ஒளிமின்னழுத்த விளைவு | இயற்பியல் - டேவிசன் – ஜெர்மர் சோதனை | 12th Physics : UNIT 8 : Dual Nature of Radiation and Matter
டேவிசன் – ஜெர்மர் சோதனை
1927 இல் கிளின்டன் டேவிசன் மற்றும் லெஸ்ட்
ஜெர்மர் ஆகியோர் டி ப்ராயின் பருப்பொருள் அலைகள் பற்றிய எடுகோளை சோதனை வாயிலாக உறுதி
செய்துள்ளனர். படிகமாக உள்ள திண்மங்களின் மீது படும் எலக்ட்ரான் கற்றைகள் விளிம்பு
விளைவு அடைவதை செய்து காட்டினார்கள். பருப்பொருள் அலைகளுக்கு திண்ம படிகம் முப்பரிமானவிளிம்பு
விளைவு கீற்றணியாகச் செயல்படுவதால், எலக்ட்ரான் கற்றைகள் விளிம்பு விளைவை அடைந்து குறிப்பிட்ட
திசையில் செல்கின்றன. படம் 7.17இல் இச்சோதனைக்கான அமைப்பு காட்டப்பட்டுள்ளது.
குறைந்த மின்னழுத்த (L.T.) மின்கல அடுக்கு
மூலம் மின்னிழை F சூடுபடுத்தப் படுகிறது. சூடான மின்னிழையிலிருந்து வெப்ப அயனி உமிழ்வு
மூலம் எலக்ட்ரான்கள் உமிழப்படுகின்றன. பின்னர் உயர் மின்னழுத்த (H.T.) மின்கல அடுக்கு
மூலம் மின்னிழை மற்றும் அலுமினிய உருளை ஆனோடு இடையே கொடுக்கப்படும் மின்னழுத்த வேறுபாட்டினால்,
எலக்ட்ரான்கள் முடுக்கப்படுகின்றன. இரு மெல்லிய அலுமினியத் தகடுகள் வழியாகச் செல்லும்
போது இணைக்கற்றையாக மாறும் எலக்ட்ரான்கள், ஒற்றைப் படிக நிக்கலின் மீது படுமாறு செய்யப்படுகிறது.

படம் 7.17 டேவிசன் - ஜெர்மர் சோதனை அமைப்பு
Ni அணுவினால் பல்வேறு திசைகளில் சிதறடிக்கப்படும்
எலக்ட்ரான் கற்றையின் செறிவு எலக்ட்ரான் பகுப்பானால் அளவிடப்படுகிறது. புத்தகத்தின்
தளத்தில் பகுப்பான் சுழலும் வண்ணம் உள்ளதால், படுகற்றைக்கும் சிதறடிக்கப்பட்ட கற்றைக்கும்
இடையேயான கோணம் θ வின் மதிப்பை நமக்கு தேவையான
அளவில் மாற்றி அமைக்கலாம். சிதறடிக்கப்பட்ட எலக்ட்ரான் கற்றையின் செறிவு ஆனது கோணம்
0 இன் சார்பாக அளவிடப்படுகிறது.

