அலைகள் | இயற்பியல் - காற்று தம்பத்தின் அதிர்வு | 11th Physics : UNIT 11 : Waves
காற்று தம்பத்தின் அதிர்வு
நாதஸ்வரம், மற்றும் பிற இசைக்கருவிகள் காற்றுக் கருவிகள் எனப்படும். இவை காற்றுத் தம்ப அதிர்வுகள் தத்துவத்தில் இயங்குகிறது. காற்று கருவியின் எளிய வடிவம் ஆர்கன் (organ - கருவி, இசைப்பேழை) குழாய் ஆகும். எடுத்துக்காட்டாக, புல்லாங்குழல், கிளாரினெட், நாதஸ்வரம். ஆர்கன் குழாய் இரு வகைப்படும்.
(அ) மூடிய ஆர்கன் குழாய்:

படம் 11.36. ல் காட்டப்பட்ட கிளாரினெட் படத்தை பாருங்கள். இது ஒரு பக்கம் மூடிய மற்றொரு பக்கம் திறந்த குழாய், திறந்த முனை வழியாக வரும் ஒலி, மூடிய பகுதியில் எதிரொலிக்கும் ஒலி உள்ளே வரும் ஒலியுடன் 180° எதிர்கட்டத்தில் இருக்கும். எனவே, மூடிய பகுதியில் துகள்களின் இடப்பெயர்ச்சி எப்பொழுதும் சுழி. இடப்பெயர்ச்சி சுழியாவதால் மூடிய பகுதியில் கணுவும். திறந்த பகுதியில் எதிர்க்கணுவும் ஏற்படுகின்றன. அதிர்வுறும் அதிர்வு ஒலியின் எளிய அதிர்வு நிலையை அடிப்படை அதிர்வு நிலை என்போம். மூடிய முனையில் துகள்களின் இயக்கம் இல்லாததால் கணுவும் அடிப்படை அதிர்வு நிலையில் திறந்த முனையில் எதிர்க்க ணுவும் உருவாகும். படம் 11.37 ல், L குழாயின் நீளம், ஏற்படும்.

அலைகளின் அலைநீளம் λ1 எனில்,

ஒலியின் அதிர்வெண்

திறந்த முனையில் காற்றை வலுவாக ஊதுவதால், அடிப்படை அதிர்வெண்ணின் முழு எண் மடங்குகளால் ஆன அதிர்வுகளை ஏற்படுத்தலாம். அந்த அலைகள் மேற்சுரங்கள் எனப்படுகின்றன.

படம் 11.38 இரண்டாவது நிலை அதிர்வுகளை (முதல் மேற்சுரம்) காட்டுகிறது. இதில் இரு கணுக்களும் இரு எதிர்கணுக்களும் உள்ளது

இது முதல் மேற்சுரம் ஆகும். இந்த அதிர்வெண் அடிப்படை அதிர்வெண்ணின் மூன்று மடங்கு என்பதால் இது மூன்றாவது சீரிசை எனப்படும்.

படம் 11.39 மூன்று கணுக்களும், மூன்று எதிர் கணுக்களும் உடைய மூன்றாவது நிலை அதிர்வு

இது இரண்டாவது மேற்சுரம் ஆகும். இந்த அதிர்வெண் அடிப்படை அதிர்வெண்ணைப் போல் ஐந்து மடங்காக உள்ளதால், 5 வது சீரிசை எனவும் அழைக்கப்படுகிறது.
எனவே மூடிய ஆர்கன் குழாயில் ஏற்படும் அதிர்வுகள் ஒற்றைப்படை வரிசை சீரிசைகளைக் கொண்டுள்ளது. சீரிசையின் அதிர்வெண் fn = (2n+1)f1. மேற்சுரங்களின் அதிர்வெண்களின் தகவு.

(ஆ) திறந்த ஆர்கன் குழாய்:

படத்தில் காட்டப்பட்ட புல்லாங்குழலை காண்க. இது இருபுறமும் திறந்த குழாய் இரு திறந்த முனைகளிலும் எதிர்க்கணுக்கள் உருவாகின்றன. இங்கு ஏற்படும் மிக எளிய அதிர்வு நிலையை காண்போம். இந்நிலையே அடிப்படை அதிர்வுநிலை எனப்படுகிறது. திறந்த முனைகளில் எதிர்க்கணுக்கள் ஏற்படுவதால், குழாயின் உள்ளே மையத்தில் ஒரேயொரு கணு உருவாகிறது.

