கதிர்வீச்சு மற்றும் பருப்பொருளின் இருமைப்பண்பு | இயற்பியல் - சரியான விடையைத் தேர்ந்தெடுத்து எழுதுக | 12th Physics : UNIT 8 : Dual Nature of Radiation and Matter
அலகு − 8
கதிர்வீச்சு மற்றும் பருப்பொருளின் இருமைப்பண்பு
I .சரியான விடையைத் தேர்ந்தெடுத்து எழுதுக
1. λe அலைநீளம் கொண்ட எலக்ட்ரான் மற்றும் λp கொண்ட ஃபோட்டான் ஆகியவை ஒரே ஆற்றலைப் பெற்று இருப்பின், அலைநீளங்கள் λe மற்றும் λp இடையிலான தொடர்பு
a) λp ∝ λe
b) λp ∝ √ λe
c) λp ∝ 1 / √ λe
d) λp ∝ λe2
விடை: d) λp ∝ λe2

2. எலக்ட்ரான் நுண்ணோக்கியில் பயன்படும் எலக்ட்ரான்கள் 14 kV மின்னழுத்த வேறுபாட்டினால் முடுக்கப்படுகின்றன. இந்த மின்னழுத்த வேறுபாடு 224 kV ஆக அதிகரிக்கும்போது, எலக்ட்ரானின் டி ப்ராய் அலைநீளமானது
a. 2 மடங்கு அதிகரிக்கும்
b. 2 மடங்கு குறையும்
c. 4 மடங்கு குறையும்
d. 4 மடங்கு அதிகரிக்கும்
விடை: c. 4 மடங்கு குறையும்
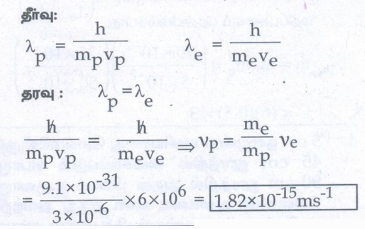
3. 3 × 10−6g நிறை கொண்ட துகளுடன் தொடர்புடைய அலையின் அலைநீளம் மற்றும் 6 × 106 ms−1 திசைவேகத்தில் நகரும் எலக்ட்ரானின் அலைநீளம் ஆகியவை சமமாக இருப்பின், துகளின் திசைவேகம்
a. 1.82 × 10−18 ms−1
b. 9 × 10−2ms−1
c. 3 × 10−31ms−1
d. 1.82 × 10−15ms−1
விடை: d. 1.82 × 10−15ms−1

4. λ அலைநீளமுள்ள கதிர்வீச்சினால் ஒரு உலோகப் பரப்பு ஒளியூட்டப்படும் போது, அதன் நிறுத்து மின்னழுத்தம் V ஆகும். 2λ அலைநீளமுள்ள ஒளியினால் அதே பரப்பு ஒளியூட்டப்பட்டால், நிறுத்து மின்னழுத்தம் V/4 ஆகும். எனில் அந்த உலோகப்பரப்பிற்கான பயன்தொடக்க அலைநீளம்
a. 4λ
b. 5λ
c. (5/2)λ
d. 3λ
விடை: d. 3λ

5. 330 nm அலைநீளம் கொண்ட ஒளியானது 3.55 eV வெளியேற்று ஆற்றல் கொண்ட உலோகத்தின் மீது படும் போது, உமிழப்படும் எலக்ட்ரானுடன் தொடர்புடைய அலையின் அலைநீளமானது (h = 6.6 × 10−34 Js எனக் கொள்க)
a. < 2.75 × 10−9m
b. ≥ 2.75 × 10−9 m
c. ≤ 2.75×10−12m
d. < 2.5×10−10m
விடை: b. ≥ 2.75 × 10−9 m

6. ஒளிஉணர் பரப்பு ஒன்று அடுத்தடுத்து λ மற்றும் λ/2 அலைநீளம் கொண்ட ஒற்றை நிற ஒளியினால் ஒளியூட்டப்படுகிறது. இரண்டாவது நேர்வில் உமிழப்படும் எலக்ட்ரானின் பெரும இயக்க ஆற்றல் ஆனது முதல் நேர்வில் உமிழப்படும் எலக்ட்ரானின் பெரும இயக்க ஆற்றலை விட 3 மடங்காக இருப்பின், உலோகத்தின் வெளியேற்று ஆற்றலானது
a. hc / λ
b. 2hc / λ
c. hc / 3λ
d. hc / 2λ
விடை: d. hc /2λ

