அலை ஒளியியல் | இயற்பியல் - குறுக்கீட்டு விளைவு | 12th Physics : UNIT 7 : Wave Optics
குறுக்கீட்டு விளைவு (Interference)
இரண்டு ஒளி அலைகள் கூடுவதால் அல்லது அவ்வொளி
அலைகள் ஒன்றின் மீது மற்றொன்று மேற்பொருந்துவதால் ; சில புள்ளிகளில் ஒளிச்செறிவு அதிகரிக்கும்,
வேறுசில புள்ளிகளில் ஒளிச்செறிவு குறையும் நிகழ்வுக்கு ஒளியின் குறுக்கீட்டு விளைவு
என்று பெயர். மேற்பொருந்தல் என்பது ஒளி அலைகளின் கூடுதலைக் குறிக்கிறது. இயந்திர அலைகளின்
மேற்பொருந்துதலைப்பற்றி XI ஆம் வகுப்பில் பயின்றோம். (XIth இயற்பியல்
11.7) இரண்டு ஒளி அலைகள் ஒரே நேரத்தில் ஊடகத்திலுள்ள துகளின் வழியே செல்லும்போது தொகுபயன்
இடப்பெயர்ச்சியானது ஒவ்வொரு அலையினாலும் துகளின் மீது ஏற்படுத்தும் தனித்தனி இடப்பெயர்ச்சிகளின்
வெக்டர் கூடுதலுக்குச் சமம். மேற்பொருந்தும் அலைகளுக்கு இடையே உள்ள கட்டவேறுபாட்டைப்
பொருத்து, தொகுபயன் இடப்பெயர்ச்சி பெருமமாகவோ அல்லது சிறுமமாகவோ இருக்கும்.
இக்கருத்துக்கள் ஒளியியலில் பின்வருமாறு பயன்படுத்தப்படுகின்றன.
S1 மற்றும் S2 என்ற இரண்டு ஒளிமூலங்களிலிருந்து வரும் ஒளி அலைகளைக்
கருதுக. அவை P என்ற புள்ளியில் சந்திக்கின்றன. இது படம் 6.52 இல் காட்டப்பட்டுள்ளது.

t நேரத்தில் S1 ஒளிமூலத்தில் இருந்து P புள்ளியை அடையும் அலை,

t நேரத்தில் S2 ஒளிமூலத்தில் இருந்து
P புள்ளியை அடையும் அலை,

இவ்விரண்டு அலைகளும், வெவ்வேறு வீச்சுகளையும்
(a1 மற்றும் a2) ஒரே கோண அதிர்வெண்ணையும் ɷ, மற்றும்
Ø என்ற கட்ட வேறுபாட்டையும் பெற்றுள்ளன. இவ்விரண்டு அலைகளினால் ஏற்பட்ட தொகுபயன் இடப்பெயர்ச்சி,

XI-ம் வகுப்பில் பயின்ற (அலகு 11.7) முக்கோணவியல்
முற்றொருமைகளைப் பயன்படுத்தி இச்சமன்பாட்டைத் தீர்வு செய்யும்போது, பின்வரும் சமன்பாடு
கிடைக்கும்,


ஒளிச்செறிவு, வீச்சின் இருமடிக்கு நேர்விகிதத்தில்
இருக்கும்

இப்பொழுது, சமன்பாடு 6.121 பின்வருமாறு மாற்றமடையும்.

சமன்பாடு 6.126 இல் கட்டவேறுபாடு Ø = 0, ±
2π,
± 4π.....
என்பது ஒளியின் பெருமச் செறிவிற்கான நிபந்தனையாகும். இதற்கு ஆக்கக்குறுக்கீட்டு விளைவு
என்று பெயர்.
தொகுபயன் பெரும ஒளிச்செறிவு,

சமன்பாடு 6.126இல் கட்டவேறுபாடு = Ø = ±2π, + 3π ± 5 π.....,
என்பது ஒளியின் சிறுமச் செறிவிற்கான நிபந்தனையாகும். இதற்கு அழிவுக்குறுக்கீட்டு விளைவு
என்று பெயர்.
தொகுபயன் சிறும ஒளிச்செறிவு,

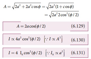
சிறப்பு நேர்வாக a1 = a2
= a எனில், சமன்பாடு 6.121 பின்வருமாறு மாற்றமடையும்,


இரண்டு ஒளி அலைகளும் சந்திக்கும் புள்ளியில்
ஏற்படும் ஒளிச்செறிவை, இவ்விரண்டு அலைகளுக்கிடையே உள்ள கட்ட வேறுபாடு Ø தீர்மானிக்கிறது
என்பதை இதிலிருந்து நாம் அறியலாம்.
எடுத்துக்காட்டு
6.24
5 அலகு மற்றும் 3 அலகு வீச்சுகள் கொண்ட இரண்டு
ஒளிமூலங்கள் ஒன்றுடன் ஒன்று மேற்பொருந்துகின்றன. அவற்றின் பெரும மற்றும் சிறும ஒளிச்செறிவுகளுக்கு
இடையேயான விகிதத்தைக் காண்க.
தீர்வு
வீச்சுகள், a1 = 5, a2=
3
தொகுபயன் வீச்சு,

எடுத்துக்காட்டு 6.25
சமவீச்சு கொண்ட இரண்டு ஒளி மூலங்கள் குறுக்கீட்டு
விளைவை ஏற்படுத்துகின்றன. பெரும மற்றும் சிறும ஒளிச்செறிவுகளுக்கு இடையேயுள்ள விகிதத்தைக்
காண்க.
தீர்வு
ஒளியின் வீச்சினை a என்க.
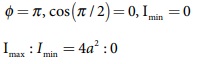
ஒளிச் செறிவு, I ∝ 4a2 cos2 (Ø/2)
அல்லது I = 4I0 cos2
(Ø/2)
பின்வரும்
நிபந்தனையின்படி, தொகுபயன் ஒளிச்செறிவு பெருமமாகும்.

