வெவ்வேறு ஊடகங்களில் அலையின் திசை வேகம்
நீண்ட தண்டவாளத்தில் சுத்தியலால் அடிக்கும் போது, சற்று தொலைவில் தண்டவாளத்தில் காது வைத்து கேட்கும் போது இரு ஒலிகள் (ஒரே கணத்தில் அல்ல) கேட்கும். தண்டவாளத்தின் வழியாக (திண்ம ஊடகம்) கேட்கும் ஒலி முன்பாகவும், காற்றின் வழியே கேட்கும் அதே ஒலி சற்று தாமதமாகவும் கேட்கும். எனவே, வெவ்வேறு ஊடகங்களில் ஒலியின் திசைவேகம் ஒன்றல்ல.
இந்த பகுதியில், அலைகளின் திசைவேகத்தை இரு வேறு நிலைகளில் வருவிப்போம்:
1. நீட்டப்பட்ட கம்பியில் ஏற்படும் குறுக்கலைகளின் திசைவேகம்
2. மீட்சித்தன்மை கொண்ட ஊடகத்தில் நெட்டலைகளின் திசைவேகம்
1. நீட்டப்பட்ட கம்பியில் ஏற்படும் குறுக்கலையின் திசைவேகம்
கம்பி ஒன்றில் இயங்கும் குறுக்கலையின் திசைவேகத்தை கணக்கிடுவோம். கம்பியின் இடது முனையை மேல்நோக்கி சொடுக்கினால், அந்த துடிப்பு வலது முனை நோக்கி v என்ற திசைவேகத்தில் பொருள் ஓய்வு நிலையில் உள்ள குறிப்பாயத்தில் உள்ள பார்வையாளரைப் பொருத்து, நகர்கிறது.

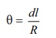
படம் 11.15 ல் காட்டியவாறு கம்பியில் ஒரு அடிப்படைப் பகுதியைக் கருதுவோம். கம்பியில் A, B என்ற புள்ளிகளை இக்கணத்தில் கருதுவோம். dI, dm என்பது கம்பியின் சிறுபகுதி நீளம் மற்றும் நிறை என்போம். வரையறையின்படி நீள் நிறை அடர்த்தி (μ) ஆனது பின்வருமாறு எழுதப்படுகிறது.

படத்தில் காட்டியவாறு அடிப்படை பகுதி AB ஆனது வட்டத்தின் ஒரு பகுதி போல், O வை மையமாக கொண்டு R ஆரத்துடன் வளைந்து கோணம் θ வை வளைகோடு மையம் O வில் ஏற்படுத்துகிறது. θ வை வளைகோடு AB ன் நீளம் dl மற்றும் ஆரம் R யைப் பயன்படுத்தி பின்வருமாறு எழுதலாம்.

கம்பியின் இழுவிசை தரும் மையநோக்கு முடுக்கம் (எண்மதிப்பு)

மைய நோக்கு விசை

சமன்பாடு (11.6) லிருந்து,

இழுவிசை T ஆனது, கம்பியின் சிறுபகுதி நீளம் AB யின் தொடுகோட்டின் வழியே செயல்படுகிறது. வளைகோடு AB யின் நீளம் மிகச்சிறியது. எனவே இழுவிசை T யில் ஏற்படும் மாறுபாடு புறக்கணிக்கத்தக்கது.
இழுவிசையை T யை கிடைமட்டக்கூறு Tcos(θ/2) மற்றும் செங்குத்துக்கூறு T sin(θ/2) என இரு கூறுகளாகப் பகுக்கலாம். A, B யில் கிடைமட்டக் கூறுகள் சம எண்மதிப்பில் எதிர்திசையில் செயல்படுகின்றன. எனவே, அவை ஒன்றை ஒன்று சமன் செய்கின்றன. நீளம் AB யை மிகச்சிறியதாக கருதுவதால், செங்குத்துக்கூறுகள் A, B யில் செங்குத்து திசையில் வளைவின் மையம் நோக்கி இருப்பதால் அவற்றைக் கூட்ட வேண்டும். தொகுபயன் ஆர விசை Fr ஆனது

