அன்றாட வாழ்வில் வேதியியல் - சரியான விடையைத் தேர்வு செய்க | 12th Chemistry : UNIT 15 : Chemistry in Everyday Life
வேதியியல் : அன்றாட வாழ்வில் வேதியியல்
I. சரியான விடையைத் தேர்வு செய்க
1. பின்வருவனவற்றுள் எது வலிநிவாரணி?
அ) ஸ்ட்ரெப்டோமைசின்
ஆ) குளோரோமைசிடின்
இ) ஆஸ்பிரின்
ஈ) பெனிசிலின்
விடை: இ) ஆஸ்பிரின்
2. டெட்டால் என்பது எதன் கலவை?
அ) குளோரோசைலினால் மற்றும் பைதயோனால்
ஆ) குளோரோசைலினால் மற்றும் α-டெர்பினால்
இ) பீனால் மற்றும் அயோடின்
ஈ) டெர்பினால் மற்றும் பைதயோனால்
விடை: ஆ) குளோரோசைலினால் மற்றும் α-டெர்பினால்
3. புரைதடுப்பான்கள் மற்றும் கிருமிநாசினிகள் நுண்ணுயிரிகளைக் கொல்கின்றன அல்லது அவற்றின் வளர்ச்சியை கட்டுப்படுத்துகின்றன. பின்வரும் கூற்றுகளில் எது தவறானது?
அ) நீர்த்த போரிக் அமிலம் மற்றும் ஹைட்ரஜன் பெராக்சைடு ஆகியன வலிமை மிகுந்த புரைதடுப்பான்களாகும்.
ஆ) கிருமிநாசினிகள் உயிருள்ள செல்களை பாதிக்கின்றன.
இ) பீனாலின் 0.2% கரைசல் ஒரு புரைதடுப்பான், ஆனால் 1% கரைசல் ஒரு கிருமிநாசினி
ஈ) குளோரின் மற்றும் அயோடின் ஆகியவை வலிமை மிக்க கிருமிநாசினிகளாக பயன்படுகின்றன.
விடை: அ)நீர்த்த போரிக் அமிலம் மற்றும் ஹைட்ரஜன் பெராக்சைடு ஆகியன வலிமை மிகுந்த புரைதடுப்பான்களாகும்.
4. சாக்கரின் ஒரு செயற்கை இனிப்புச் சுவையூட்டியாகும். இது .......... லிருந்து தயாரிக்கப்படுகிறது.
அ) செல்லுலோஸ்
ஆ) டொலுயீன்
இ) வளைய ஹெக்ஸீன்
ஈ) ஸ்டார்ச்
விடை: ஆ) டொலுயீன்
5. உணர்வேற்பி மையத்துடன் பிணைந்து அதன் இயல்பான செயல்பாட்டைத்தடுக்கும் மருந்துகள்..........என்றழை க்கப்படுகின்றன.
அ) எதிர்வினையூக்கி
ஆ) முதன்மை இயக்கி
இ) நொதிகள்
ஈ) மூலக்கூறு இலக்குகள்
விடை: அ) எதிர்வினையூக்கி
6. ஆஸ்பிரின் என்பது
அ) அசிட்டைல் சாலிசிலிக் அமிலம்
ஆ) பென்சாயில் சாலிசிலிக் அமிலம்
இ) குளோரோபென்சாயிக் அமிலம்
ஈ) ஆந்த்ர னிலிக் அமிலம்
விடை: அ) அசிட்டைல் சாலிசிலிக் அமிலம்
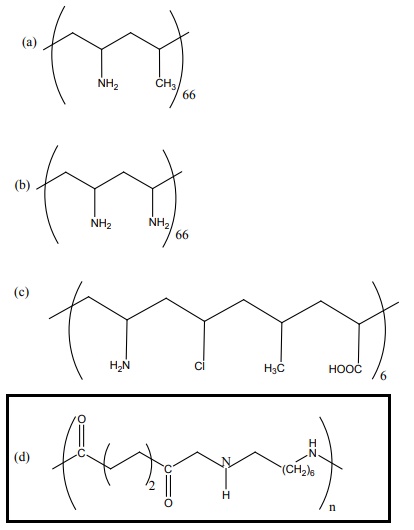
7. பின்வருவனவற்றுள் எந்த அமைப்பு நைலான் 6,6 பலபடியை குறிப்பிடுகிறது?

விடை: (d)
8. இயற்கை இரப்பர் கொண்டிருப்பது
அ) ஒன்றுவிட்ட சிஸ் மற்றும் டிரான்ஸ் அமைப்பு
ஆ) தன்னிச்சையான சிஸ் மற்றும் டிரான்ஸ் அமைப்பு
இ) அனைத்தும் சிஸ் அமைப்பு
ஈ) அனைத்தும் டிரான்ஸ் அமைப்பு
விடை: இ) அனைத்தும் சிஸ் அமைப்பு
9.நைலான் என்பது எதற்கு எடுத்துக்காட்டு?
