்க்கப்பட்ட எடுத்துக்காட்டு கணக்குகள் டாப்ளர் விளைவு
எடுத்துக்காட்டு 11.30
கேட்பவரிடமிருந்து விலகி மலை ஒன்றை நோக்கிச் செல்லும் ஒலி மூலம் உமிழும் ஒலியின் அதிர்வெண் 1500 Hz, ஒலி மூலத்தின் திசைவேகம் 6 ms-1
(a) மூலத்திலிருந்து நேரடியாக வரும் ஒலியின் அதிர்வெண்ணைக் காண்க.
(b) காற்றில் ஒலியின் திசைவேகம் 330 ms-1 எனக் கருதி மலையிலிருந்து எதிரொலித்து வரும் ஒலியின் அதிர்வெண்ணைக் காண்க.
தீர்வு:
(a) ஓய்விலுள்ள கேட்குநரிடமிருந்து விலகிச் செல்லும் மூலம்; எனவே, மூலத்திலிருந்து நேரடியாக வரும் ஒலியை உணரும் கேட்குநருக்கு அதிர்வெண்.

(b) மலையிலிருந்து எதிரொலித்து வரும் ஒலி கேட்குநரை அடையும்போது

எடுத்துக்காட்டு 11.31
கேட்பவர் ஒருவர் தொடர்வண்டி நிலைய நடை மேடையில் நின்று கொண்டு இரண்டு தொடர் வண்டிகளை நோக்குகிறார். ஒன்று நிலையத்தை நோக்கியும், மற்றொன்று நிலையத்திலிருந்து வெளிநோக்கியும் சம திசைவேகம் 8 ms-1 ல் செல்கின்றன. இரண்டு தொடர் வண்டிகளும் வெளியிடும் விசில்களின் அதிர்வெண் 240 Hz எனில், கேட்பவர் உணரும் விம்மல்களின் எண்ணிக்கை யாது?
தீர்வு :
கேட்பவர் ஓய்வில் உள்ளார்
(i) மூலம் (தொடர்வண்டி) கேட்குநரை நோக்கி இயங்குகிறார்:
கேட்டுணர் அதிர்வெண்

(ii) மூலம் (தொடர்வண்டி) கேட்குநரிடமிருந்து விலகிச் செல்லும்போது:
கேட்டுணர் அதிர்வெண்

விம்மல்களின் எண்ணிக்கை
