கேள்விகளுக்கான பதில்கள், தீர்வுகள் - பயிற்சி 8.1 : நேரியல் தோராய மதிப்பு | 12th Maths : UNIT 8 : Differentials and Partial Derivatives
பயிற்சி 8.1
1. f (x) = 3√x என்க. x = 27 இல் நேரியல் தோராய மதிப்பைக் காண்க. நேரியல் தோராயமதிப்பை பயன்படுத்தி 3√27.2 ன் மதிப்பைக் காண்க.

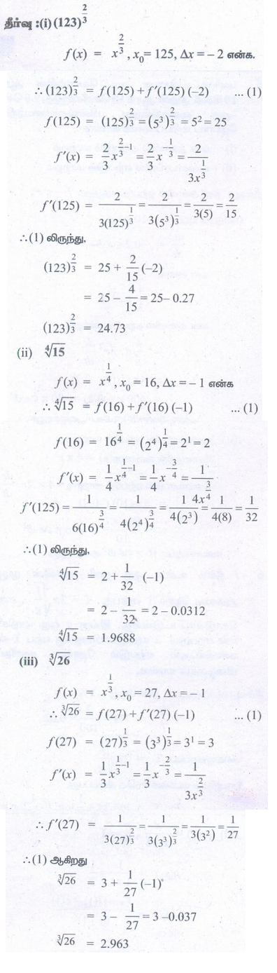
2. நேரியல் தோராய மதிப்பீட்டு முறையில் பின்வருவனவற்றின் தோராய மதிப்புகளைக் காண்க.
(i) (123)2/3
(ii) 4√15
(iii) 3√26

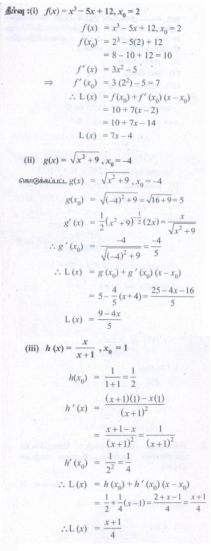
3. பின்வரும் சார்புகளுக்கு, கொடுக்கப்பட்ட புள்ளிகளில் நேரியல் தோராய மதிப்பைக் காண்க.
(i) f(x) = x3 - 5x + 12, x0 = 2
(ii) g(x) = √x2 + 9, x0 = -4
(iii) h(x) = x / x + 1, x0 = 1

4. ஒருவட்ட வடிவ தகட்டின் ஆரம் 12.65 செமீ-க்குப் பதிலாக 12.5 செமீஎன அளக்கப்படுகின்றது எனில் அதன் பரப்பு கணக்கிடுவதில் பின்வருவனவற்றை காண்க:
(i) தனிப்பிழை
(ii) சார் பிழை
(iii) சதவீதப் பிழை
'
5. பனிக்கட்டியிலான ஒரு கோளத்தின் ஆரம் 10 செமீ. அதன் ஆரம் 10 செமீலிருந்து 9.8 செமீ-ஆக குறைகின்றது. பின்வருவனவற்றின் தோராய மதிப்பினைக் காண்க:
(i) கன அளவில் ஏற்படும் மாற்றம்
(ii) வளைபரப்பில் ஏற்படும் மாற்றம்

6. l நீளம் உள்ள ஒரு தனி ஊசலின் முழு அலைவு நேரம் T என்பது T = 2π√Ɩ/ g எனகொடுக்கப்பட்டுள்ளது, இங்கு g ஒரு மாறிலி. Ɩ -ல் ஏற்படும் 2 சதவீதப் பிழைக்கு ஏற்ப T-ன் கணக்கீட்டில் ஏற்படும் தோராய சதவீதப் பிழையைக் காண்க.

7. ஒர் எண்ணின் n-ஆம் படி மூலம் கணக்கிடப்படும்போது ஏற்படும் சதவீதப் பிழைதோராயமாக, அந்த எண்ணின் சதவீதப் பிழையின் 1/n மடங்கு ஆகும் எனக்காட்டுக.

1. (i) 3.0074
2. (i) 24.73 (ii) 1.9688 (iii) 2.963
3. (i) 7x − 4 (ii) 9−4x / 4 (iii) x+1 /4
4. (i) 0.0225π cm2, (ii) 0.006 cm2 (iii) 0.6%
5. (i) வளைபரப்பு by 80π cm3 குறைகிறது (ii) வளைபரப்பு 16π cm2 குறைகிறது
6. 1%