இயற்பியல் ஆய்வக செய்முறை பரிசோதனை - மின் தடை எண் காணல் | 10th Science : Physics Practicals
மின் தடை எண் காணல்
கொடுக்கப்பட்ட கம்பிச் சுருளின் மின்தடை எண்ணை கணக்கிடல்.
மின்தடை எண் காணவேண்டிய கம்பிச் சுருள், திருகு அளவி, மீட்டர் அளவு கோல், மின்கலம், சாவி, அம்மீட்டர், வோல்ட் மீட்டர், மின்தடை மாற்றி மற்றும் மின் இணைப்புக் கம்பி.
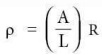
கொடுக்கப்பட்ட கம்பிச் சுருளின் மின்தடை எண் 
இங்கு,
A என்பது கம்பிச் சுருளின் குறுக்கு வெட்டுப் பரப்பு(மீ2)
L என்பது கம்பிச் சுருளின் நீளம்(மீ)
R என்பது கம்பிச் சுருளின் மின்தடை(Ω)

* மின்சுற்றுப் படத்தில் காட்டியுள்ளபடி மின்கலம், அம்மீட்டர், கம்பிச் சுருள், மின்தடை மாற்றி மற்றும் சாவி ஆகியவற்றை மின் இணைப்புக் கம்பியைப் பயன்படுத்தி தொடராக இணைக்கவும்.
* வோல்ட் மீட்டரை கம்பிச் சுருளுக்கு எதிராக பொருத்தவும்.
* சாவியை பயன்படுத்தி மின்சுற்றை மூடவும்.
* மின்தடைமாற்றியில் மாற்றம் செய்து அம்மீட்டரில் 0,5 ஆம்பியர் மின்னோட்டம் பாயுமாறுச் செய்யவும்,
* கம்பிச்சுருளுக்கு எதிரான மின்னழுத்த வேறுபாட்டினை வோல்ட் மீட்டரில் உற்றுநோக்கி அட்டவணையில் குறித்துக் கொள்ளவும்.
* மின்தடைமாற்றியில் மாற்றம் செய்து அம்மீட்டரில் 0.5 ஆம்பியர், 1.0 ஆம்பியர், 1.5 ஆம்பியர் மின்னோட்டங்களை பாயச் செய்யவும்.
* மேற்கண்ட மின்னோட்டங்கள் பாயும் போது கம்பிச் சுருளுக்கு எதிரான மின்னழுத்த வேறுபாட்டினை அட்டவணையில் குறித்துக் கொள்ளவும்.
* திருகு அளவைப் பயன்படுத்தி கம்பிச் சுருளின் விட்டத்தினை அளவிடவும்.
* மீட்டர் அளவு கோலைப் பயன்படுத்தி கம்பிச் சுருளின் நீளத்தை கணக்கிடவும்.
(i) மின்தடையை கணக்கிடல்:

(ii) திருகு அளவியை பயன்படுத்தி கம்பிச் சுருளின் விட்டம் கணக்கிடல்
மீச்சிற்றளவு(மீசி) = 0.01 மி.மீ
சுழிப்பிழை(சுபி) = இல்லை

கம்பிச் சுருளின் ஆரம் r = விட்டம்/2
= 2.20 / 2
= 1.10 × 10-3மீ
கம்பிச் சுருளின் குறுக்கு வெட்டுப் பரப்பு A = π r2
= 3.14 × (1.10 × 10-3)2
= 3.8 × 10-6மீ2
கம்பிச் சுருளின் நீளம் L = 1.5 மீ.
கம்பிச் சுருளின் மின்தடை எண் 
= 3.8 × 10-6 / 1.5
= 2.53 × 10-6 Ωமீ
கம்பிச் சுருளின் மின்தடை எண் = 2.53 × 10-6 Ωமீ