இயக்க ஆற்றல் [Kinetic Energy]
இயக்க ஆற்றல் என்பது ஒரு பொருள் அதன் இயக்கத்தால் பெற்றுள்ள ஆற்றலாகும். அனைத்து இயங்கும் பொருட்களும் இயக்க ஆற்றலைக் கொண்டுள்ளன. இயக்கத்தில் உள்ள ஒரு பொருள் வேலை செய்வதற்கான திறமையைப் பெற்றிருக்கும். உதாரணமாக, ஒரு ஆணியின் மீது ஓய்வு நிலையில் வைக்கப்பட்ட ஒரு சுத்தியல் ஆணியை மரத்தினுள் செலுத்தாது. அதேசமயம் படம் 4.7 இல் காட்டியவாறு அந்த சுத்தியலால் ஆணியை அடிக்கும் போது அது ஆணியை மரத்தினுள் செலுத்துகிறது. ஒரு பொருள் இயங்கும் போது, இயக்கத்திற்காக செய்யப்படும் வேலையின் அளவாக இயக்க ஆற்றல் அளவிடப்படுகிறது. இயங்கும் பொருளின் இயக்கத்திற்காக செய்யப்பட்ட வேலையின் அளவானது பொருளின் நிறை மற்றும் திசைவேகத்தின் எண்மதிப்பு ஆகியவற்றைச் சார்ந்தது. இயக்கத்தில் இல்லாத ஒரு பொருள் இயக்க ஆற்றலைக் கொண்டிருக்காது.
வேலையும் ஆற்றலும் சமமானவை. இது இயக்க ஆற்றலுக்கும் பொருந்தும். இதனை நிரூபிக்க m நிறையுள்ள ஒரு பொருள் உராய்வற்ற கிடைத்தளப் பரப்பில் ஓய்வில் இருப்பதாகக் கருதுவோம்
(F) என்ற மாறா விசையினால் அதே திசையில் (s) என்ற இடப்பெயர்ச்சியை ஏற்படுத்த செய்யப்பட்ட வேலை

மாறாத விசைக்கான சமன்பாடு,

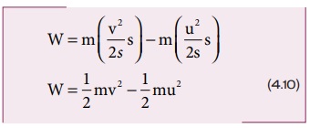
மூன்றாவது இயக்கச் சமன்பாட்டை (பகுதி 2.10.3 ஐக் காண்க) இவ்வாறு எழுதலாம்.

a இன் மதிப்பை சமன்பாடு 4.8 இல் பிரதியிட

சமன்பாடு 4.9 ஐ 4.7 இல் பிரதியிட,

இயக்க ஆற்றலுக்கான கோவை:
மேற்கண்ட சமன்பாட்டில் (1/2 mv2) என்பது என்பது (v) திசைவேகத்தில் இயங்கும் (m) நிறையுள்ள பொருளின் இயக்க ஆற்றலைக் குறிக்கும்.

பொருளின் இயக்க ஆற்றல் எப்பொழுதும் நேர்க்குறி மதிப்புடையதாகும்.
சமன்பாடு (4.10) மற்றும் (4.11) இல் இருந்து

சமன்பாடு 4.12 இல் வலது பக்கத்தில் உள்ள கோவை பொருளின் இயக்க ஆற்றல் மாறுபாடு (ΔKE) ஆகும்.

பொருளின் மீது விசையினால் செய்யப்பட்ட வேலை பொருளின் இயக்க ஆற்றலை மாற்றுகிறது என்பதை இது குறிக்கிறது. இதுவே வேலை - இயக்க ஆற்றல் தேற்றம் எனப்படும்.
வேலை - இயக்க ஆற்றல் தேற்றமானது கீழ்க்காண்பவற்றை உணர்த்துகிறது.
1. பொருளின் மீது விசையினால் செய்யப்பட்ட வேலை நேர்க்குறியாக இருந்தால் அதன் இயக்க ஆற்றல் அதிகரிக்கிறது.
2. பொருளின் மீது விசையினால் செய்யப்பட்ட வேலை எதிர்க்குறியாக இருந்தால் அதன் இயக்க ஆற்றல் குறைகிறது.
3. பொருளின் மீது விசையினால் வேலை ஏதும் செய்யப்பட வில்லை எனில் அதன் இயக்க ஆற்றல் மாறாது. இது, பொருளின் நிறை மாறாத போது விசையினால் பொருளானது மாறா வேகத்தில் இயங்கியது என்பதைக் குறிக்கிறது.
m நிறையுள்ள ஒரு பொருள்
என்ற திசைவேகத்தில் இயங்குவதாகக் கருதுவோம். அதன் நேர்கோட்டு உந்தம்
மற்றும் அதன் இயக்க ஆற்றல், KE = ½ mv2

சமன்பாடு 4.13 இன் தொகுதி மற்றும் பகுதியை நிறை m ஆல் பெருக்க

இங்கு
என்பது உந்தத்தின் எண் மதிப்பாகும். நேர்கோட்டு உந்தத்தின் எண் மதிப்பை இவ்வாறு பெறலாம்.

இயக்க ஆற்றல் மற்றும் நிறை கொடுக்கப்பட்டால் உந்தத்தின் எண் மதிப்பை மட்டுமே கணக்கிட இயலும். ஆனால் உந்தத்தின் திசையைக் கணக்கிட இயலாது என்பதை அறியவும். ஏனென்றால் இயக்க ஆற்றல் மற்றும் நிறை ஆகியவை ஸ்கேலர் அளவுகளாகும்.
தீர்க்கப்பட்ட எடுத்துக்காட்டு கணக்குகள் இயக்க ஆற்றல்
எடுத்துக்காட்டு 4.7
2 kg மற்றும் 4 kg நிறை கொண்ட இரு பொருள்கள் 20 kg ms-1 என்ற சம உந்தத்துடன் இயங்குகின்றன.
(a) அவை சம இயக்க ஆற்றலைப் பெற்றிருக்குமா?
(b) அவை சம வேகத்தைப் பெற்றிருக்குமா?
தீர்வு
(a) பொருளின் இயக்க ஆற்றல்

KE1 ≠ KE2 என அறியவும். அதாவது இருபொருட்களும் சம உந்தத்தைப் பெற்றிருந்தாலும் அவற்றின் இயக்க ஆற்றல் சமமல்ல. கனமான பொருள் இலேசான பொருளை விட குறைவான இயக்க ஆற்றலைப் பெற்றுள்ளது. ஏனென்றால் கொடுக்கப்பட்ட உந்தத்திற்கு இயக்க ஆற்றலானது நிறைக்கு எதிர் விகிதத்தில் உள்ளது.
KE ∝ 1/m
(b) உந்தம் p = mv என்பதால் இரு பொருட்களும் சம வேகத்தைப் பெற்றிருக்காது.