பின்வரும் நிபந்தனையின்படி, தொகுபயன் வீச்சு
சிறுமமாகும்.

எடுத்துக்காட்டு
6.26
I0 ஒளிச்செறிவு கொண்ட இரண்டு ஒளி
மூலங்கள் உள்ளன. இவ்விரண்டு ஒளி அலைகளுக்கிடையேயான கட்டவேறுபாடு π/3 ஆக
உள்ள புள்ளியில், தொகுப்பயன் ஒளிச்செறிவைக் காண்க.
தீர்வு
ஒளிமூலங்களின் ஒளிச்செறிவு I0
தொகுபயன் ஒளிச்செறிவு, I =4 I0
cos2 (Ø/2)
கட்டவேறுபாடு, Ø = π /3யாக
உள்ள புள்ளியில் தொகுபயன் ஒளிச்செறிவு I = 4I0 cos2 (π/6)
I =4I0 (√3/2)2 = 3 I0
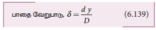
அதிர்வு ஒன்றின் கோணநிலைக்குக் கட்டம்
(Phase) என்று பெயர். அலை பரவும்போது, அலையில் உள்ள அதிர்வின் கட்டநிலைக்கும், அலை
கடந்து சென்ற பாதைக்குமிடையே ஒரு தொடர்பு உள்ளது. அலை ஒன்றின் கட்ட நிலையை, அவ்வலை
கடந்து சென்ற பாதையின் அடிப்படையில் விவரிக்க இயலும். இதே போன்று அலை கடந்து சென்ற
பாதையை, அவ்வலையின் கட்டநிலையின் அடிப்படையிலும் விவரிக்கலாம். அலை ஒன்றின் பாதை படம்
6.53 இல் காட்டப்பட்டுள்ளது. ஓர் அலைநீளம் λ விற்குச்
சமமான கட்டம் 27 ஆகும். கட்டவேறுபாட்டிற்குச் சமமான பாதை வேறுபாடு (δ) பின்வருமாறு

ஆக்கக் குறுக்கீட்டு விளைவிற்கு , கட்டவேறுபாடு
Ø = 0, 2π, 4π . . . எனவே, பாதைவேறுபாடு δ =
0, λ, 2λ . . . பொதுவாக அலைநீளத்தின் முழு எண் மடங்காக
இருக்கும்.

அழிவுக் குறுக்கீட்டு விளைவிற்குக் கட்ட வேறுபாடு
Ø = π,
3π, 5π . . . எனவே, பாதை வேறுபாடு
δ = λ/2, 3λ/2………………..
பொதுவாக அரை அலைநீளத்தின் முழு எண் மடங்காக
இருக்கும்.

எடுத்துக்காட்டு
6.27
450 nm அலைநீளமுடைய ஒளி ஒன்றின் பாதை வேறுபாடு
3 mm எனில், அதற்குச் சமமான கட்ட வேறுபாட்டைக் காண்க.
தீர்வு
அலைநீளம், λ =
450 nm = 450X10-9m
பாதை வேறுபாடு, δ
=3mm = 3x10-3m
கட்டவேறுபாட்டிற்கும், பாதைவேறுபாட்டிற்கும்
உள்ள தொடர்பு, Ø = 2 π/λ x δ
மதிப்புகளை பிரதியிடும் போது,

