வேதியியல் - வேதிவினை, வேகவியல் : எடுத்துக்காட்டு, தீர்வுகள் | 12th Chemistry : UNIT 7 : Chemical Kinetics
மூலக்கூறு எண் : எடுத்துக்காட்டு : தீர்வுகள்
எடுத்துக்காட்டு 1:
நைட்ரிக் ஆக்ஸைடானது, ஆக்சிஜனேற்றம் அடைந்து – NO2 உருவாகும் வினையினைக் கருதுவோம்.
2NO(g) + O2(g) → 2NO2 (g)
(அ) NO, O2 , மற்றும் NO2 ஆகியனவற்றின் செறிவுகளில் ஏற்படும் மாறுபாடுகளின் அடிப்படையில் வினை வேகத்தினைக் குறிப்பிடுக.
(ஆ) ஒரு குறிப்பிட்ட நேரத்தில் [O2] ன் செறிவு 0.2 mol L-1S-1 என்ற அளவில் குறைகிறது எனில் அந்நேரத்தில், [NO,] ன் செறிவு எந்த வீதத்தில் அதிகரிக்கும்?
தீர்வு :

(அ) வினை வேகம் =-1/ 2 d[NO] / dt = -d[O2] / dt = 1/2 d[NO2]/dt
(ஆ) - d[O2] / dt = 1/2 d[NO2]/dt
d[NO2]/dt = 2x (-d[O2] / dt = 2 x0.2 mol L-1S-1
= 0.4 mol L-1S-1
தன் மதிப்பீடு 1
1). பின்வரும் வினைகளை அடிப்படை வினைகளாகக் கருத்திற்கொண்டு அவ்வினைகளுக்கான வினைவேகத்தினைக் குறிப்பிடும் சமன்பாடுகளை எழுதுக.
i) 3A + 5B2 → 4CD
i) X2 +Y2 → 2XY
2). N2O5(g) சிதைவடைந்து NO2(g) மற்றும் O2(g) ஆகியனவற்றைத் தரும் வினைகளைக் கருதுக. ஒரு குறிப்பிட்ட நிலையில் N2O5(g) ன் மறைதல் வேகம் 2.5x10-2mol dm-3s-1 எனில், NO2 மற்றும் O2 ஆகியனவற்றின் உருவாதல் வேகத்தின் மதிப்புகளைக் காண்க. வினையின் வினைவேகம் என்ன?
எடுத்துக்காட்டு 2
1. பின்வரும் வினைகளில், ஒவ்வொரு வினைபடு பொருள்களைப் பொருத்து வினைவேகங்களைக் குறிப்பிடுக. வினையின் ஒட்டுமொத்த வினைவகையைக் கண்டறிக.
(அ). 5Br- (aq) + BrO3- (aq) + 6H+ (aq) → 3Br2 (l) + 3H2O(l)
சோதனை மூலம் கண்டறியப்பட்ட வேகவிதி
வினைவேகம் = k [Br-] [ BrO3-] [H+] 2
(ஆ) CH3CHO(g ) →Δ→ CH4 (g) + CO(g) சோதனை மூலம் கண்டறியப்பட்ட வேகவிதி
வினைவேகம் = k [CH2CHO]3/2
தீர்வு:
அ) Br- ஐப் பொருத்து முதல் வகை மேலும் Bro, ஐப் பொருத்து இரண்டாம் வகை. எனவே, வினையின் ஒட்டுமொத்த வினைவகை 1 + 1 + 2 = 4
ஆ) அசிட்டால்டிஹைடைப் பொருத்த வரையில் வினைவகை 3/2 . ஒட்டு மொத்த வினை வகையின் மதிப்பும் 3/2 ஆகும்.
எடுத்துக்காட்டு 3
2. x + 2y → விளைபொருள், [x]=[y]=0.2 M என்ற வினையின் வினைவேகமானது 4 x 10-3mol L-1s-1 எனும் போது, 400Kல் வினைவேக மாறிலி 2 x 10-2 s-1 இவ்வினையின் ஒட்டுமொத்த வினைவகையைக் கண்டறிக.
தீர்வு :
வினைவேகம் =k[x]n [y]m 4 x 10-3mol L-1s-1 = 2 x 10-2S-1 (0.2mol L-1)n(0.2mol L1)m
4 x 10-3mol L-1s-1 / 2 x 10-2S-1 = (0.2)n+m (mol L-1)n+m
0.2(mol L-1) = (0.2)n+m (mol L-1)n+m

