கரிமச் சேர்மங்களில் காணப்படும் மாற்றியம்
மாற்றியம் (Isomerism) என்ற சொற்கூறு பெர்சீலியஸ் அவர்களால் அறிமுகப்படுத்தப்பட்டது. ஒரே மூலக்கூறு வாய்ப்பாட்டினையும் வெவ்வேறு அமைப்பு வாய்ப்பாடுகள் மற்றும் பண்புகளைப் (இயற், வேதி அல்லது இரண்டும்) பெற்றுள்ள கரிமச் சேர்மங்கள் மாற்றியங்கள் எனப்படும். கரிமச்சேர்மங்களின் இப்பண்பு மாற்றியம் எனப்படும். மூலக்கூறுகளில் காணப்படும் அணுக்களில் அமைவிட மாறுபாடு அல்லது பிணைப்பு மாறுபாட்டினால் இரு மாற்றியங்களின் பண்புகள் மாறுபடுகின்றன. மாற்றியங்களைப் பொதுவாக இருபெரும் பிரிவுகளாகப் பிரிக்கலாம். அவையாவன (i) கட்டமைப்பு மாற்றியங்கள், (ii) புறவெளி மாற்றியங்கள்.

இவ்வகை மாற்றியங்கள் ஒரே மூலக்கூறு வாய்ப்பாட்டினையும், பிணைப்பு இடம் பெற்றிருக்கும் வரிசையமைப்பில் மாறுபட்டும் காணப்படும். இவைகளை பின்வருமாறு வகைப்படுத்தலாம்.
(அ) சங்கிலித் தொடர் மாற்றியம்
கார்பன் அணுக்கள் கார்பன் சங்கிலியில் ஒன்றோடொன்று எவ்வாறு பிணைக்கப்பட்டுள்ளன என்பதைப் பொறுத்து இவ்வகை மாற்றியங்கள் வேறுபடுகின்றன.

(ஆ) இடஅமைவு மாற்றியம்
ஒரே படிவரிசைத் தொடரைச் சார்ந்த இரு வேறு சேர்மங்கள் ஒரே மூலக்கூறு வாய்பாடு மற்றும் கார்பன் சங்கிலித் தொடரையும் பெற்றிருந்து, பதிலிகள் அல்லது வினைச்செயல் தொகுதிகள் அல்லது நிறைவுறா பிணைப்பு இடம் பெற்றிருக்கும் இடஅமைவு மாறுபடுவதால் வேறுபட்ட அமைப்பு வாய்ப்பாடுகளைப் பெற்றுள்ள சேர்மங்கள் இடஅமைவு மாற்றியங்கள் எனப்படுகின்றன.
எடுத்துக்காட்டு :

இ) வினைச்செயல் தொகுதி மாற்றியம்
ஒரே மூலக்கூறு வாய்ப்பாட்டினையும், வெவ்வேறு வினைச்செயல் தொகுதிகளையும் பெற்றிருக்கும் சேர்மங்கள் வினைச்செயல் தொகுதி மாற்றியங்கள் எனப்படும்.
எடுத்துக்காட்டு :

(ஈ) இணைமாற்றியம் (metamerism)
ஒரே மூலக்கூறு வாய்ப்பாட்டினை பெற்றுள்ள சேர்மங்களில் வினைச்செயல் தொகுதியின் இருபுறமும் உள்ள கார்பன் அணுக்கள் சமமற்ற முறையில் இருப்பதால், அதாவது வினைசெயல் தொகுதியின் இருபுறமும் வெவ்வேறு ஆல்கைல் தொகுதிகள் இணைக்கப்பட்டிருப்பதால் ஏற்படும் ஒரு சிறப்பு வகை மாற்றியம் இணை மாற்றியம் (metamerism) எனப்படும்.
ஈதர்கள் கீட்டோன்கள் எஸ்டர்கள் மற்றும் ஈரினைய அமீன்கள் போன்ற வினைச்செயல் தொகுதிகளைப் பெற்றுள்ள சேர்மங்களில் இம் மாற்றியம் காணப்படுகின்றது.