இரண்டு அலை மூலங்கள் ஓரியல் மூலங்களாக இருக்கவேண்டுமெனில்,
அவை இரண்டும் ஒரே கட்ட வேறுபாட்டைக் கொண்ட அல்லது கட்டவேறுபாடு அற்ற அலைகளை உருவாக்கவேண்டும்.
மேலும் அவ்விரண்டு அலைமூலங்களும் ஒரே அதிர்வெண் அல்லது அலைநீளம் (ஒற்றை நிறம்) கொண்ட
அலைகளை உருவாக்க வேண்டும். அவ்வலைகள் ஒரே வீச்சுகொண்ட அலைவடிவம் கொண்டதாய் இருப்பதும்
விரும்பத்தக்கது.
ஓரியல் தன்மை அலைகளின் பண்பாகும். இப்பண்பு
நிலையான குறுக்கீட்டு அமைப்பைப் பெறுவதற்கு அடிப்படையாகும்.
இரண்டு தனித்தனி ஒற்றை நிற ஒளிமூலங்கள் ஓரியல்
மூலங்கள் ஆகாது. ஏனெனில், அவை ஒரே அதிர்வெண் மற்றும் ஒரே வீச்சு கொண்ட அலைகளை உருவாக்கலாம்
ஆனால், அவ்வொளிமூலங்களினால் ஒரே கட்டத்தில் உள்ள அலைகளை உருவாக்க முடியாது. இதற்கான
காரணம் என்னவென்றால், அணுக்கள் ஒளியை உமிழும்போது ஏற்படும் வெப்ப அதிர்வின் காரணமாகக்
கட்டமாற்றம் ஏற்படுகின்றது. எனவே, தனித்தனி ஒளி மூலங்கள் எப்போதும் ஓரியல் மூலங்களாகச்
செயல்பட முடியாது.
ஓரியல் ஒளி அலைகளைப் பின்வரும் மூன்று வழிமுறைகளில்
பெறலாம். அவை,
(i) ஒளிச்செறிவு அல்லது வீச்சுப்பிரிப்பு
(ii) அலைமுகப்புப் பிரிப்பு
(iii) ஒளிமூலம் மற்றும் பிம்பங்கள்.
(i) ஒளிச்செறிவு
அல்லது வீச்சுப் பிரிப்பு: பகுதி வெள்ளிபூசப்பட்ட கண்ணாடி (கற்றைப் பிரிப்பான்)
வழியே ஒளியைச் செலுத்தும்போது, ஒரே நேரத்தில் ஒளி எதிரொளிப்பு மற்றும் ஒளிவிலகல் இரண்டும்
ஏற்படும். ஒரே ஒளிமூலத்திலிருந்து இரண்டு ஒளிக்கற்றைகளைப் பெறுவதால், பிரிக்கப்பட்ட
இவ்விரண்டு ஒளிக்கற்றைகளும் ஓரியல் ஒளிக்கற்றைகளாகச் செயல்படும். படம் 6.54 இல் காட்டியுள்ளவாறு
இவ்விரண்டு ஓரியல் ஒளிக்கற்றைகளும் ஒரே கட்டத்தில் அல்லது மாறாத கட்ட வேறுபாட்டில்
உள்ளன.

(ii)
அலைமுகப்புப் பிரிவு: ஓரியல் ஒளிமூலங்களைப் பெறுவதற்கான பொதுவான ஒருமுறை
அலைமுகப்புப்பிரிப்பு ஆகும். நாம் அறிந்தபடி. புள்ளி ஒளிமூலம் ஒன்று கோளக அலைமுகப்பை
ஏற்படுத்தும். இந்த அலைமுகப்பில் உள்ள ஒவ்வொரு புள்ளியும் ஒரே கட்டத்தில் இருக்கும்.
இரட்டைப் பிளவு ஒன்றினைப் பயன்படுத்தி அலை முகப்பிலுள்ள இண்டு புள்ளிகளைத் தேர்வு செய்தால்
அவ்விரண்டு புள்ளிகளும் ஓரியல் ஒளிமூலங்களாகச் செயல்படும். இது படம் 6.55 இல் காட்டப்பட்டுள்ளது.

(iii)
ஒளிமூலம் மற்றும் பிம்பங்கள் : இம்முறையில் ஒளிமூலமும் அதன்
பிம்பமும் ஓரியல் ஒளிமூலத்தொகுப்பாகச் செயல்படுகின்றன. ஏனெனில், ஒளி மூலமும் அதன் பிம்பமும்
ஒத்த கட்டத்தில் உள்ள அல்லது ஒரே கட்ட வேறுபாட்டையுடைய ஒளி அலைகளைக் தோற்றுவிக்கும்.
இது படம் 6.56 இல் காட்டப்பட்டுள்ளது . ப்ரனெல் (Fresnel's) இரட்டை முப்பட்டகத்தில்;
இரண்டு மாய ஒளி மூலங்கள் ஓரியல்மூலங்களாகச் செயல்படுகின்றன. மேலும் லாயிட்
(Lloyds) கண்ணாடியில் ஒரு ஒளி மூலமும் அதன் மாய பிம்பமும் இரண்டு ஓரியல் மூலங்களாகச்
செயல்படுகின்றன.

அலைமுகப்புப் பிரிப்பு தத்துவத்தை அடிப்படையாகக்
கொண்டு இரட்டைப் பிளவு செயல்படுகின்றது. ஒற்றை நிற ஒளிமூலம் S ஒன்றினால் ஒளியூட்டப்பட்ட
S1 மற்றும் S2 என்ற இரண்டு பிளவுகள், ஓரியல் ஒளிமூலங்களாகச்
செயல்படுகின்றன. இந்த ஓரியல் ஒளிமூலங்களிலிருந்து வரும் ஒளி அலைகள் ஒரே ஊடகத்தில் பயணம்
செய்து, படம் 6.57(அ) இல் காட்டியுள்ளவாறு , வெவ்வேறுபுள்ளிகளில் ஒன்றுடன் ஒன்று மேற்பொருந்துகின்றன.
அலைகளின் முகடு தொடர்ச்சியான கருமை கோடுகளினாலும் அகடு தொடர்ச்சியற்ற கோட்டினாலும்
காட்டப்பட்டுள்ளன.