அ) பாலி அமைடு
ஆ) பாலித்தீன்
இ) பாலி எஸ்டர்
ஈ) பாலிசாக்கரைடு
விடை: அ) பாலி அமைடு
10. டெரிலீன் என்பது எதற்கு எடுத்துக்காட்டு?
அ) பாலி அமைடு
ஆ) பாலித்தீன்
இ) பாலி எஸ்டர்
ஈ) பாலிசாக்கரைடு
விடை: இ) பாலி எஸ்டர்
11. பின்வருவனவற்றுள் எது நியோப்ரீனின் ஒற்றைப்படி மூலக்கூறு?

விடை: அ
12. பின்வருவனவற்றுள் எந்த ஒன்று மக்கும்பல்படி?
அ) HDPE
ஆ) PVC
இ) நைலான் 6
ஈ) PHBV
விடை: ஈ) PHBV
13. பொதுவாக, ஒட்டா சமையல் பாத்திரங்களின் மேற்பரப்பில் பலபடி பூசப்பட்டுள்ளது. அந்த பலபடியின் ஒற்றைப்படி மூலக்கூறு.
அ) ஈத்தேன்
ஆ) புரப்-2-ஈன்நைட்ரைல்
இ) குளோரோஈத்தீன்
ஈ) 1,1,2,2-டெட்ராஃபுளூரோஈத்தேன்
விடை: ஈ) 1,1,2,2-டெட்ராஃபுளூரோஈத்தேன்
14. கூற்று : இயற்கை இரப்பரின் ஒற்றைப்படி மூலக்கூறு 2-மெத்தில்-1,3-பியுட்டாடையீன்
காரணம் : இயற்கை இரப்பரானது எதிரயனி சேர்ப்பு பலபடியாக்கலின் மூலம் உருவாகிறது.
அ) கூற்று மற்றும் காரணம் இரண்டும் சரி, மேலும் காரணம், கூற்றுக்கான சரியான விளக்கமாகும்
ஆ) கூற்று மற்றும் காரணம் இரண்டும் சரி, ஆனால் காரணம், கூற்றுக்கான சரியான விளக்கமல்ல
இ) கூற்று சரி ஆனால் காரணம் தவறு
ஈ) கூற்று மற்றும் காரணம் இரண்டும் தவறு
விடை: இ) கூற்று சரி ஆனால் காரணம் தவறு
15. கருவறுதலை தடுக்கும் மருந்துப் பொருளுக்கு எடுத்துக்காட்டு
அ) நோவெஸ்ட்ரால்
ஆ) செல்டேன்
இ) சல்வார்சன்
ஈ) குளோரம்பினிகால்
விடை: அ) நோவெஸ்ட்ரால்
16. தூக்கத்தை தூண்டும் மருந்துப் பொருளாக பயன்படுவது
அ) பாராசிட்டமால்
ஆ) பைதயோனால்
இ) குளோரோகுயின்
ஈ) ஈக்வனில்
விடை: ஈ) ஈக்வனில்
17. பின்வருவனவற்றுள் எது பல்லின பலபடி?
அ) ஆர்லான்
ஆ) PVC
இ) டெஃப்லான்
ஈ) PHBV
விடை: ஈ) PHBV
18. போர்வைகள் (செயற்கை கம்பளி) செய்ய பயன்படும் பலபடி
அ) பாலிஸ்டைரீன்
ஆ) PAN
இ) பாலிஎஸ்டர்
ஈ) பாலித்தீன்
விடை: ஆ) PAN
19. பின்வரும் கூற்றுகளில் குறுக்க-இணைப்பு பல படிகள் தொடர்பான தவறான கூற்று எது? (NEET)
அ) பேக் கலைட் மற்றும் மேலமைன் ஆகியன
எடுத்துக்காட்டுகளாகும்.
ஆ) அவை, இரண்டு அல்லது மூன்று வினைசெயல் தொகுதிகளைக் கொண்ட ஒற்றைப்படி மூலக்கூறுகளிலிருந்து உருவாகின்றன.
இ) அவை, பல்வேறு நேர்க்கோட்டு பலபடி சங்கிலிகளுக்கிடையே சகப்பிணைப்புகளைகொண்டுள்ளன.
ஈ) அவை, அவற்றின் பலபடிச்சங்கிலியில் வலிமையான சகப்பிணைப்புகளை கொண்டுள்ளன.
விடை: ஈ) அவை, அவற்றின் பலபடிச்சங்கிலியில் வலிமையான சகப்பிணைப்புகளை கொண்டுள்ளன.
20. குளோரோசைலினால் மற்றும் டெர்பினிகால் கலவையானது............. ஆக பயன்படுகிறது (NEET)
அ) புரைதடுப்பான்
ஆ) காய்ச்சல் மருந்து
இ) எதிர்உயிரி
ஈ) வலிநிவாரணி
விடை: அ) புரைதடுப்பான்