தன் மதிப்பீடு
4. C4H10O என்ற மூலக்கூறு வாய்ப்பாட்டினைப் பெற்றுள்ள சாத்தியமான மாற்றியங்கள் அனைத்தையும் எழுதுக அவைகளில் காணப்படும் மாற்றியங்களைக் கண்டறிக.
(உ) இயங்குச் சமநிலை மாற்றியம் (tautomerism)
இது ஒரு சிறப்புவகை வினைச்செயல் தொகுதி மாற்றியமாகும். இதில் ஒரு சேர்மமானது, எளிதில் ஒன்றுக்கொன்று மாற்றமடையும் இரு வேறு வடிவமைப்புகளைப் பெற்றிருக்கும். இதன் வடிவமைப்புகளில் குறைந்தபட்சம் ஒரு அணு, பொதுவாக ஹைட்ரஜனின் அமைவிடம் மாற்றமடைந்திருக்கும். இத்தகைய வெவ்வேறு வடிவமைப்புகள் இயங்கு சமநிலை மாற்றியங்கள் எனப்படுகின்றன. இதில் பல்வேறு வகைகள் உள்ளன. இருமை (dyad) மற்றும் மும்மை (triad) அமைப்புகள் இரு முக்கியமான வகைகளாகும்.
(i) இருமை அமைப்பு: இந்த அமைப்பில் இரண்டு நேரடியாக பிணைக்கப்பட்ட பல் இணைதிற அணுக்களுக்கிடையே ஹைட்ரஜன் அணுவானது மாற்றமடைகிறது.

இந்த எடுத்துக்காட்டில் ஹைட்ரஜன் அணுவானது கார்பன் மற்றும் நைட்ரஜன் அணுக்களுக்கிடையே மாற்றமடைகிறது.
(ii) மும்மை அமைப்பு
இந்த அமைப்பில் ஹைட்ரஜன் அணுவானது முதல் அணுவிலிருந்து மூன்றாவது அணுவிற்கு மாற்றமடைகிறது. ஒரு மூலக்கூறில் உள்ள ஒரு பல் இணைதிற அணுவிலிருந்து அதே மூலக்கூறில் உள்ள மற்றொரு பல் இணைதிற அணுவிற்கு ஹைட்ரஜனானது 1,3 இடப்பெயர்ச்சி அடைகிறது. மும்மை அமைப்பிற்கு ஒரு முக்கியமான எடுத்துக்காட்டு கீட்டோ-ஈனால் இயங்கு சமநிலை மாற்றியம் ஆகும். இதன் இரு அமைப்புகளில் ஒன்று கீட்டோன் வடிவத்தினையும் மற்றொன்று ஈனால் வடிவத்தினையும் பெற்றிருக்கும். 1,3 இடப்பெயர்ச்சியில் ஒரு ஆக்ஸிஜன் மற்றும் இரு கார்பன்கள் ஆகிய பல் இணைதிற அணுக்கள் இடம்பெறுகின்றன. கீட்டோ வடிவமானது ஈனால் வடிவமாக மாற்றமடைவது ஈனாலாக்கம் (enolisation) என அழைக்கப்படுகிறது. இவ்விரு இயங்கு சமநிலை மாற்றியங்களும் ஒரே அளவு நிலைப்புத் தன்மையை பெற்றிருப்பதில்லை. குறைவான நிலைப்புத் தன்மையுடைய அமைப்பானது நிலையற்ற அமைப்பு (labile form) எனப்படுகிறது.
எடுத்துக்காட்டு

(c) வளையச் சங்கிலி மாற்றியம்:
ஒரே மூலக்கூறு வாய்ப்பாட்டினைப் பெற்றுள்ள இரு சேர்மங்களில் கார்பன் அணுக்களுக்கிடையேயான பிணைப்பு திறந்த சங்கிலி அமைப்பிலோ அல்லது மூடிய வளைய அமைப்பில் இருப்பதாலோ இம்மாற்றியம்ஏற்படுகின்றது.