படம் 7.18 கோணம் 6 வைப் பொருத்து விளிம்பு
விளைவு அடைந்த எலக்ட்ரான் கற்றையின் செறிவு மாறுபாடு
குறிப்பு
துகள்களின் அலை இயல்பினை உறுதி செய்யும் சோதனை எலக்ட்ரானுக்கு
மட்டுமே செய்யப்படவில்லை என்பதை இங்கு கவனத்தில் கொள்ள வேண்டும். நியூட்ரான், ஆல்பா
துகள்கள் போன்ற துகள்களும் அலைப் பண்பைப் பெற்றுள்ளன. அவை தகுந்த படிகங்களின் மீது
படும்போது விளிம்பு விளைவுக்கு உட்பட்டு சிதறடிக்கப்படுகின்றன. நியூட்ரான் விளிம்பு
விளைவு ஆய்வுகள் படிக அமைப்பினை ஆராய்வதற்கு பெருமளவு பயன்படுகின்றன.
குறிப்பு
விளிம்பு விளைவு என்பது அலைகளின் ஒரு பண்பு ஆகும். அலைகள் தடைகளின் மீது
படும் பொழுதெல்லாம், தடைகளின் விளிம்புகளில் வளைந்து செல்லும். அலைகளின் இந்த வளைந்து
செல்லும் பண்பே விளிம்பு விளைவு எனப்படும். அலைகளின் வளையும் அளவு அதன் அலைநீளத்தைப்
பொருத்தது.
ஒளி அலைகளின் '- அலைநீளம் மிகச்சிறியது என்பதால், ஒளியில் ஏற்படும்
விளிம்பு விளைவு மிக குறைவாகும் என்பதை அலகு 6 இல் கற்றோம். எனவே ஒளியின் விளிம்பு
விளைவினை ஆராய்வதற்கு விளிம்பு விளைவு கீற்றணிகள் பயன்படுகின்றன.
X-கதிர்களின் அலைநீளம் மற்றும் எலக்ட்ரான்களின் டி ப்ராய் அலைநீளம்
(10-10m என்ற அளவில் உள்ளதால்) ஆகியவை ஒளி அலைகளின் அலைநீளத்தைவிட குறைவு
என்பதால், இவற்றின் விளிம்பு விளைவிற்கு கீற்றணிகளைப் பயன்படுத்த முடியாது.
படிகங்களில் அணு தளங்களுக்கு இடைப்பட்ட தொலைவு X-கதிர்களின் அலைநீளம்
மற்றும் எலக்ட்ரான்களின் டிப்ராய் அலைநீளங்களுக்கு ஒப்பிடக்கூடிய வகையில் உள்ளது. எனவே,
இவைகளின் விளிம்பு விளைவிற்கு படிகங்கள் முப்பரிமாணக் கீற்றணியாகப் பயன்படுத்தப்படுகின்றன.
படம் 7.18 இல் 54V முடுக்கு மின்ன ழுத்தத்தில்,
கோணம் θ வைப்
பொருத்து சிதறடிக்கப்பட்ட எலக்ட்ரான் கற்றையின் செறிவு மாறுபாடு காட்டப்பட்டுள்ளது.
கொடுக்கப்பட்ட முடுக்கு மின்னழுத்தத்திற்கு, சிதறடிக்கப்பட்ட அலையின் செறிவு 50° கோணத்தில்
உச்சமாக அல்லது பெருமமாக அமையும். உலோகத்தில் உள்ள பல்வேறு அணு தளங்களில் இருந்து விளிம்பு
விளைவு அடைந்து வரும் எலக்ட்ரான் அலைகளின் ஆக்க குறுக்கீட்டு விளைவினால் இந்த பெருமம்
பெறப்படுகிறது. நிக்கலின் அணு தளங்களுக்கு இடைப்பட்ட தொலைவின் மதிப்பில் இருந்து, எலக்ட்ரான்
அலையின் அலைநீளம் சோதனை வாயிலாக 1.65Å என கணக்கிடப்பட்டுள்ளது.
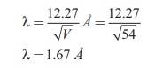
V = 54 V என்ற மதிப்பிற்கு , டிப்ராய் தொடர்பின்
மூலம் சமன்பாடு (7.18) யில் இருந்தும் அலைநீளம் கணக்கிடப்படுகிறது.

இந்த மதிப்பு ஆனது சோதனை வாயிலாக கண்டறியப்பட்ட
1.65Å என்ற மதிப்புடன் பொருந்தியுள்ளது. எனவே இச்சோதனை ஆனது டி ப்ராயின் இயங்கும் துகளிற்கான
அலை இயல்பு எடுகோளை நேரடியாகச் சரிபார்த்துள்ளது.