ஓர் அலையின் அகடும், மற்றோர் அலையின் அகடும் அல்லது ஓர் அலையின் முகடும் மற்றோர் அலையின் முகடும் சந்திக்கும் புள்ளிகளில் உள்ள அலைகள் ஒத்த கட்டத்தில் உள்ளன. எனவே, பெரும் இடப்பெயர்ச்சி ஏற்பட்டு அப்புள்ளிகள் பெரும ஒளிச்செறிவுடன் காட்சி அளிக்கும். இவ்வாறு ஏற்படும் குறுக்கீட்டு விளைவிற்கு ஆக்கக் குறுக்கீட்டு விளைவு என்று பெயர்.
ஓர் அலையின் முகடும், மற்றோர் அலையின் அகடும்
சந்திக்கும் புள்ளிகளில் உள்ள அலைகள் வெவ்வேறு கட்டத்தில் இருக்கும். எனவே, சிறும்
இடப்பெயர்ச்சி ஏற்பட்டு அப்புள்ளிகள் கருமையாகக் காட்சியளிக்கும். இவ்வாறு ஏற்படும்
குறுக்கீட்டு விளைவிற்கு அழிவுக் குறுக்கீட்டு விளைவு என்று பெயர்.
திரையில் அடுத்தடுத்துப் பெரும மற்றும் சிறும ஒளிச்செறிவுகள் தோன்றும். இவ்வாறு திரையில் தோன்றும் பொலிவு மற்றும் கரும்பட்டைகள் குறுக்கீட்டுப் பட்டைகள் என அழைக்கப்படுகின்றன.
தாமஸ் யங் என்ற பிரிட்டிஷ் இயற்பியல் அறிஞர்
படம் 6.58 இல் காட்டியுள்ளவாறு, ஒளிபுகாத்திரையில் S1 மற்றும் S2
என்ற இரண்டு துளைகளை ஏற்படுத்தி அவை S என்ற ஒளிமூலத்திலிருந்து சமதொலைவில் இருக்கும்படி
அமைத்தார். ஒவ்வொரு துளையின் அகலமும் 0.03 mm இவ்விரண்டு துளைகளும் 0.3 mm தொலைவில்
பிரித்து வைக்கப்பட்டன. துளைகள் S1 மற்றும் S2 இரண்டு ஒளிமூலம்
S இல் இருந்து சமதொலைவில் உள்ளதால், ஒளிமூலம் S இலிருந்து S1 மற்றும் S2
வை அடையும் அலைகள் ஒத்தகட்டத்தில் இருக்கும். எனவே, குறுக்கீட்டு விளைவை ஏற்படுத்தும்
ஓரியல் மூலங்களாக S1 மற்றும் S2 பிளவுகள் செயல்பட்டுக் குறுக்கீட்டு
விளைவை ஏற்படுத்தும்.

பிளவுகள் S1 மற்றும் S2
விலிருந்து வரும் அலைமுகப்புகள் இரட்டைப்பிளவின் வலப்பக்கமாக ஒன்றுடன் ஒன்று மேற்பொருந்துகின்றன.
பிளவுகளிலிருந்து சுமார் 1 m தொலைவில் XY என்ற திரையினை வைக்கும் போது, அத்திரையில்
சம அகலமுடைய பொலிவு மற்றும் கரும் பட்டைகள் அடுத்தடுத்துத் தோன்றுகின்றன. இதற்கு குறுக்கீட்டுப்பட்டைகள்
அல்லது குறுக்கீட்டு வரிகள் என்று பெயர். கண்ணருகுவில்லை ஒன்றைப் பயன்படுத்தி இக்குறுக்கீட்டுப்
பட்டைகளை நேரடியாகக் காணலாம்.
S1 S2 விலிருந்து திரையின்
மையப்புள்ளி O வை அடையும் ஒளி அலைகள், சமதொலைவைக் கடந்துவந்துள்ளதால் அவை படம்
6.58 இல் காட்டியுள்ளவாறு ஒத்த கட்டத்தில் இருக்கும். இவ்விரண்டு அலைகளும் ஆக்கக்குறுக்கீட்டு
விளைவை ஏற்படுத்தி, மையப்புள்ளி O வில் பொலிவுப்பட்டையை உருவாக்கும். இதற்கு மையப்
பொலிவுப்பட்டை என்று பெயர். ஏதேனும் ஒரு பிளவை மூடிவிட்டால் குறுக்கீட்டுப்பட்டைகள்
மறைந்து திரை சீராக ஒளியூட்டப்பட்டிருக்கும். இதிலிருந்து, திரையில் தோன்றும் பொலிவு
மற்றும் கரும் பட்டைகள் ஒளியின் குறுக்கீட்டு விளைவினால் ஏற்பட்டவை என்பதை அறியலாம்.
பாதை வேறுபாட்டிற்கான சமன்பாடு
ஓரியல் மூலங்களாகச் செயல்படும் S1
மற்றும் S2 பிளவுகளுக்கிடையே உள்ள தொலைவு d என்க. இவை λ அலைநீளமுடைய
ஒளி அலைகளை உருவாக்கும். இரட்டைப்பிளவுகளுக்கு இணையாக D தொலைவில் திரை ஒன்று வைக்கப்பட்டுள்ளது.
S1 மற்றும் S2 க்கு நடுவே உள்ள புள்ளியை C என்க. மேலும், திரையின்
மையப்புள்ளி O. S1 மற்றும் S1 விலிருந்து சமதொலைவில் உள்ளது.
திரையில் மையப்புள்ளி O விலிருந்து Y தொலைவில் உள்ள ஏதேனும் ஒரு புள்ளியை P என்க
.S1 S2 விலிருந்து P புள்ளியை அடையும் ஒளி அலைகள், அவற்றிற்கு
இடையே உள்ள பாதை வேறுபாட்டைப் பொருத்து, ஒத்த கட்டத்திலோ அல்லது வேறுபட்ட கட்டத்திலோ
இருக்கும்.

