கேள்வி பதில்கள் மற்றும் தீர்வுகள் | கணக்கு - பயிற்சி 5.3 : நேர்க்கோடு | 10th Mathematics : UNIT 5 : Coordinate Geometry
பயிற்சி 5.3
1. (1, -5) மற்றும் (4, 2) என்ற புள்ளிகளை இணைக்கும் கோட்டுத்துண்டின் நடுப்புள்ளி வழியாகச் செல்வதும், கீழ்க்கண்டவற்றிற்கு இணையானதுமான நேர்க்கோட்டின் சமன்பாட்டைக் காண்க.
(i) X அச்சு
(ii) Y அச்சு

2. 2(x − y) + 5 = 0 என்ற நேர்க்கோட்டு சமன்பாட்டின் சாய்வு, சாய்வு கோணம் மற்றும் y-வெட்டுத்துண்டு ஆகியவற்றைக் காண்க.

3. சாய்வு கோணம் 30° மற்றும் y -வெட்டுத்துண்டு -3 ஆகியவற்றைக் கொண்ட நேர்க்கோட்டின் சமன்பாட்டைக் காண்க.

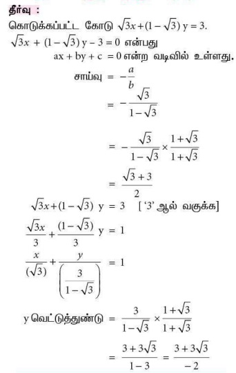
4. √3x + (1-√3) y = 3 என்ற நேர்க்கோட்டு சமன்பாட்டின் சாய்வு, y -வெட்டுத்துண்டு ஆகியவற்றைக் காண்க.

5. (-2,3) மற்றும் (8,5) என்ற புள்ளிகள் வழிச் செல்லும் கோடானது, y = ax + 2 என்ற நேர்க்கோட்டிற்குச் செங்குத்தானது எனில், 'a' -யின் மதிப்பு காண்க.

6. (19,3) என்ற புள்ளியை அடியாகக் கொண்ட குன்றானது செங்கோண முக்கோண வடிவில் உள்ளது. தரையுடன் குன்று ஏற்படுத்தும் சாய்வுக் கோணம் 45˚ எனில், குன்றின் அடி மற்றும் உச்சியை இணைக்கும் கோட்டின் சமன்பாட்டைக் காண்க.

7. கொடுக்கப்பட்ட இரு புள்ளிகள் வழிச் செல்லும் நேர்க்கோட்டின் சமன்பாட்டைக் காண்க.
(i) (2,2/3) மற்றும் (-1/2, -2)
(ii) (2, 3) மற்றும் (- 7, -1)

8. ஒரு பூனை xy -தளத்தில் (-6, -4) என்ற புள்ளியில் உள்ளது. (5,11) என்ற புள்ளியில் ஒரு பால் புட்டி வைக்கப்பட்டுள்ளது. பூனை மிகக் குறுகிய தூரம் பயணித்துப் பால் அருந்த விரும்புகிறது எனில், பாலைப் பருகுவதற்குத் தேவையான பாதையின் சமன்பாட்டைக் காண்க.

9. A(6,2), B(-5,-1) மற்றும் C(1,9) -ஐ முனைகளாகக் கொண்ட ΔABC - யின் முனை A-யிலிருந்து வரையப்படும் நடுக்கோடு மற்றும் குத்துக் கோட்டின் சமன்பாட்டைக் காண்க.

10. (-1,2) என்ற புள்ளி வழி செல்வதும், சாய்வு -5/4 உடையதுமான நேர்க்கோட்டின் சமன்பாட்டைக் காண்க.

11. நீங்கள் ஒரு பாடலைப் பதிவிறக்கம் செய்யும்போது, x வினாடிகளுக்குப் பிறகு பதிவிறக்கம் செய்யவேண்டிய மீதமுள்ள பாடலின் சதவீதம் (மெகா பைட்டில்) y-ஆனது (தசமத்தில்) y = −0.1x + 1 என்ற சமன்பாட்டின் மூலம் குறிக்கப்பட்டால்,
(i) பாடலின் மொத்த MB அளவைக் காண்க.
(ii) 75% பாடலைப் பதிவிறக்கம் செய்ய எவ்வளவு வினாடிகள் ஆகும்?
(iii) எத்தனை வினாடிகள் கழித்துப் பாடல் முழுமையாகப் பதிவிறக்கம் செய்யப்படும்?

12. கீழே கொடுக்கப்பட்டுள்ள x, y வெட்டுத்துண்டுகளைக் கொண்ட நேர்க்கோடுகளின் சமன்பாடுகளைக் காண்க.
(i) 4, –6
(ii) -5, 3/4

13. கொடுக்கப்பட்ட நேர்க்கோடுகளின் சமன்பாட்டிலிருந்து ஆய அச்சுகளின் மேல் ஏற்படுத்தும் வெட்டுத்துண்டுகளைக் காண்க.
(i) 3x − 2y − 6 = 0
(ii) 4x + 3y + 12 = 0

14. நேர்க்கோட்டின் சமன்பாட்டினைக் காண்க.
(i) (1, -4) என்ற புள்ளி வழிச் செல்வதும், வெட்டுத்துண்டுகளின் விகிதம் 2:5
(ii) (-8, 4) என்ற புள்ளி வழிச் செல்வதும், ஆய அச்சுகளின் வெட்டுத்துண்டுகள் சமம்

விடைகள்:
