கேள்வி பதில்கள் மற்றும் தீர்வுகள் | கணக்கு - பயிற்சி 5.1 : முக்கோணம் மற்றும் நாற்கரத்தின் பரப்பு | 10th Mathematics : UNIT 5 : Coordinate Geometry
பயிற்சி 5.1
1. கீழ்க்கண்ட புள்ளிகளால் அமைக்கப்படும் முக்கோணத்தின் பரப்பு காண்க.
(i) (1, –1), (–4, 6) மற்றும் (–3, –5)
(ii) (–10, –4), (–8, –1) மற்றும் (–3, –5)

2. கீழ்க்காணும் புள்ளிகள் ஒரே நேர்க்கோட்டில் அமையுமா எனத் தீர்மானிக்கவும்.
(i) (-1/2, 3), (–5, 6) மற்றும் (–8, 8)
(ii) (a, b+c), (b, c+a) மற்றும் (c, a+b)

3. வரிசையில் அமைந்த முக்கோணத்தின் முனைப் புள்ளிகளும், அதன் பரப்பளவுகளும் அட்டவணையில் கொடுக்கப்பட்டுள்ளன. 'p' – யின் - மதிப்பைக் காண்க.


4. கொடுக்கப்பட்ட புள்ளிகள் ஒரு கோட்டில் அமைந்தவை எனில், 'a' -யின் மதிப்பைக் காண்க.
(i) (2, 3), (4, a) மற்றும் (6, –3)
(ii) (a, 2–2a), (–a+1, 2a) மற்றும் (–4–a, 6–2a)

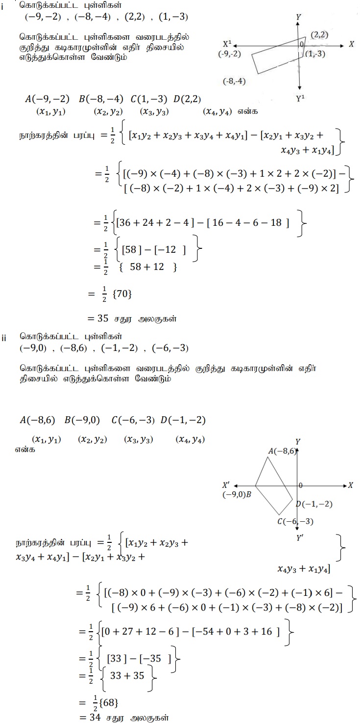
5. கொடுக்கப்பட்ட புள்ளிகளை முனைகளாகக் கொண்ட நாற்கரத்தின் பரப்பைக் காண்க.
(i) (–9, –2), (–8, –4), (2, 2) மற்றும் (1, –3)
(ii) (–9, 0), (–8, 6), (–1, –2) மற்றும் (–6, –3)

6. (–4, –2), (–3, k), (3, –2) மற்றும் (2, 3) ஆகிய முனைகளை வரிசையாக கொண்ட நாற்கரத்தின் பரப்பு 28 ச. அலகுகள் எனில், k-யின் மதிப்புக் காண்க.

7. A(-3,9), B(a,b) மற்றும் C(4,- 5) என்பன ஒரு கோடமைந்த புள்ளிகள் மற்றும் a + b = 1 எனில், a மற்றும் b -யின் மதிப்பைக் காண்க.

8. ΔABC -யின் பக்கங்கள் AB, BC மற்றும் AC ஆகியவற்றின் நடுப்புள்ளிகள் முறையே P(11,7), Q(13.5,4) மற்றும் R(9.5,4) என்க. முக்கோணத்தின் முனைப் புள்ளிகள் A,B மற்றும் C காண்க. மேலும், ΔABC - யின் பரப்பை ΔPQR - யின் பரப்புடன் ஒப்பிடுக.

9. நாற்கர வடிவ நீச்சல் குளத்தின் கான்கிரீட் உள்முற்றமானது படத்தில் காட்டியுள்ளபடி அமைக்கப்பட்டுள்ளது எனில், உள்முற்றத்தின் பரப்பு காண்க.


10. A(-5,-4), B(1,6) மற்றும் C(7,-4) ஆகியவற்றை முனைப் புள்ளிகளாகக் கொண்ட முக்கோண வடிவக் கண்ணாடிக்கு வர்ணம் பூசப்படுகிறது. 6 சதுர அடி பரப்புக்கு வர்ணம் பூச ஒரு வாளி தேவைப்படுகிறது எனில் கண்ணாடியின் முழுப் பகுதியையும் ஒரு முறை வர்ணம் பூச எத்தனை வாளிகள் தேவைப்படும்?

11. படத்தைப் பயன்படுத்திப் பரப்பைக் காண்க.
(i) முக்கோணம் AGF
(ii) முக்கோணம் FED
(iii) நாற்கரம் BCEG.


1.(i) 24 ச.அ
(ii) 11.5 ச.அ
2.(i) ஒரு கோடமை
(ii) ஒரு கோடமை
3.(i) 44 (ii) 13
4.(i) 0 (ii) 1/2 அல்லது -1
5.(i) 35 ச.அ (ii) 34 ச.அ
6. -5
7. 2,-18.24 ச.அ, ∆ABC-யின் பரப்பு = 4 × (∆PQR)-யின் பரப்பு
9. 38 ச.அ
10. 10 வாளி
11.(i) 3.75 ச.அ (ii) 3 ச.அ (iii) 13.88 ச.அ