S1 மற்றும் S2 விலிருந்து
P புள்ளியை அடையும் ஒளி அலைகளுக்கு இடையேயுள்ள பாதை வேறுபாட்டை δ என்க
. δ = S2P –
S1P.
S1 இல் இருந்து, S2P
கோட்டிலுள்ள M புள்ளிக்கு வரையப்பட்ட செங்குத்துக் கோட்டிலிருந்து பாதை வேறுபாட்டைத்
துல்லியமாகக் கணக்கிடலாம்.

C புள்ளியிலிருந்து, P புள்ளி அமைந்துள்ள கோணநிலையை
θ என்க
. ∠OCP = θ வடிவியல்
விதிகளின் படி,
கோணங்கள் ∠OCP மற்றும் ∠S2S1M ஆகியவை சமம்.
∠OCP
= ∠S2S1 M
= θ
செங்கோண முக்கோணம் ΔS1S2M
இல், பாதைவேறுபாடு S2M = d sin θ

கோணம் θ சிறியது.
எனவே, sin θ - tan θ ͠ θ
செங்கோண முக்கோணம் ΔOCP,
tanθ =
Y/D

பாதை வேறுபாட்டின் நிபந்தனையைப் பொருத்து,
புள்ளி P யில் பொலிவுப் பட்டையோ அல்லது கரும் பட்டையோ தோன்றும்.
பொலிவுப்பட்டை அல்லது பெருமத்திற்கான நிபந்தனை
ஆக்க குறுக்கீட்டு விளைவு அல்லது P புள்ளியில்
பொலிவுப்பட்டை தோன்ற நிபந்தனை பின்வருமாறு,
பாதைவேறுபாடு, δ = nλ
இங்கு , n = 0,1,2,...
dy/D = nλ

P புள்ளியில் பொலிவுப்பட்டை தோன்ற இதுவே நிபந்தனையாகும்.
இங்கு Yn என்பது O விலிருந்து n வது பொலிவுப்பட்டையின் தொலைவைக் குறிக்கிறது.
கரும்பட்டை அல்லது சிறுமத்திற்கான நிபந்தனை
அழிவுக்குறுக்கீட்டு விளைவு அல்லது P புள்ளியில்
கரும்பட்டை தோன்றுவதற்கான நிபந்தனை பின்வருமாறு,
பாதை வேறுபாடு, δ =
(2n-1), λ/2
இங்கு , n = 1,2,3...
ஃ dy/D =(2n-1) λ/2

P புள்ளியில் கரும்பட்டைத் தோன்ற இதுவே நிபந்தனையாகும்.
இங்கு yn என்பது , O விலிருந்து n வது கரும்பட்டையின் தொலைவைக் குறிக்கிறது.

பொலிவு மற்றும் கரும்பட்டைகள் தோன்றும் விதத்தைப் படம் 6.60 காட்டுகின்றது.
திரையில், மையப்பொலிவுப்பட்டையின் இரண்டு பக்கங்களிலும்
பொலிவு மற்றும் கரும்பட்டைகள் அடுத்தடுத்துத் தோன்றும். மையப்பொலிவைச் சுழிப்பொலிவு
எனவும் (0th bright) அதன் தொடர்ச்சியாக முதல் கருமை மற்றும் முதல் பொலிவு
தோன்றும். அடுத்து இரண்டாவது கருமை மற்றும் இரண்டாவது பொலிவு தோன்றும். இவ்வாறாக, மையப்பொலிவின்
இரண்டு பக்கங்களிலும் படம் 6.61-இல் உள்ளவாறு கருமை மற்றும் பொலிவுப்பட்டைகள் அடுத்தடுத்துத்
தோன்றும்.

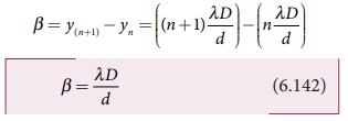
பட்டை அகலத்திற்கான கோவை
இரண்டு அடுத்தடுத்த பொலிவுப்பட்டை அல்லது கரும்பட்டைகளுக்கு
இடையே உள்ள தொலைவு பட்டை அகலம் என அழைக்கப்படுகிறது.
மையப்புள்ளி O விலிருந்து (n+1) வது பொலிவுப்பட்டைக்கும்
, n வது பொலிவுப்பட்டைக்கும் இடையே உள்ள தொலைவு பட்டை அகலத்தைக் கொடுக்கும்.

இவ்வாறே, மையப்புள்ளி O விலிருந்து (n+1) வது
கரும்பட்டைக்கும், n வது கரும்பட்டைக்கும் இடையே உள்ள தொலைவு, பட்டை அகலத்தைக் கொடுக்கும்.

