எண்ணியல் கணக்குகள் பதில்கள் மற்றும் தீர்வுகள் | முக்கோணவியல் | கணக்கு - பயிற்சி 6.1: முக்கோணவியல் | 9th Maths : UNIT 6 : Trigonometry
பயிற்சி 6.1
1. கொடுக்கப்பட்ட
படத்தில், கோணம் B ஐப் பொறுத்து அனைத்து முக்கோணவியல் விகிதங்களையும் காண்க.


2. கொடுக்கப்பட்ட
படத்தில்,

(i) sin B
(ii) sec B
(iii) cot B
(iv) cos C
(v) tan C
(vi) cosec C
ஆகியவற்றைக் காண்க.

3. 2cos θ = √3 எனில், θ -வின் அனைத்து முக்கோணவியல் விகிதங்களையும் காண்க.

4.
இன்
மதிப்பைக் காண்க

5.
எனில், sin A மற்றும் tan
A இன்
மதிப்புகளை x
இல் காண்க

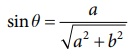
6.
எனில், b sinθ = a cosθ என நிறுவுக

7.
− இன் மதிப்பைக் காண்க

8. cos θ : sin θ = 1:2 எனில்,
இன் மதிப்பைக் காண்க

9. கொடுக்கப்பட்டுள்ள
படத்தில் θ
+ ∅ =90o என மெய்பிக்க. இப்படத்தில் மேலும் இரு செங்கோண முக்கோணங்கள் உள்ளன என்பதை மெய்ப்பித்து, sin α, cos β மற்றும்
tan ∅ ஆகியவற்றின் மதிப்புகளையும் காண்க.


10. ஒரு மாணவன் ‘O' என்ற புள்ளியில் தரையில் நின்றுகொண்டு 'P' என்ற புள்ளியில் உள்ள பட்டத்தை OP = 25 மீ என்றவாறு காண்கிறான். P இலிருந்து மேலும் 10 மீ தொலைவு நகர்ந்து Q என்ற புள்ளியில் பட்டம் உள்ள போது, தரையிலிருந்து பட்டத்தின் உயரம் ‘QN’ ஐக் காண்க (முக்கோணவியல் விகிதங்களைப் பயன்படுத்துக).