இருபுறமும் அடுக்குகளை ஒப்பிடுக, வினையின் ஒட்டுமொத்த வினைவகை n + m = 1
தன்மதிப்பீடு 2
1). X + Y → விளைபொருள் என்ற வினையில், [x] ஐ நான்கு மடங்காக்கும் போது வினைவேகம் எட்டு மடங்காகிறது மேலும் [x] மற்றும் [y) ஆகிய இரண்டையும் நான்கு மடங்காக்கும் போது வினைவேகம் பதினாறு மடங்காகிறது எனில் X மற்றும் Y ஐப் பொருத்து வினைவகை மற்றும் ஒட்டுமொத்த வினைவகை ஆகியனவற்றினைக் கண்டறிக.
2). 2NO(g) + C12(g) → 2NOCI(g) என்ற வினைக்கு , கீழே கொடுக்கப்பட்டுள்ள தரவுகளின் அடிப்படையில் ஒவ்வொரு வினைபொருளைப் பொருத்து வினைவகை மற்றும் ஒட்டுமொத்த வினைவகை ஆகியனவற்றின் மதிப்புகளைக் காண்க.

ஒரு வினையின் அரைவாழ்காலம் : எடுத்துக்காட்டு : தீர்வுகள்
எடுத்துக்காட்டு 4
(i) ஒரு முதல்வகை வினையானது 90% நிறைவு பெற 8 மணி நேரம் தேவைப்படுகிறது எனில், அவ்வினை 80% நிறைவு பெற தேவையான நேரத்தினைக் கணக்கிடுக.
(log 5 = 0.6989 ; log10 = 1)
தீர்வு
ஒரு முதல் வகை வினைக்கு
k = 2.303, / t log ([A0] / [A] ..... (1)

[A0] = 100M என்க
t = t90% ; [A] = 10M (கொடுக்கப்பட்டது t90 %=8h)
எனும் போது,
t = t80% ; [A]=20M

k = 2.303. / t80% log (100/ 20)
t80% = 2.303 / k log (5) -------------(2)
கொடுக்கப்பட்ட விவரங்களிலிருந்து k மதிப்பினைக் கண்டறிதல்.
k = 2.303 / t90% log (100/10)
k = 2.303 / 8hours log 10
k = 2.303 / 8hours (1)

kன் மதிப்பினைச் சமன் (2) ல் பிரதியிட,

t80% = 8hours × 0.8989
t80% = 5.59 hours
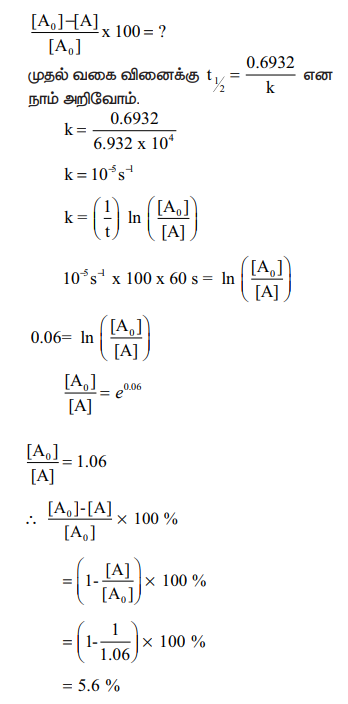
எடுத்துக்காட்டு 5
(ii) 500K வெப்பநிலையில்,
x → விளைபொருள் என்ற ஒரு முதல் வகை வினையின் அரை வாழ் காலம் 6.932 x 104 S at 500K வெப்பநிலையில் X ஐ வெப்பப்படுத்தும் போது 100 நிமிடங்களில், அது எவ்வளவு சதவீதம் சிதைவடைந்திருக்கும்? (e0.06 = 1.06)
தீர்வு
கொடுக்கப்பட்டவை t ½ = 0.6932 x 104 S தீர்க்க t=100 min எனும் போது,
[A0] [A] / [A0] × 100 = ?
முதல் வகை வினைக்கு t ½ = 0.6932 / k என நாம் அறிவோம்.
k = 0.6932 / 6.932 × 104
k = 10-5 S-1
k = (1/t) 1n ([A0] / [A] )
10-5 S-1 x 100 × 60 S= 1n ([A0] / [A] )
0.06= 1n ([A0] / [A] )
[A0] / [A] = e0.06
[A0] / [A] =1.06
[A0] - [A] × 100%
=(1-[A] / [A0] × 100%
= (1-1/1.06) × 100%
= 5.6%

எடுத்துக்காட்டு 6
ஒரு முதல் வகை வினையானது 99.9% நிறைவடைய தேவையான நேரமானது, அவ்வினை பாதியளவு நிறைவடைய தேவையான நேரத்தைப் போல தோராயமாக பத்து மடங்கு எனக் காட்டுக.
[A0] = 100; என்க
t = t99.9%; [A] = (100-99.9) = 0.1
k = 2.309 / t log ([A0] / [A] )
t99.9% = 2.309 / t log 1000
t99.9% = 6.909/ k
t99.9% = 10 × 0.69 / k
t99.9% = 10 t ½

தன்மதிப்பீடு
(1) A → விளைபொருள் என்ற முதல்வகை வினையில் A ஆனது 60% சிதைவடைய 40 நிமிடங்கள் தேவைப்படுகிறது. இவ்வினையின் அரை வாழ் காலம் என்ன?
(2) ஒரு முதல் வகை வினையின் வினைவேக - மாறிலி 2.3 X 104 S-1 வினைபடுபொருட்களின் ஆரம்பச் செறிவு 0.01m எனில் 1 மணி நேரத்திற்குப் பின்னர் எஞ்சியிருக்கும் வினைபடு பொருளின் செறிவு யாது?
(3) ஒரு எஸ்டரின் நீராற்பகுப்பு வினையானது அவ்வினையில் உருவாகும் கார்பாக்சிலிக் அமிலத்தை சோடியம் ஹைட்ராக்ஸைடிற்கு எதிராக தரம் பார்த்தல் மூலம் கண்காணிக்கப்படுகிறது. வெவ்வேறு கால இடைவெளிகளில் எஸ்டரின் செறிவானது பின்வரும் அட்டவணையில் தரப்பட்டுள்ளது.

மேற்க்கண்ட வினை ஒரு முதல் வகை எனக் காட்டுக.
அர்ஹீனியஸ் சமன்பாடு - வினைவேகத்தின் மீது வெப்பநிலையின் விளைவு : எடுத்துக்காட்டு : தீர்வுகள்
எடுத்துக்காட்டு 7
400K மற்றும் 200K ஆகிய வெப்பநிலைகளில் வினைவேக மாறிலிகள் முறையே 0.04 மற்றும் 0.02s-1 எனில் கிளர்வு ஆற்றலைக் கணக்கிடுக.
தீர்வு
அர்ஹீனியஸ் சமன்பாட்டின்படி,

Log(k2/k1) = Ea/2.303R (T2-T1/T1T2)
T2 = 400K ; k2 = 0.04 s-1
T1 = 200K ; k1 = 0.02 s-1
log(0.04 s-1 / 0.02 s-1 ) Ea / 2.303 x 8.314 JK-1 mol-1 ( 400K -200K / 200K × 400K)
log(2) = Ea / 2.303 × 8.314 JK-1 mol-1 (1/ 400K)
Ea = log(2) × 2.303 x 8.314 JK-1 mol-1 × 400K
Ea = 2305 J mol-1
எடுத்துக்காட்டு 8
ஒரு வினையின் வினைவேக மாறிலி k ஆனது வெப்பநிலையினைப் பொருத்து பின்வருமாறு அர்ஹினீயஸ் சமன்பாட்டின் படி மாற்றமடைகிறது.

இங்கு Ea என்பது கிளர்வு ஆற்றல் logk Vs 1/T வரைபடம் வரையும் போது- 4000K சாய்வு உடைய நேர்கோடு பெறப்படுகிறது. கிளர்வு ஆற்றலைக் கணக்கிடுக.
தீர்வு
logk = log A- Ea / 2.303R (1/T)
y = c + mx
m = - Ea / 2.303R
Ea = -2.303 Rm

Ea = -2.303 x 8.314 JK-1 mol-1 (- 4000K)
Ea = 76,589J mol-1
Ea = 76.589 kJ mol-1
தன்மதிப்பீடு
500K வெப்பநிலையில், ஒரு முதல் வகை வினைக்கு வினைவேக மாறிலி 8 × 10-4 s-1 ஆகும். அவ்வினையின் கிளர்வு ஆற்றல் 190 kJ mol-1 எனில் அதிர்வுக் காரணியைக் கணக்கிடுக.