கேள்விகளுக்கான பதில்கள், தீர்வுகள் - பயிற்சி 5.2: கூம்பு வளைவுகள் (Conics) | 12th Maths : UNIT 5 : Two Dimensional Analytical Geometry II
பயிற்சி 5.2
1. பின்வரும் ஒவ்வொன்றிற்கும் பரவளையத்தின் சமன்பாடு காண்க:
(i) குவியம் (4, 0) மற்றும் இயக்குவரை x = −4.
(ii) y −அச்சுக்கு சமச்சீரானது மற்றும் (2, −3) வழிச்செல்வது.
(iii) முனை (1, −2) மற்றும் குவியம் (4, −2).
(iv) செவ்வகலத்தின் முனைகள் (4, −8) மற்றும் (4, 8).

2. பின்வரும் ஒவ்வொன்றிற்குமான நீள்வட்டத்தின் சமன்பாடு காண்க :
(i) குவியங்கள் (±3, 0) மற்றும் e = 1/2
(ii) குவியங்கள் (0, ±4) மற்றும் நெட்டச்சின் முனைகள் (0, ±5).
(iii) செவ்வகல நீளம் 8, e = 3/5 மையம் (0, 0) மற்றும் நெட்டச்சு x −அச்சு.
(iv) செவ்வகல நீளம் 4, குவியங்களுக்கிடையேயான தூரம் 4√2, மையம் (0, 0) மற்றும் நெட்டச்சு y − அச்சு.

3. பின்வரும் ஒவ்வொன்றிற்குமான அதிபரவளையத்தின் சமன்பாடு காண்க:
(i) குவியங்கள் (±2, 0), e = 3/2
(ii) மையம் (2, 1), ஒரு குவியம் (8, 1) மற்றும் இதற்கொத்த இயக்குவரை x = 4.
(iii) (5, −2) வழிச்செல்வது மற்றும் குற்றச்சின் நீளம் 8 அலகுகள், நெட்டச்சு x அச்சு

4. பின்வருவனவற்றிற்கான முனை, குவியம், இயக்குவரையின் சமன்பாடு மற்றும் செவ்வகல நீளம் காண்க:
(i) y2 = 16x
(ii) x2 = 24y
(iii) y2 = −8x
(iv) x2 − 2x + 8y + 17 = 0
(v) y2 − 4y − 8x + 12 = 0

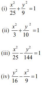
5. பின்வரும் சமன்பாடுகளின் கூம்புவளைவின் வகையைக் கண்டறிந்து அவற்றின் மையம், குவியங்கள், முனைகள் மற்றும் இயக்குவரைகள் காண்க :



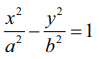
6.
என்ற அதிபரவளையத்தின் செவ்வகல நீளம் 2b2/a என நிறுவுக.

7. அதிபரவளையத்தின் மீதுள்ள புள்ளி P−இலிருந்து அதன் குவியத்தூரங்களின் வித்தியாசத்தின் மட்டு மதிப்பு குறுக்கச்சின் நீளத்திற்குச் சமம் என நிறுவுக.

8. பின்வரும் சமன்பாடுகளின் கூம்பு வளைவின் வகையைக் கண்டறிந்து அவற்றின் மையம், குவியங்கள், முனைகள் மற்றும் இயக்குவரைகளைக் காண்க :

(v) 18x2 + 12y2 − 144x + 48y + 120 = 0
(vi) 9x2 – y2 − 36x − 6y + 18 = 0


