வரையறை, சூத்திரம், தீர்க்கப்பட்ட எடுத்துக்காட்டு கணக்குகள், பயிற்சி | கணிதம் - முடிவுறு தொடர்கள் | 11th Mathematics : UNIT 5 : Binomial Theorem, Sequences and Series
முடிவுறு தொடர்கள் (Finite Series)
பொதுவாக, எண்களாலான ஒரு தொடர்முறையின் உறுப்புகளின் கூடுதல், தொடர் எனப்படும். உறுப்புகளின் எண்ணிக்கை முடிவுறு எண்ணாக இருக்குமானால் அது முடிவுறு தொடர் (Finite Series) எனப்படும். (an) என்பது தொடர்முறை எனில், a1 + a2 +... + an என்பது ஒரு முடிவுறு தொடர் ஆகும். a1 + a2 +... + an என்பது
என குறிக்கப்படும். சில நேரங்களில் வினாக்களின் முக்கியத்துவம் மற்றும் எளிமையைப் பொறுத்து ஒரு தொடர் a0 + a1 + a2 +... என வழங்கப்படலாம். இதன் முதல் உறுப்பு a0 ஆகும்.
1. கூட்டு, பெருக்கு மற்றும் கூட்டுப் பெருக்குத் தொடர் முறைகளின் கூடுதல் (Sum of Arithmetic, Geometric and Arithmetico-Geometric Progressions)
முந்தைய வகுப்புகளில் நாம் கூட்டுத்தொடர், பெருக்குத் தொடர் ஆகியவற்றின் குறிப்பிட்ட சில உறுப்புகள் வரையிலான கூடுதல் அல்லது முதல் n உறுப்புக்களின் கூடுதல் காண்பது பற்றி அறிந்துள்ளோம். இப்போது அவற்றை நினைவு கூர்வோம்.
கூட்டு மற்றும் பெருக்குத் தொடர் முறைகளின் கூடுதல் (Sum of Arithmetic and Geometric Progressions)
● ஒரு தொடரின் உறுப்புகள் கூட்டுத் தொடர் முறையில் இருக்குமானால் அந்த தொடர் கூட்டுத்தொடர் (Arithmetic Series) எனப்படும். இதுபோல் ஒரு தொடரின் உறுப்புகள் பெருக்குத்தொடர் முறையில் இருக்குமானால் அது பெருக்குத் தொடர் (Geometric Series) எனப்படும்.
● ஒரு கூட்டுத்தொடர் முறை (a + (n – 1)d) -ன் முதல் n உறுப்புகளின் கூடுதல்

● பெருக்குத்தொடர் முறை (arn-1)-ன் முதல் n உறுப்புகளின் கூடுதல். 
இங்கு, r ≠ 1, எனில், அந்த பெருக்குத் தொடர் முறை ஒரு மாறிலித் தொடர் a,a,a.... ஆக இருக்கும். எனவே, அதன் முதல் உறுப்புகளின் கூடுதல் na என எளிதில் அறியலாம். அதனால், r ≠ 1 எனில், 
கூட்டு – பெருக்குத் தொடரின் கூடுதல் (Sum of Arithmetico-Geometric Progressions)
● ஒரு தொடரின் உறுப்புகள் கூட்டு - பெருக்குத் தொடர் முறையில் இருக்குமானால் அது கூட்டு - பெருக்குத் தொடர் (Arithmetico-Geometric Series) எனப்படும்.
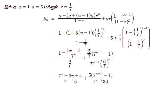
● ((a + (n - 1)d)rn-1) என்ற கூட்டு பெருக்குத் தொடர்முறையின் முதல் n உறுப்புகளின் கூடுதல் 
எடுத்துக்காட்டு 5.16
என்ற கூட்டு - பெருக்குத் தொடரின் முதல் n உறுப்புகளின் கூடுதல் காண்க.
தீர்வு:

முடிவுறு அல்லது முடிவுறா தொடர்களின் கூடுதல் காண பொதுவாக பயன்படுத்தும் முறை தொலை நோக்கி கூடுதல் ஆகும். இந்த முறையில் கொடுக்கப்பட்ட தொடரின் உறுப்புகளின் கூடுதலை இரண்டு உறுப்புகளின் மூலம் காணலாம். வழக்கமாக முதல் உறுப்பு மற்றும் கடைசி உறுப்பு தவிர மற்ற உறுப்புகள் ஒன்றையொன்று நீக்கிக் கொள்ளும். இடைப்பட்ட உறுப்புகளை நீக்கிய பின்பு, தொலைவில் இருந்த கடைசி உறுப்பு முதல் உறுப்பிற்கு வெகு அருகில் இருக்கும். எனவே இந்த முறை தொலைநோக்கி கூடுதல் (Telescopic Summation) எனப்படும். இந்த முறையைப் பயன்படுத்தி சில கணக்குகளைச் செய்யலாம்.
எடுத்துக்காட்டு 5.17
என்ற தொடரின் முதல் n உறுப்புகளின் கூடுதல் காண்க.
தீர்வு:
கொடுக்கப்பட்ட தொடரின் k ஆவது உறுப்பு tk என்க.
இதை இரு கோவைகளின் வித்தியாசமாக எழுதினால் தொலைநோக்கி கூடுதல் முறை மூலம் தீர்க்கலாம்.
எனவே,