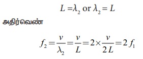
படம் 11.41, லிருந்து, L என்பது குழாயின் நீளம் என்க ஏற்படும் அலையின் அலைநீளம் காண,

ஏற்படும் அதிர்வின், அதிர்வெண்

இதுவே, அடிப்படை அதிர்வெண்
அடிப்படை அதிர்வெண்ணைவிட உயர் அதிர்வெண்களை ஏற்படுத்த திறந்த முனையில் காற்றை வேகமாக ஊத வேண்டும். இத்தகைய அதிர்வெண்கள் மேற்சுரங்கள் எனப்படும்.

படம் 11.42 திறந்த ஆர்கன் குழாயில் ஏற்படும் இரண்டாம் நிலை அதிர்வைக் காட்டுகிறது. இது இரு கணுவையும் மூன்று எதிர்க்கணுவையும் உடையது.

இது முதல் மேற்சுரம் எனப்படுகிறது. n = 2 என்பதால் இது இரண்டாவது சீரிசை எனவும் அழைக்கப்படுகிறது.

படம் 11.43: மூன்றாம் நிலை அதிர்வு இதில் 3 கணுவும், 4 எதிர்க்கணுவும் உள்ளது.

இது 3 வது மேற்சுரம். n = 3 என்பதால் இது 3 வது சீரிசை எனவும் அழைக்கப்படுகிறது.
எனவே திறந்த ஆர்கன் குழாய் அனைத்து சீரிசைகளையும் உடையது. n ஆவது சீரிசையின் அதிர்வெண் fn = nf1. எனப்படுகிறது. எனவே, மேற்சுரங்கள் அதிர்வெண்களின் தகவு

எடுத்துக்காட்டு 11.25
புல்லாங்குழல் ஒன்று ஏற்படுத்தும் ஒலியின் அதிர்வெண் 450Hz இரண்டாவது, மூன்றாவது, நான்காவது சீரிசைகளின் அதிர்வெண்களைக் காண்க. கிளாரினெட் ஒன்று ஏற்படுத்து ஒலியின் அதிர்வெண்ணும் 450Hz எனில் முதல் மூன்று சீரிசைகளின் அதிர்வெண்கள் யாவை?
தீர்வு:
புல்லாங்குழல் என்பது திறந்த ஆர்கன் குழாய். எனவே,
2 வது சீரிசை f2 = 2 f1 = 900 Hz
3 வது சீரிசை f3 = 3 f1 = 1350 Hz
4 வது சீரிசை f 4 = 4 f1 = 1800 Hz
கிளாரினெட் என்பது மூடிய ஆர்கன் குழாய்
2வது சீரிசை f 2 = 3 f1 = 1350 Hz
3வது சீரிசை f 3 = 5 f1 = 2250 Hz
4வது சீரிசை f4 = 7 f1 = 3150 Hz
எடுத்துக்காட்டு 11.26
மூடிய ஆர்கன் குழாயில் 3 வது சீரிசையின் அதிர்வெண் திறந்த ஆர்கன் குழயில் ஏற்படும் அடிப்படை அதிர்வெண்ணுக்கு சமம் எனில், திறந்த குழாயின் நீளம் காண்க. மூடிய குழாயின் நீளம் 30 cm எனக் கொள்க.
தீர்வு:
l2 என்பது திறந்த ஆர்கன் குழாயின் நீளம் என்க. l2 = 30 cm என்பது மூடிய ஆர்கன் குழாயின் நீளம். கொடுக்கப்பட்ட மூடிய ஆர்கன் குழாயின் 3 வது சீரிசையானது திறந்த ஆர்கன் குழாயின் அடிப்படை அதிர்வெண்ணுக்கு சமம்.
மூடிய ஆர்கன் குழாயின் 3 வது சீரிசை

திறந்த ஆர்கன் குழாயின் அடிப்படை அதிர்வெண்