சமன்பாடுகள் 6.142 விலிருந்து, மையப்பொலிவுப்
பட்டையின் இருபுறமும் சமஅகலமுடைய பொலிவு மற்றும் கரும்பட்டைகள் சம இடைவெளியில் தோன்றும்
என்று அறியலாம்.
தெளிவான மற்றும் அகலமான குறுக்கீட்டுப் பட்டைகளைப்
பெறுவதற்கான நிபந்தனைகள்
(i) ஒளிமூலத்திற்கும் திரைக்கும் இடையேயுள்ள
தொலைவு மிக அதிகமாக இருக்க வேண்டும்.
(ii) பயன்படுத்தப்படும் ஒளியின் அலைநீளம் மிக
அதிகமாக இருக்கவேண்டும்.
(iii) இரண்டு ஓரியல் மூலங்களுக்கு (இங்கே S1
மற்றும் S2)க்கு இடையேயுள்ள தொலைவு மிகக் குறைவாக இருக்கவேண்டும்.
எடுத்துக்காட்டு
6.28
யங் இரட்டைப்பிளவு ஆய்வில், இரண்டு பிளவுகள்
0.15 mm தொலைவில் பிரித்துவைக்கப்பட்டுள்ளன, அப்பிளவுகளிலிருந்து 2 m தொலைவில் திரை
அமைந்துள்ளது. பயன்படுத்தப்படும் ஒளியின் அலைநீளம் 450 nm எனில், பின்வருவனவற்றைக்
கண்டுபிடி
(i) மையப் பொலிவுப்பட்டையிலிருந்து, இரண்டாவது
பொலிவுப்பட்டையின் தொலைவு மற்றும் மூன்றாவது கரும்பட்டையின் தொலைவு ஆகியவற்றைக் காண்க.
(ii) பட்டை அகலத்தைக் காண்க
(iii) பிளவுகளைவிட்டு, திரையைத் தூரமாக நகர்த்தும்போது
குறுக்கீட்டுப் பட்டை அமைப்பில் என்ன மாற்றம் நிகழும்?
(iv) இம்முழு அமைப்பையும் 4/3 ஒளிவிலகல் எண் கொண்ட நீரில் மூழ்கவைக்கும்போது, பட்டை அகலத்தில் ஏற்படும் மாற்றம் என்ன?
தீர்வு
d = 0.15 mm = 0.15x 10-3 m; D
= 2 m;
λ = 450 nm = 450 x 10-9
m; n = 4/3
(i) n வது பொலிவுப்பட்டைக்கான சமன்பாடு
yn = nλD/d
இரண்டாவது பொலிவுப்பட்டையின் தொலைவு
y2 =2 x 450 X 10-9 x
2 / 0.15X10-3
y2 =12 x 10-3 m
=12 mm
n வது கரும்பட்டைக்கான சமன்பாடு,

மூன்றவாது கரும்பட்டையின் தொலைவு,
y3 = 5/2 x 450 X 10-9 x
2 / 0.15X10-3
y2 =15 x 10-3 m =15
mm
(ii) பட்டை அகலத்திற்கான சமன்பாடு β = λd/d
மதிப்புகளைப் பிரதியிடும் போது,
β = 450 X 10-9 x
2 / 0.15X10-3
β = 6 x 10-3
m = 6mm
(iii) பிளவுகளுக்கும், திரைக்கும் இடையே உள்ள
தொலைவை (D) அதிகரிக்கும் போது, பட்டை அகலமும் அதிகரிக்கும்,
β = λd/d அல்லது β ∝ D
(iv) 4/3 ஒளிவிலகல் எண் கொண்ட நீரில், முழு
அமைப்பையும் மூழ்கவைக்கும் போது பட்டை அகலம் குறையும்.
β = λd/d அல்லது β ∝ λ
அலைநீளமானது ஒளிவிலகல் எண்ணின் n மடங்குக்கு
குறையும். எனவே,
β ∝ λ மற்றும் β’∝ λ’
நாம் அறிந்தபடி, = λ’
= λ/n அல்லது β’ = β/n =
6 x 10-3 / 4/3
B' = 4.5X10-3m = 4.5 mm
பலவண்ண ஒளியினைக் கொண்டு (வெள்ளை ஒளி) நிகழ்த்தப்படும்
குறுக்கீட்டு விளைவுகளில் வெவ்வேறு நிறங்கள் கொண்ட வண்ணப்பட்டைகள் திரையில் தோன்றும்.
இதற்குக் காரணம், வெவ்வேறு வண்ணங்கள் வெவ்வேறு அலைநீளங்களைப் பெற்றிருப்பதாகும். இருந்தபோதிலும்,
மையப்பட்டை அல்லது சுழிப்பட்டை எப்போதும் பொலிவாகவும், வெண்மை நிறத்திலும் காணப்படும்.
இதற்குக் காரணம் மையம் O வில் விழும் அனைத்து வண்ணங்களுக்கும் பாதை வேறுபாடு சுழியாகும்.
எனவே, அனைத்து வண்ணங்களுக்கும் மையப்புள்ளி O வில் ஆக்கக்குறுக்கீட்டு விளைவு மட்டுமே
நடைபெற்று, மையம் பொலிவாகக் காட்சியளிக்கும்.
எடுத்துக்காட்டு
6.29
யங் இரட்டைப்பிளவு ஆய்வில் 560 nm மற்றும்
420 nm அலைநீளங்களையுடைய இரண்டு ஒளி அலைகள் பயன்படுத்தப்படுகின்றன. மையப்பொலிவுப் பட்டையிலிருந்து
இரண்டு அலைநீளங்களின் பொலிவுப்பட்டைகளும் ஒன்றினையும் சிறுமத்தொலைவைக் காண்க. கொடுக்கப்பட்டவை,
D = 1 m மற்றும் d = 3 mm.
தீர்வு
λ1 =
560 nm = 560 x 10-9m;
λ2 =
420 nm = 420x10-9m;
D = 1m;d = 3mm = 3x10-3 m
கொடுக்கப்பட்ட y மதிப்பிற்கு , n மற்றும் λஆகியவை
ஒன்றுக்கொன்று எதிர்த்தகவாகும்.
λ1 இன், n வது பொலிவுப்பட்டை λ2 வின் (n+1) வது பொலிவுப்பட்டையுடன் ஒன்றிணைக்கிறது என்க .

