கேள்விகளுக்கான பதில்கள், தீர்வுகள் - பயிற்சி 9.4 : பெர்னோலி சூத்திரம் (Bernoulli's Formula) | 12th Maths : UNIT 9 : Applications of Integration
Posted On : 18.09.2022 08:45 pm
12 ஆம் வகுப்பு கணிதம் : அத்தியாயம் 9 : தொகை நுண்கணிதத்தின் பயன்பாடுகள்
பயிற்சி 9.4 : பெர்னோலி சூத்திரம் (Bernoulli's Formula)
கணக்கு புத்தக பயிற்சி வினாக்கள் மற்றும் தீர்வுகள் - கணிதவியல் : தொகை நுண்கணிதத்தின் பயன்பாடுகள் : பெர்னோலி சூத்திரம் (Bernoulli's Formula) : சோதனை வினாக்களுக்கான கேள்வி பதில், தீர்வுகள்
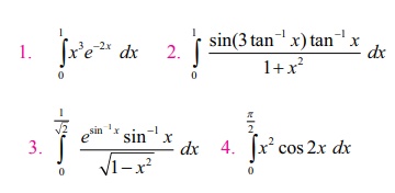
பயிற்சி 9.4
பின்வருவனவற்றை மதிப்பிடுக:


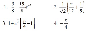
விடைகள் :