2. புறவெளி மாற்றியம்
ஒரே விதமான பிணைப்பு இணைப்பினைப் பெற்று, தொகுதிகள் அல்லது அணுக்கள் புறவெளியில் வெவ்வேறு விதங்களில் அமைவதால் உருவாகும் மாற்றியங்கள் புறவெளி மாற்றியங்கள் எனப்படுகின்றன. மூலக்கூறுகளின் முப்பரிமாண தன்மையினை (புறவெளி அமைப்புகள்) பற்றி படிக்கும் வேதியியலின் இப்பிரிவு முப்பரிமாண வேதியியல் (Stereo Chemistry) என்றழைக்கப்படுகிறது. உயிரினங்களின் வளர்ச்சிதை மாற்ற செயல்பாடுகள், இயற்கை தொகுப்பு செயல்முறைகள் மற்றும் மருந்துப்பொருட்களை தொகுப்பு முறையில் தயாரித்தல் ஆகிய செயல்முறைகளில், முக்கியப் பங்காற்றுகின்றன.
புறவெளி மாற்றியங்கள்
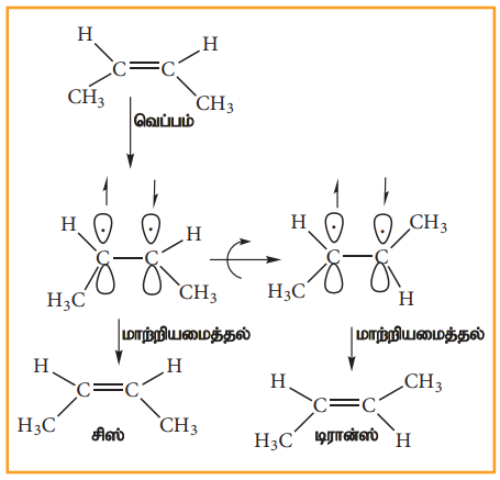
கார்பன்-கார்பன் இரட்டைப் பிணைப்பினைப் பொருத்து அணுக்கள் அல்லது தொகுதிகள் புறவெளியில் வெவ்வேறு வடிவமைப்புகளை பெற்றுள்ள முப்பரிமாண மாற்றியங்கள் வடிவ மாற்றியங்கள் எனப்படுகின்றன. கார்பன்-கார்பன் இரட்டைப் பிணைப்பின் வழியே சுழற்ச்சித் தடையின் காரணமாகவோ அல்லது வளையச் சேர்மங்களில் ஒன்றைப் பிணைப்பின் வழியே ஏற்படும் சுழற்ச்சித் தடையினாலோ இவ்வகை மாற்றியங்கள் ஏற்படுகின்றன.
ஆல்கீன்களில், இரட்டைப் பிணைப்பால் பிணைக்கப்பட்டுள்ள கார்பன்கள் sp2 இனக்கலப்பாதலுக்கு உட்பட்டுள்ளன. இந்த கார்பன்-கார்பன் இரட்டைப் பிணைப்பில் ஒரு σ பிணைப்பு மற்றும் ஒரு π பிணைப்பு காணப்படுகின்றது. Sp2 இனக்கலப்பு ஆர்பிட்டால்களின் நேர்கோட்டு மேற்பொருந்துதலால் σ பிணைப்பு உருவாகிறது. P-ஆர்பிட்டால்களின் பக்கவாட்டு மேற்பொருந்துதலால் π பிணைப்பு உருவாகிறது. இந்த π பிணைப்பின் காரணமாக மூலக்கூறானது ஒரு குறிப்பிட்ட நிலையில் உள்ளது. எனவே கார்பன்-கார்பன் இரட்டைப் பிணைப்பினைப் (C=C) பொருத்து சுழற்ச்சி ஏற்பட வாய்ப்பில்லை. இவ்வாறான கார்பன்- கார்பன் இரட்டைப் பிணைப்பினைப் பொருத்து சுழல்வதற்கான தடையே, ஆல்கீன்களில் வடிவ மாற்றியங்கள் ஏற்பட காரணமாக அமைகிறது.
எடுத்துக்காட்டு

மேற்கண்டுள்ள இரு சேர்மங்களும் வடிவமாற்றியங்கள் என அழைக்கப்படுகின்றன. இவை சிஸ் மற்றும் டிரான்ஸ் ஆகிய சொற்கூறுகளால் வேறுபடுத்தி அறியப்படுகின்றன.
இரட்டைப் பிணைப்பால் பிணைக்கப்பட்டுள்ள கார்பன்களுடன் இணைந்துள்ள இரு ஒத்த தொகுதிகளும் ஒரே பக்கத்தில் காணப்படின் அவை சிஸ் மாற்றியம் எனவும், இரு ஒத்தத் தொகுதிகளும் இரட்டைப் பிணைப்பின் எதிர்எதிர் பக்கங்களில் காணப்படின் அவை டிரான்ஸ் மாற்றியங்கள் எனவும் அழைக்கப்படுகின்றன.
ஏதேனும் ஒரு மாற்றியத்தினை அதிக வெப்பநிலைக்கு சூடுபடுத்துதல் அல்லது ஒளியை உட்கவரச் செய்வதன் மூலம் சிஸ் மாற்றியத்தினை, டிரான்ஸ் மாற்றியமாகவோ அல்லது டிரான்ஸ் மாற்றியத்தினை சிஸ் மாற்றியமாகவோ மாற்ற இயலும். வெப்பமானது, π பிணைப்பு பிளவுறத் தேவையான ஆற்றலைத் தருவதால் (62 Kcal mol-1 அளவிலான ஆற்றல்) அப்பிணைப்பு பிளக்கப்படுகிறது. இதன் காரணமாக சிக்மா பிணைப்பைச் சுற்றி சுழற்சி ஏற்படுவதற்கு வாய்ப்பு ஏற்படுகிறது. மேலும் குளிர்விக்கும் போது π பிணைப்பு இரு வழிகளில் உருவாக வாய்ப்புள்ளதால், சிஸ் மற்றும் டிரான்ஸ் 2-பியூட்டீன் ஆகியவற்றின் கலவை உருவாகின்றது.