கம்பியின் நீளத்துடன் ஒப்பிட, அலையின் வீச்சு மிகச்சிறியது. எனவே, sin(θ/2)≈ θ/2. எனவே,

ஆனால், θ = dl/R, எனவே நாம் பெறுவது

நியூட்டனின் இரண்டாவது விதியை கம்பியின் சிறுபகுதி நீளத்திற்கு ஆர வழியே செயல்படுத்த, சமநிலையில் விசையின் ஆரத்திசை கூறு (radial), மைய நோக்கு விசைக்கு சமமாகும். சமன்பாடு (11.9) மற்றும் (11.12) ஐ சமப்படுத்த, கிடைப்பது

காட்சிப்பதிவுகள் :
• கம்பியில் ஏற்படும் அலையின் திசைவேகம்
அ இழுவிசையின் இருமடி மூலத்திற்கு நேர்த்தகவிலும்
ஆ நீள் நிறை அடர்த்தி (linear mass density) யின் இருமடி மூலத்திற்கு எதிர்த்தகவிலும்
இ அலை வடிவத்தைச் சாராமலும் அமையும்
எடுத்துக்காட்டு 11.6
படத்தில் காட்டியபடி நீள் நிறை அடர்த்தி 0.25 kg m-1 கொண்ட கம்பியில் இயக்கத்தில் உள்ள துடிப்பின் திசைவேகம் காண்க. மேலும் துடிப்பு 30 cm யைக் கம்பியில் கடக்க எடுத்துக்கொள்ளும் நேரத்தையும் காண்க.

தீர்வு :
கம்பியின் இழுவிசை
T = m g = 1.2 × 9.8 = 11.76 N
ஓரலகு நீளத்திற்கான நிறை μ = 0.25 kg m-1
எனவே, அலைத்துடிப்பின் திசைவேகம்

30 செ.மீ தொலைவைக் கடக்க துடிப்பு எடுத்துக் கொள்ளும் நேரம்

இங்கு,
ms = மில்லி வினாடி
2. மீட்சித்தன்மை கொண்ட ஊடகத்தில் நெட்டலையின் திசைவேகம்
நீண்ட உருளை வடிவக் குழாயில் குறுக்குவெட்டுப்பரப்பு A, நிலையான நிறை கொண்ட மீட்சித் தன்மை ஊடகம் (இங்கு காற்றைக் கருதுக) P அழுத்தத்தில் உள்ளது என்க. இந்தக் குழாயில் நெட்டலைகளை ஓர் இசைக்கவையை அதிர வைத்தோ, பிஸ்டன் ஒன்றைக் கொண்டு காற்றை அழுத்தியோ ஏற்படுத்தலாம். உருளையின் அச்சுக்கு Δ இணையாக அலை முன்னேறுவதாகக் கொள்க.

ஆரம்பத்தில் ஓய்வில் உள்ள ஊடகத்தின் அடர்த்தி ρ என்க. t = 0 நேரத்தில் பிஸ்டன் இடது முனையிலிருந்து, u திசைவேகத்துடன் வலது முனைநோக்கி நகர்கிறது.
v என்பது மீட்சி அலையின் திசைவேகம் u மற்றும் பிஸ்டனின் திசைவேகம் என்க. Δt நேர இடைவெளியில் பிஸ்டன் நகரும் தூரம் ∆d = u∆t. மீட்சித் தன்மை கொண்ட மாறுபாடு நகர்ந்த தொலைவு ∆x = v∆t.
Δt நேர இடைவெளியில் v திசைவேகத்தை அடைந்த காற்றின் நிறை ∆m என்க.
∆m = ρ A∆x = ρ A (v ∆t)
பிஸ்டன் u என்ற திசைவேகத்தில் இயங்குவதால் ஏற்படும் உந்தம்
∆p = [ρ A (v t)]u.
கணத்தாக்கு என்பது உந்தமாறுபாடு என்பதால், நிகர கணத்தாக்கு

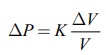
காற்றின் வழியாக, ஒலி அலை செல்லும்போது, சிறிய பருமன் உடைய காற்றுப்பகுதி, தொடர்ந்து இறுக்கங்களுக்கும், தளர்ச்சிகளுக்கும் உட்படுகிறது.