எனவே, λ1 னின் 3 வது பொலிவுப்பட்டை, λ2 வின் 4 வது பொலிவுப்பட்டையுடன் மையப்பட்டையிலிருந்து y தொலைவில் ஒன்றிணைகிறது.
மையப்பட்டையிலிருந்து, இரண்டு பொலிவுப் பட்டைகளும் ஒன்றிணையும் சிறுமத்தொலைவு ,

உங்களுக்குத் தெரியுமா?
நீரின் மீது படர்ந்திருக்கும் எண்ணெய்ப் படலம் மற்றும் சோப்புக்குமிழ்
போன்றவை - கண்கவர் வண்ணங்களை வெளிப்படுத்துவது படத்தில் காட்டப்பட்டுள்ளது. இவ்வண்ணங்களுக்குக்
காரணம் மெல்லேடுகளின் மேற்பரப்பு மற்றும் அடிப்பரப்பிற்கு இடையில் பலமுறை எதிரொளிப்பு
அடைந்த வெள்ளை ஒளிக்கதிர்களின் குறுக்கீட்டு விளைவாகும். இவ்வண்ணங்கள் மெல்லேடுகளின்
தடிமன், மெல்லேடுகளின் ஒளிவிலகல் எண் மற்றும் ஒளியின் படுகோணம் ஆகியவற்றைச் சார்ந்ததாகும்.


ஒளிவிலகல் எண் μ (குறுக்கீட்டுப்
பட்டையின் வரிசை n உடன் சேர்த்து குழப்பிக்கொள்ளக்கூடாது) மற்றும் தடிமன் d கொண்ட மெல்லேடு
ஒன்றைக் கருதுவோம். இம்மெல்லேட்டின் மீது படம் 6.62 இல் காட்டியுள்ளவாறு இணை ஒளிக்கற்றை
ஒன்று i என்ற படுகோணத்தில் விழுகிறது. இந்த ஒளி அலை மெல்லேட்டின் மேற்பரப்பில் இரண்டாகப்
பிரிந்து, ஒன்று ஒளி எதிரொளிப்பும் மற்றொன்று ஒளிவிலகலும் அடைகிறது. ஒளிவிலகல் அடைந்த
பகுதி மெல்லேட்டின் உள்ளே சென்று மெல்லேட்டின் அடிப்பரப்பில் மேலும் இரண்டு பகுதிகளாகப்
பிரிகிறது. ஒரு பகுதி மெல்லேட்டினை ஊடுருவி வெளியேறுகிறது. மற்றொரு பகுதி மெல்லேட்டின்
உள்ளேயே
எதிரொளிப்படைகிறது. மெல்லேட்டினால் எதிரொளிப்பு மற்றும் ஒளிவிலகல் அடைந்த அலைகள், மெல்லேட்டின்
உட்புறம் பலமுறை எதிரொளிப்பு அடைகிறது. இம்மெல்லேட்டினால் எதிரொளிப்பு மற்றும் ஊடுருவல்
அடைந்த ஒளி அலைகள் தனித்தனியே குறுக்கீட்டு விளைவை ஏற்படுத்துகின்றன.

மெல்லேட்டின் வழியே உடுருவிச்சென்ற அலையினால்
ஏற்படும் குறுக்கீட்டு விளைவு
ஊடுருவிச் சென்ற ஒளி அலைகள் குறுக்கீட்டு விளைவை
ஏற்படுத்தித் தொகுபயன் ஒளிச்செறிவைக் கொடுக்கும். B மற்றும் D புள்ளிகளிலிருந்து ஊடுருவிச்சென்ற
ஒளி அலைகளின் பாதை வேறுபாட்டைக் கருதுவோம். ஒளி அலைகள் இரண்டாகப் பிரிகை அடையும் B
புள்ளி வரை இரண்டு ஒளி அலைகளும் ஒன்றாகவே செல்லும். எனவே, இரண்டு அலைகளும் ஒத்த கட்டத்தில்
இருக்கும். D புள்ளி வழியாக ஊடுருவிச் செல்லும் ஒளி அலை மெல்லேட்டின் உள்ளே கடந்து
சென்ற கூடுதல் பாதை BC + CD ஆகும், ஒளி அலை மெல்லேட்டின் உள்ளே செங்குத்துப் படுகதிர்
நிலையில் மோதுகிறது எனக் கருதினால் (i = 0), B மற்றும் D புள்ளிகள் இரண்டும் ஒன்றுக்கொன்று
மிக நெருக்கமாக அமைந்துள்ளது எனலாம். எனவே, ஒளி அலை கடந்துசென்ற கூடுதல் பாதை தோராயமாக
BC + CD = 2d.
μ ஒளிவிலகல் எண் கொண்ட ஊடகத்தின்
உள்ளே இக்கூடுதல் பாதை உள்ளதால், ஒளியியல் பாதை வேறுபாடு δ = 2μd.
ஊடுருவிச் சென்ற அலைகளினால் ஏற்படும் ஆக்கக்குறுக்கீட்டு
விளைவிற்கான நிபந்தனை,

இதேபோன்று, ஊடுருவிச் சென்ற அலைகளினால் ஏற்படும்
அழிவுக் குறுக்கீட்டு விளைவிற்கான நிபந்தனை,