பொதுவாக சிஸ் மாற்றியத்தினைக் காட்டிலும் டிரான்ஸ் மாற்றியமானது அதிக நிலைப்புத் தன்மை உடையது ஏனெனில் சிஸ் மாற்றியத்தில், பெரிய உருவளவு உள்ள தொகுதிகள் (bulky substituent) இரட்டைப் பிணைப்பின் ஒரே பக்கத்தில் காணப்படுகிறது. இத்தொகுதிகளின் கொள்ளிட விலக்கு விளைவினால் (steric repulsion) சிஸ் மாற்றியமானது டிரான்ஸ் மாற்றியத்தைக் காட்டிலும் குறைவான நிலைப்புத் தன்மையினைப் பெற்றுள்ளது. டிரான்ஸ் மாற்றியத்தில் பெரிய உருவளவு உள்ள தொகுதிகள் (bulky groups) எதிரெதிர் பக்கங்களில் அமைகின்றன. சிஸ் மற்றும் டிரான்ஸ் மாற்றியங்கள் வெவ்வேறு வேதிப் பண்புகளைப் பெற்றுள்ளன. இவைகளை பின்ன வாலைவடித்தல், வாயுவண்ணப்பிரிகை முறை முதலியனவற்றின் மூலம் பிரித்தெடுக்கலாம். ஒத்த தொகுதிகளை பெற்றிருக்கும் அல்கீன்கள் அனைத்தும் வடிவமாற்றியங்களைப் பெற்றிருப்பதில்லை. இரட்டைப் பிணைப்பால் பிணைக்கப்பட்டுள்ள கார்பன் அணுவுடன் இரு வேறுபட்ட அணுக்கள் அல்லது தொகுதிகள் இணைக்கப்பட்டிருக்கும் நிலையில் மட்டுமே வடிவமாற்றியம் சாத்தியமாகிறது. எடுத்துக்காட்டாக புரப்பீனிற்க்கு வடிவமாற்றியங்கள் ஏதும் இல்லை. ஏனெனில் இரட்டைப் பிணைப்பால் பிணைக்கப்பட்டுள்ள கார்பனுடன் இரு ஒத்த ஹைட்ரஜன் அணுக்கள் இணைக்கப்பட்டுள்ளன.
ii) ஆக்ஸைம் மற்றும் அசோசேர்மங்கள்:
கார்பன்-நைட்ரஜன் (C=N) இரட்டைப் பிணைப்பினைப் பொறுத்து சுழற்சிக்குத் தடை ஏற்படுவதால் ஆக்ஸைம்களில் வடிவ மாற்றியங்கள் உருவாகின்றன. இங்கு சிஸ் மற்றும் டிரான்ஸ் ஆகிய சொற்கூறுகளுக்குப் பதிலாக, முறையே சின் (Syn) மற்றும் ஆன்டி (anti) ஆகியன பயன்படுத்தப்படுகின்றன. சின் மாற்றியத்தில் இரட்டைப் பிணைப்பில் பிணைக்கப்பட்டுள்ள கார்பனுடன் இணைந்துள்ள ஹைட்ரஜன் அணு மற்றும் இரட்டைப் பிணைப்பில் பிணைக்கப்பட்டுள்ள நைட்ரஜன் அணுவுடன் இணைக்கப்பட்டுள்ள - OH தொகுதி ஆகியன இரட்டைப் பிணைப்பிற்கு ஒரே பக்கத்தில் அமைகின்றன. அதே நேரத்தில் ஆன்டி மாற்றியத்தில் இத்தொகுதிகள் எதிரெதிர் திசைகளில் அமைகின்றன.

