கேள்விகளுக்கான பதில்கள், தீர்வுகள் - பயிற்சி 8.7 : சமபடித்தான சார்புகள் மற்றும் ஆய்லரின் தேற்றம்(Homogeneous Functions and Euler's Theorem) | 12th Maths : UNIT 8 : Differentials and Partial Derivatives
பயிற்சி 8.7
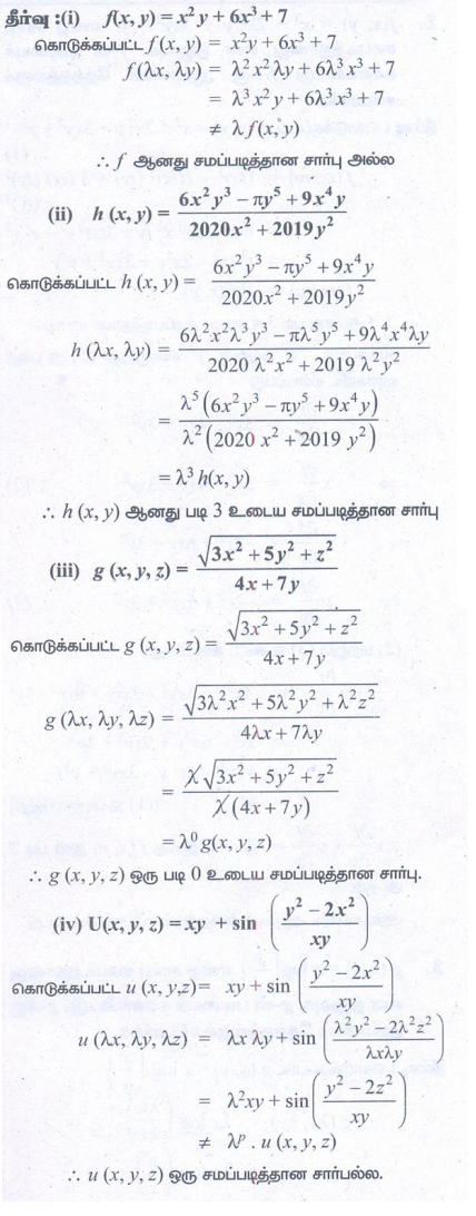
1. பின்வரும் ஒவ்வொரு சார்பும் சமபடித்தானதா இல்லையா எனக்கண்டு சமபடித்தானதுஎனில் அதன் படியையும் காண்க.
(i) f (x,y) = x2y + 6x3 + 7
(ii) h(x, y) = 6x2y3 – πy5 + 9x4y / 2020x2 + 2019y2
(iii) g(x,y,z) = √3x2 + 5y2 + z2 / 4x + 7y
(iv) U (x, y, z) = xy + sin (y2 – 2z2 / xy)

2. f (x,y) =x3 - 2x2y + 3xy2 + y3 என்ற சார்பு சமபடித்தானது என நிறுவுக. f -ன் படியைக்கணக்கிட்டு f -க்கு ஆய்லரின் தேற்றத்தைச் சரிபார்க்க.

3. g(x,y) = x log(y/x) என்ற சார்பு சமபடித்தானது என நிறுவுக; g -ன் படியைக் கணக்கிட்டு, g-க்கு ஆய்லரின் தேற்றத்தைச் சரிபார்க்க.

4. u(x,y) = x2 + y2 / √x + y ,எனில் x ∂u /∂x + y ∂u / ∂y = 3/2 uஎன நிறுவுக.

5. v(x,y) = log (x2 + y2 / x+y) எனில் x ∂v /∂x + y ∂v/ ∂y = 1என நிறுவுக.

6. w(x, y, z) = log (5x3y4 + 7y2xz4 – 75y3z4 / x2 + y2) எனில் x ∂w /∂x + y ∂w/ ∂y + z ∂w/ ∂z -ஐக் காண்க

விடைகள் :
1. (i) சமப்படித்தான சார்பு அல்ல (ii) சமப்படித்தான சார்பு ஆகும் (iii) சமப்படித்தான சார்பு ஆகும் (iv)