இங்கு, V என்பது காற்றின் தொடக்க பருமன் மற்றும் K என்பது மீட்சி ஊடகத்தின் பருமக்குணகம் (Bulk modulus).
ஆனால் V = A ∆x = A v ∆t and
மேலும் ∆V = A ∆d =A u ∆t
எனவே,

சமன்பாடு (11.14) யும் சமன்பாடு (11.15) யும் ஒப்பிட கிடைப்பது,
அல்லது

பொதுவாக, மீட்சி ஊடகத்தில் நெட்டலையின் திசைவேகம் v = √E/√P,
இங்கு, E ஊடகத்தின் மீட்சிக்குணகம் (Modulus of elasticity).
நேர்வுகள்: திண்மத்திற்கு :
i. ஒரு பரிமாண தண்டு (1 dimensional rod):

இங்கு, Y என்பது தண்டுச் செய்யப்பட்ட பொருளின் யங்குணகம், ρ தண்டின் அடர்த்தி. ஒரு பரிமாண தண்டு யங் குணகத்தை மட்டுமே பெற்றிருக்கும்.
ii. முப்பரிமாண தண்டு (3 dimensional rod):
திண்மம் ஒன்றின் வழியே நெட்டலையின் வேகம்

இங்கு, η விறைப்புக்குணகம், B பருமக் குணகம் மற்றும் ρ தண்டின் அடர்த்தி.
நேர்வுகள் : திரவத்திற்கு :

இங்கு K பருமக் குணகம் மற்றும் ρ திரவத்தின் அடர்த்தி. பருமக் குணகம் B அல்லது k என்ற எழுத்தால் குறிப்பிடலாம்.
எடுத்துக்காட்டு 11.7
எஃகு கம்பி ஒன்றில் ஒலியின் திசைவேகத்தைக் கணக்கிடுக. எஃகின் யங்குணகம்
Y = 2 × 1011 N m-2 மற்றும் அடர்த்தி ρ = 7800 kg m-3.
தீர்வு:

எனவே நெட்டலைகள் திண்மத்தில், திரவம் அல்லது வாயுவை விட வேகமாக செல்கின்றன. ஆடு மேய்ப்பவன் ஆடுகளுடன் தொடர்வண்டி பாதையை கடக்கும் போது, தண்டவாளத்தில் காதை வைத்து கேட்பதன் காரணத்தை தற்போது புரிந்திருப்பீர்கள்.
எடுத்துக்காட்டு 11.8
ஒரு குறிப்பிட்ட பருமன் கொண்ட நீரின் அழுத்தத்தை 100kPa ஆக அதிகரிக்கும்போது பருமன் 0.005% குறைகிறது.
(a) நீரின் பருமக்குணகம் காண்க?
(b) நீரில் ஒலியின் (இறுக்கப்பட்ட அலைகள்) திசைவேகத்தைக் காண்க?
தீர்வு
(a) பருமக்குணகம்

குறிப்பு
குறுக்கலை,நெட்டலைகளின் திசைவேகம் மீட்சிப் பண்புகளைப் பொருத்தது (கம்பியின் இழுவிசை T, பருமக்குணகம் B போன்றவை) மற்றும் நிலைமப் பண்புகளையும் (அடர்த்தி அல்லது ஓரலகு நீளத்திற்கான நிறை) பொருத்தது.