7. ஒளிமின் உமிழ்வு நிகழ்வில், ஒரு குறிப்பிட்ட உலோகத்தின் பயன்தொடக்க அதிர்வெண்ணை விட 4 மடங்கு அதிர்வெண் கொண்ட கதிர்வீச்சு அந்த உலோகப்பரப்பில் படும்போது, வெளிப்படும் எலக்ட்ரானின் பெரும திசைவேகமானது

விடை: 

8. 0.9 eV மற்றும் 3.3 eV ஃபோட்டான் ஆற்றல் கொண்ட இரண்டு கதிர்வீச்சுகள் ஒரு உலோகப்பரப்பின் மீது அடுத்தடுத்து விழுகின்றன. உலோகத்தின் வெளியேற்று ஆற்றல் 0.6 eV எனில், இரு நேர்வுகளில் வெளிவிடப்படும் எலக்ட்ரான்களின் பெரும வேகங்களின் தகவு
a) 1:4
b) 1:3
c) 1:1
d) 1:9
விடை: b) 1:3

9. 520 nm அலைநீளம் கொண்ட ஒரு ஒளி மூலம் ஒரு வினாடிக்கு 1.04 × 1015 ஃபோட்டான்களை வெளிவிடுகிறது. 460 nm அலைநீளம் கொண்ட இரண்டாவது ஒளி மூலம் ஒரு வினாடிக்கு 1.38 × 1015 ஃபோட்டான்களை வெளிவிடுகிறது. இரண்டாவது மூலத்தின் திறனுக்கும் முதல் மூலத்தின் திறனுக்கும் இடையே உள்ள விகிதம்
a) 1.00
b) 1.02
c) 1.5
d) 0.98
விடை: c) 1.5

10. சூரிய ஒளியின் சராசரி அலைநீளம் 550 nm மற்றும் அதன் சராசரி திறன் 3.8 × 1026 W எனில், சூரியனில் இருந்து ஒரு வினாடி நேரத்தில் உமிழப்படும் ஃபோட்டான்களின் தோராயமான எண்ணிக்கையானது
a) 1045
b) 1042
c) 1054
d) 1051
விடை: a) 1045

11. ஒளிமின் வெளியேற்று ஆற்றல் 3.313 eV கொண்ட ஒரு உலோகப்பரப்பின் பயன் தொடக்க அலைநீளம்
a) 4125 Å
b) 3750 Å
c) 6000 Å
d) 2062.5 Å
விடை: b) 3750 Å

12. ஒளிமின் வெளியேற்று ஆற்றல் 1.235 eV கொண்ட ஒரு ஒளிஉணர்வு மிக்க உலோகத்தட்டின் மீது 500 nm அலைநீளம் கொண்ட ஒளி படுகிறது எனில், உமிழப்படும் ஒளிஎலக்ட்ரான்களின் இயக்க ஆற்றலானது (h = 6.6 × 10−34 Js எனக்கொள்க)
a) 0.58 eV
b) 2.48 eV
c) 1.24 eV
d) 1.16 eV
விடை: c) 1.24 eV

13. ஒரு உலோகத்தின் மீது λ அலைநீளம் கொண்ட ஃபோட்டான்கள் படுகின்றன. உலோகத்திலிருந்து உமிழப்படும் அதிக ஆற்றல் கொண்ட எலக்ட்ரான்கள், B எண் மதிப்பு கொண்ட செங்குத்து காந்தப்புலத்தினால் R ஆரமுடைய வட்ட வில் பாதையில் வளைக்கப்படுகின்றன எனில், உலோகத்தின் ஒளிமின் வெளியேற்று ஆற்றல்

விடை:


14. A, B மற்றும் C என்னும் உலோகங்களின் வெளியேற்று ஆற்றல்கள் முறையே 1.92 eV, 2.0 eV மற்றும் 5.0 eV ஆகும். 4100 Å அலைநீளம் கொண்ட ஒளி படும் போது, ஒளி எலக்ட்ரான்களை உமிழும் உலோகம் / உலோகங்கள்
a) A மட்டும்
b) A மற்றும் B
c) அனைத்து உமிழும்
d) ஏதுமில்லை
விடை: b) A மற்றும் B
தீர்வு:
ஆற்றல் (eV) = ( 12375 / λ) Å
= 12375 / 4100 = 3.01 eV.
A,B உலோகங்களின் வெளியேற்று ஆற்றல்கள் 3.01 eV விட குறைவாக இருப்பதால் A மற்றும் B ஒளி எலக்ட்ரான்களை உமிழும்
15. வெப்ப ஆற்றலை உட்கவர்வதால் எலக்ட்ரான்கள் உமிழப்படுவது ……………….. உமிழ்வு எனப்படும்
a) ஒளி மின்
b) புல
c) வெப்ப அயனி
d) இரண்டாம் நிலை
விடை: c) வெப்ப அயனி