எடுத்துக்காட்டு 5.18
-ன் மதிப்பு காண்க.
தீர்வு :

1. ஒரு கூட்டுத் தொடரின் முதல் 10 உறுப்புகளின் கூடுதல் 52 மற்றும் முதல் 15 உறுப்புகளின் கூடுதல் 77 எனில், முதல் 20 உறுப்புகளின் கூடுதல் காண்க.
2.
என்ற தொடரின் முதல் 17 உறுப்புகளின் கூடுதல் காண்க.
3. பின்வரும் தொடர்களின் முதல் n உறுப்புகளின் கூடுதல் காண்க.
(i) 8+88+888+8888+...
(ii) 6 + 66 + 666 + 6666 +....
4. 1 + (1 + 4) + (1 + 4 + 42) + (1 + 4 + 42 + 43) +... என்ற தொடரின் முதல் n உறுப்புகளின் கூடுதல் காண்க.
5.
என்ற தொடர் முறையின் n ஆவது உறுப்பு மற்றும் முதல் n உறுப்புகளின் கூடுதல் காண்க.
6.
என்ற தொடரின் n உறுப்புகளின் கூடுதல் 435√3 எனில், n -ன் மதிப்பு காண்க.
7. ஒரு கூட்டுத்தொடர்முறையின் (m+n) ஆவது மற்றும் (m-n) ஆவது உறுப்புகளின் கூடுதல் m ஆவது உறுப்பைப்போல் இருமடங்கு என நிறுவுக.
8. ஒருவர் ₹3250 என்ற தொகையை முதல் மாதம் ₹20-ம் அடுத்தடுத்த ஒவ்வொரு மாதமும் ₹15 அதிகப்படுத்தியும் செலுத்தி வருகின்றார் எனில், அவர் அந்தத் தொகையை முழுமையாக திருப்பிச் செலுத்த எத்தனை மாதங்கள் ஆகும்?
9. ஒரு பந்தயத்தில் 20 பந்துகள் ஒவ்வொன்றும் 4மீ இடைவெளியில் ஒரே நேர்க்கோட்டில் வைக்கப்படுகின்றன. முதல் பந்திற்கும் தொடக்கப்புள்ளிக்கும் உள்ள இடைவெளி 24மீ. ஒரு போட்டியாளர் ஒரு நேரத்தில் ஒரு பந்து வீதம் எல்லா பந்துகளையும் தொடக்கப்புள்ளிக்கு கொண்டுவந்து சேர்க்க எவ்வளவு தூரம் ஓட வேண்டும்.
10. நுண்ணுயிர் வளர்ச்சியில் ஒவ்வொரு மணி நேரத்திற்கும் நுண்ணுயிரிகளின் எண்ணிக்கையானது அதன் முந்தைய மணி நேரத்தில் உள்ளது போல் இரு மடங்காகிறது. ஆரம்பத்தில் 30 நுண்ணுயிர்கள் இருக்குமானால் 2 ஆவது, 4 ஆவது மற்றும் n ஆவது மணிநேர முடிவில் எத்தனை நுண்ணுயிர்கள் இருக்கும்.
11. ஒரு வங்கியில் செலுத்தப்பட்ட ₹500 ஆனது, 10% தொடர் வட்டி வீதத்தில், 10 ஆண்டுகளில் எவ்வளவாக மாறும்.
12. ஒரு நகரத்தில், வைரஸ் நோயினால் ஏற்பட்ட சுகாதார கேட்டினால் மக்களின் இயல்பு வாழ்க்கை பாதிக்கப்பட்டிருந்தது. ஒவ்வொரு நாளும் அந்த நோய் தாக்கும் வைரஸ் கிருமிகள் ஒரு பெருக்குத் தொடர் முறையில் பரவி வருகிறது. இந்த தொற்று கிருமிகள் ஒவ்வொரு நாளும் அதன் முந்தைய நாளைப் போல் இருமடங்காக பெருகுகிறது. முதல் நாளில் அதன் எண்ணிக்கை 5 எனில், அந்த கிருமிகளின் எண்ணிக்கை எந்த நாளில் 1,50,000-க்கு அதிகமாக இருக்கும் எனக் காண்க.
இப்பகுதியில் நாம் AP, GP மற்றும் ஏதேனும் குறிப்பிட்ட தொடர்களின் முடிவுறு உறுப்புகளின் கூடுதல் காண சில முக்கிய சூத்திரங்களைக் காணலாம்.
1. முதல் n இயல் எண்களின் கூடுதல்

(இதை AP இல் இருப்பதாகக் கொண்டு கூடுதலைக் காணலாம்.)
2. முதல் n இயல் எண்களின் வர்க்கங்களின் கூடுதல்

[a3 - b3 = (a - b)(a2 + ab + b2) என்ற முற்றொருமையைப் பயன்படுத்தி நிரூபிக்கலாம்.]
3. முதல் n இயல் எண்களின் கணங்களின் கூடுதல்

[k4-(k-1)4 = (4k3 – 6k2 + 4k - 1) என்ற முற்றொருமையைப் பயன்படுத்தி, மேற்கண்ட முடிவை நிரூபிக்க.]
இந்த முடிவுகள் முந்தைய வகுப்புகளில் நிரூபிக்கப்பட்டுள்ளன என்பதை நினைவில் கொள்க.