எதிரொளிப்பு அடைந்த அலைகளினால் ஏற்படும் குறுக்கீட்டு
விளைவு
கொள்கைரீதியாக மற்றும் சோதனைகளின் மூலமாகவும்
அடர்குறை ஊடகத்தின் வழியாகச் சென்று, அடர்மிகு ஊடகப்பரப்பினால் எதிரொளிப்பு அடைந்த
ஒளி அலைகள் என்ற கட்டவேறுபாட்டை அடையும் என நிரூபிக்கப்பட்டுள்ளது. எனவே, இதற்கு கூடுதல்
பாதைவேறுபாடு λ/2 வைக்கருதவேண்டும்.
மெல்லேட்டின் மேற்பரப்பில் A புள்ளியில் எதிரொளிப்பு
அடைந்த அலைக்கும், மெல்லேட்டிலிருந்து C புள்ளி வழியாக வெளியேறும் அலைக்கும் இடையேயான
பாதை வேறுபாட்டைக் கருதுக. C புள்ளியிலிருந்து வெளியேறும் அலை மெல்லேட்டின் உள்ளே கூடுதலாகக்
கடந்து வந்த பாதை AB + BC. செங்குத்துப் படுகோண நிலையில், இக்கூடுதல் பாதையின் தொலைவு
தோராயமாக AB + BC = 2d. இக்கூடுதல் பாதை μ ஒளிவிலகல்
எண்கொண்ட ஊடகத்தினுள் உள்ளதால், ஒளியின் பாதை வேறுபாடு δ = 2μd ஆகும்.
எதிரொளிப்பு அலைகளினால் ஏற்படும் ஆக்கக் குறுக்கீட்டு
விளைவிற்கான நிபந்தனை,

அடர்குறை ஊடகத்தில் சென்ற ஒளி அலை, A புள்ளியில்
அடர்மிகு மெல்லேட்டுப் பரப்பினால் எதிரொளிப்பு அடைந்ததால் π கட்டவேறுபாட்டை
அடைகிறது. எனவே, இக்கூடுதல் பாதை வேறுபாடு λ/2 இங்கு
ஏற்படுகின்றது.
எதிரொளிப்பு அலைகளினால் ஏற்படும் அழிவுக் குறுக்கீட்டு
விளைவிற்கான நிபந்தனை

செங்குத்துப் படுகோண நிலையில் ஒளி அலை மெல்லேடு பரப்பின் மீது விழாமல், வேறு ஒரு
குறிப்பிட்ட படுகோண நிலையில் i விழுந்தால், அதற்கான விலகுகோணம் r ஆகும். எனவே, பாதை
வேறுபாட்டிற்கான மேற்கண்ட சமன்பாட்டின் இடப்பக்கம் உள்ள 2μd என்ற பதம் 2μd cos r என மாற்றமடையும்.
எடுத்துக்காட்டு
6.30
589 nm அலை நீளமுடைய ஒளியை, நன்கு எதிரொளிப்பு
அடையச் செய்யும், ஒளிவிலகல் எண் 1.25 கொண்ட மெல்லேட்டின் குறைந்தபட்ச தடிமனைக் காண்க.
மேலும், ஒளி எதிரொளிப்பு அடையாமல் இருப்பதற்குத் தேவையான குறைந்தபட்ச தடிமனையும் கணக்கிடுக
தீர்வு
கொடுக்கப்பட்டவை λ =
589 nm = 589x10-9m நன்கு எதிரொளிப்பு அடையும் மெல்லேட்டிற்கு, எதிரொளிப்பு
அடையும் ஒளி அலைகள் ஆக்கக் குறுக்கீட்டு விளைவை அடைய வேண்டும். மெல்லேட்டிற்கான குறைந்தபட்ச
பாதை வேறுபாடு λ/2 ஆகும். மெல்லேட்டினால் எதிரொளிப்பு அடைந்த
ஒளி அலைகளுக்கான ஒளியியல் பாதை வேறுபாடு 2μd ஆகும்.
எனவே, நன்கு எதிரொளிப்பு அடைய 2μd = λ/2 (சமன்பாடு
6.145ன்படி, இங்கு n=1)
மாற்றி அமைக்கும் போது, d = λ/4μ
மதிப்புகளைப் பிரதியிடும்போது,
d = 589x109 / 4X1.25 =
117.8x10-9
d = 117.8x109 =117.8 nm
மெல்லேட்டினால் எதிரொளிப்பு நடைபெறாமல் இருக்க
வேண்டுமெனில், எதிரொளிப்பு அடைந்த ஒளி அலைகள் அழிவுக் குறுக்கீட்டு விளைவை அடைய வேண்டும்.
மெல்லேட்டிற்கான குறைந்த பட்ச பாதை வேறுபாடு λ ஆகும்
மெல்லேட்டினால் எதிரொளிப்பு அடைந்த ஒளி அலைகளுக்கான ஒளியியல் பாதை வேறுபாடு 2μd ஆகும்.
நன்கு எதிரொளிப்பு அடைய 2μd =λ [சமன்பாடு
6.146 ன்படி, இங்கு n=1]
மாற்றி அமைக்கும்போது, d = λ /2μ
மதிப்புகளைப் பிரதியிடும் போது,
d= 589x109 / 2 x 1.25 = 235.6x10-9
d = 235.6 x 10-9 = 235.6 nm