தொகை நுண்கணிதத்தின் பயன்பாடுகள் | கணிதவியல் - முறையற்ற தொகையீடுகள் (Improper Integrals) | 12th Maths : UNIT 9 : Applications of Integration
முறையற்ற தொகையீடுகள் (Improper Integrals)
ரீமன் தொகையிடுதல் a∫b f ( x)dx -ஐ வரையறுக்கும்போது (a,b] என்ற இடைவெளியில் தொகையிடுதலின் மதிப்பு முடிவுறு எண்ணாக இருக்கும். f (x) என்பது (a,b]-ன் ஒவ்வொரு புள்ளியிலும் முடிவுறு எண்ணாக இருக்கும். இயற்பியல் பயன்பாடுகளில் பல இடங்களில்
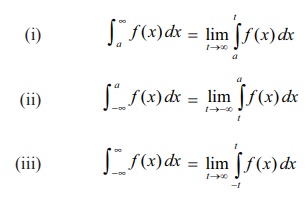
a∫∞ f ( x) dx , a∫− ∞ f ( x) dx , ∞∫−∞ f ( x) dx ,
எனும் தொகையீடுகள் வருகின்றன. இங்கு a என்பது ஒரு மெய் எண் மற்றும் f (x) ஆனது தொகையீடு காணக்கூடிய இடைவெளியில் ஒரு தொடர்ச்சியான சார்பாகும். இவ்வகை தொகையீடுகளை ரீமன் தொகையிடலின் எல்லைகள் ஆகும். அவை :

இவ்வகை தொகையீடுகள் முறையற்ற தொகையிடுதலின் முதல் வகையாகும். எல்லை காண முடியுமெனில் முறையற்ற தொகையிடல்கள் ஒருங்கும் என்போம்.
குறிப்பு
அடிப்படைத் தொகை நுண்கணிதத் தேற்றத்தின்படி F(t) எனும் சார்பிற்கு
ppp f (x)dx = F(t) - F(a) எனப் பெறலாம்.
