ஒளிமின்னழுத்த விளைவு | இயற்பியல் - எலக்ட்ரான்களின் டி ப்ராய் அலைநீளம் | 12th Physics : UNIT 8 : Dual Nature of Radiation and Matter
டிப்ராய்
அலை
1924இல் பிரெஞ்சு நாட்டு இயற்பியல் அறிஞர்
லூயிஸ் டி ப்ராய் (Louis de Broglie. டி ப்ராய் என உச்சரிக்க வேண்டும்), கதிர்வீச்சின்
அலை - துகள் இருமைப்பண்பு கருத்தினை பருப்பொருளுக்கு விரிவாக்கினார்.
இயற்கையின் சமச்சீர் பண்பின் விளைவாக, டிப்ராய்
பின்வரும் கருத்தினைப் பரிந்துரைத்தார்: ஒளி போன்ற கதிர்வீச்சு சில நேரங்களில் துகள்களாகச்
செயல்படுகிறது எனில், எலக்ட்ரான் போன்ற துகள்கள் சில நேரங்களில் அலைகள் போன்று செயல்படும்.
டி ப்ராயின் எடுகோளின் படி, இயக்கத்தில் உள்ள
எலக்ட்ரான்கள், புரோட்டான்கள் மற்றும் நியூட்ரான்கள் போன்ற அனைத்து பருப்பொருள் துகள்களும்
அலைப்பண்பைப் பெற்றுள்ளன. இந்த அலைகள் டிப்ராய் அலைகள் அல்லது பருப்பொருள் அலைகள் எனப்படுகின்றன.
டி ப்ராய் அலைநீளம்
v அதிர்வெண் கொண்ட ஃபோட்டானின் உந்தம் பின்வருமாறு

(ஏனெனில் c = vλ)
உந்தம் மூலமாக ஃபோட்டானின் அலைநீளம் பின்வரும்
சமன்பாட்டால் பெறப்படுகிறது.

டிப்ராய் கொள்கையின்படி, மேற்கண்ட சமன்பாடானது
பருப்பொருள் துகள்களுக்கும் பொருந்தக்கூடிய முழுவதும் பொதுவான சமன்பாடு ஆகும். எனவே
m நிறையும் ν வேகமும் கொண்ட துகளின் அலைநீளம் பின்வருமாறு
அமையும்,
பருப்பொருள் அலையின் இந்த அலைநீளம், டிப்ராய்
அலைநீளம் எனப்படுகிறது. இந்த சமன்பாடானது அலைப்பண்பினையும் (அலைநீளம் λ) துகள்
பண்பினையும், (உந்தம் p) பிளாங்க் மாறிலி மூலம் இணைக்கின்றது.
எலக்ட்ரான்களின் டி ப்ராய் அலைநீளம்
m நிறை கொண்ட எலக்ட்ரான் ஆனது வோல்ட் மின்னழுத்த வேறுபாட்டினால் முடுக்கப்படுகிறது. எலக்ட்ரான் பெறுகின்ற இயக்க ஆற்றல் ஆகவே, எலக்ட்ரானின் திசைவேகம் ν ஆனது

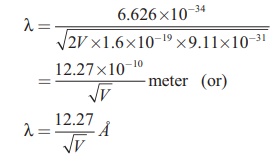
எனவே, எலக்ட்ரானின் டி ப்ராய் அலைநீளமானது

தெரிந்த மதிப்புகளை மேற்கண்ட சமன்பாட்டில் பிரதியிட, நமக்குக் கிடைப்பது

எடுத்துக்காட்டாக, 100V மின்னழுத்த வேறுபாட்டால் எலக்ட்ரானை முடுக்கும்போது, அதன் டி ப்ராய் அலைநீளம் 1.227Åஆகும். eV = K என்பது எலக்ட்ரானின் இயக்க ஆற்றல் என்பதால், எலக்ட்ரானின் டி ப்ராய் அலைநீளத்தைப் பின்வருமாறும் எழுதலாம்.