ஒரே இயற் மற்றும் வேதிப் பண்புகளை பெற்றிருந்து, தள முனைவுற்ற ஒளியின் தளத்தினை சுழற்றுவதில் மட்டும் மாறுபட்டு காணப்படும் சேர்மங்கள் ஒளிச்சுழற்சி மாற்றியங்கள் எனப்படும். இந்நிகழ்வு ஒளிச்சுழற்சி மாற்றியம் எனப்படும்.
குளுக்கோஸ் போன்ற சேர்மங்கள் தள முனைவுற்ற ஒளியின் தளத்தினை சுழற்றும் இயல்பினைப் பெற்றுள்ளன. அத்தகைய சேர்மங்கள் ஒளி சுழற்றும் தன்மை கொண்ட சேர்மங்கள் எனவும் இப்பண்பு ஒளி சுழற்றும் தன்மை எனவும் அழைக்கப்படுகின்றது. தள முனைவுற்ற ஒளியின் தளத்தினை வலஞ்சுழியாக அதாவது கடிகார முள் நகரும் திசையில் ஒரு ஒளி சுழற்சி மாற்றியம் திருப்புமாயின் அது வலஞ்சுழற்சி (dextro rotatory) எனப்படும்.
இச்சேர்மம் (+) குறியீட்டால் குறிக்கப் பெறும். அதே நேரத்தில் கடிகார முள் சுழலும் திசைக்கு எதிர் திசையில் ஒரு சேர்மத்தால் தள முனைவு கொண்ட ஒளியின் தளம் சுழற்றப்படின் அச்சேர்மம் இடஞ்சுழற்றி (leavo rotatory) எனப்படும். இது (-) எனக் குறிக்கப்பெறும். வலஞ்சுழற்றி சேர்மங்கள் d அல்லது (+) குறியீட்டாலும் இடஞ்சுழற்றி சேர்மங்கள் 1 அல்லது (-) குறியீட்டாலும் குறிப்பிடப்படுகின்றன.
இனான்சியோமர்கள் மற்றும் ஒளி சுழற்றும் தன்மை
ஒரு ஒளி சுழற்றும் தன்மையுடைய சேர்மமானது, இரண்டு அல்லது அதற்கு மேற்பட்ட மாற்றிய அமைப்புகளைப் பெற்றிருக்கலாம். அத்தகைய மாற்றிய அமைப்புகள் ஒரே இயற் மற்றும் வேதிப் பண்புகளைப் பெற்று இருக்கும். ஆனால் தளமுனைவு கொண்ட ஒளியின் தளத்தினை சுழற்றும் திசையினில் மட்டும் மாறுபட்டிருக்கும். இத்தகைய ஒளி சுழற்சி மாற்றியங்கள், தளமுனைவு கொண்ட ஒளியினை சம கோண அளவுகளில் சுழற்றுகின்றன. ஆனால் எதிரெதிரில் திசைகளில் சுழற்றுகின்றன. இந்நிகழ்வு இனான்சியோமெரிசம் எனப்படும்.
ஒன்றோடொன்று மேற்பொருந்தாத ஆடி பிம்பங்களை உடைய மாற்றியங்கள் இனன்ஷியோமர்கள் எனப்படுகின்றன.
எடுத்துக்காட்டு: லாக்டிக் அமிலம்
இனான்சியோமெரிசம் அல்லது ஒளி சுழற்சி மாற்றியத்திற்கான நிபந்தனை
ஒரு கார்பனின் நான்கு இணை திறன்களும் வெவ்வேறு பதிலிகளால் (அணுக்கள்/தொகுதிகள்) நிறைவு செய்யப்படின் அத்தகைய கார்பன் சீர்மையற்ற கார்பன் (அ) கைரல்கார்பன் C* என அழைக்கப்படும். ஒரு முலக்கூறானது சீர்மையற்ற கார்பனைப் பெற்றிருந்து அதன் ஆடி பிம்பத்துடன் மேற்பொருந்தாத் தன்மையினைப் பெற்றிருப்பின் அம்மூலக்கூறு கைரல் மூலக்கூறு அல்லது சீர்மையற்ற மூலக்கூறு என அழைக்கப்படும். இப்பண்பு கைராலிட்டி அல்லது சீர்மையற்றத் தன்மை என அழைக்கப்படுகிறது. இதுவே ஒளி சுழற்றும் தன்மைக்கான மிக முக்கியமான நிபந்தனையாகும்.
