அணு மற்றும் அணுக்கரு இயற்பியல் | இயற்பியல் - சரியான விடையைத் தேர்ந்தெடுத்து எழுதுக | 12th Physics : UNIT 9 : Atomic and Nuclear Physics
அலகு − 9
அணு மற்றும் அணுக்கரு இயற்பியல்
I. சரியான விடையைத் தேர்ந்தெடுத்து எழுதுக.
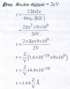
1. மின்னழுத்தம் V வோல்ட் மூலமாக முடுக்கப்படும் ஆல்ஃபா துகள் ஒன்று அணு எண் Z கொண்ட அணுக்கருவை நோக்கி மோதலுக்கு உட்பட அனுமதிக்கப்படும் போது, அணுக்கருவிலிருந்து ஆல்பா துகளின் மீச்சிறு அணுகு தொலைவு

விடை: c) 1.44 Z/V Å

2. ஹைட்ரஜன் அணுவில் நான்காவது சுற்றுப்பாதையில் இயங்கும் எலக்ட்ரானின் கோண உந்தம்:
a) h
b) h/π
c) 4h/π
d) 2h/π
விடை: d) 2h/π

3. n = 1 சுற்றுப்பாதைக்கு அயனியாக்க அழுத்தம் 122.4V கொண்ட அணுவின் அணு எண்:
a) 1
b) 2
c) 3
d) 4
விடை: c) 3

4. ஹைட்ரஜன் அணுவின் முதல் மூன்று சுற்றுப்பாதைகளின் ஆரங்களின் விகிதம்
a) 1:2:3
b) 2:4:6
c) 1:4:9
d) 1:3:5
விடை: c) 1:4:9
5. கேதோடு கதிர்களின் மின்னூட்டம்
a) நேர்க்குறி
b) எதிர்க்குறி
c) நடுநிலை
d) வரையறுக்கப்படவில்லை
விடை: b) எதிர்க்குறி (கேதோடு கதிர்கள் என்பது எதிர்மின் துகள்கள் ஆகும்)
6. ஜே.ஜே தாம்சன் e/m ஆய்வில், 2.6 kV மின்னழுத்தத்தில் முடுக்கப்பட்ட எலக்ட்ரான்கள் ஒன்றுக்கொன்று செங்குத்தான மின் மற்றும் காந்தப்புல மதிப்புள்ள 3.0 × 104 Vm–1 மற்றும் 1.0 × 10–3 T பகுதியில் செலுத்தப்படும் போது விலக்கமடையாமல் செல்கிறது எனில் எலக்ட்ரானின் மின்னூட்ட எண்
(a) 1.6 × 1010 Ckg–1
(b) 1.7 × 1011 Ckg–1
(c) 1.5 × 1011 Ckg–1
(d) 1.8 × 1011 Ckg–1
விடை: (b) 1.7 × 1011 Ckg–1
7. Li++, He+ மற்றும் H ஆகியவற்றில் n = 2 லிருந்து n = 1 க்கு நகர்வு ஏற்படும் போது உமிழப்படும் அலைநீளங்களின் விகிதம்:
a) 1 : 2 : 3
b) 1 : 4 : 9
c) 3 : 2 : 1
d) 4 : 9 : 36
விடை: d) 4 : 9 : 36

8. ஒரு புரோட்டான் மற்றும் ஒரு எலக்ட்ரானின் மின்னழுத்தம் ppppppppppp எனக் கொடுக்கப்பட்டுள்ளது. (இங்கு r0 ஒரு மாறிலி) மின்னழுத்தத்திற்கு போர் அணு மாதிரியைப் பயன்படுத்தினால் முதன்மை குவாண்டம் எண் n ஐப் பொறுத்து n ஆவது சுற்றுப்பாதை rn இன் மாறுபாட்டின் தன்மை.
a) rn ∝ 1/n
b) rn ∝ n
c) rn ∝ 1/n2
d) rn ∝ n2
விடை: b) rn ∝ n

9. 27Al அணுக்கரு ஆரம் 3.6 பெர்மி எனில் 64Cu அணுக்கரு ஆரம் ஏறக்குறைய
a) 2.4
b) 1.2
c) 4.8
d) 3.6
விடை: c) 4.8

10. அணுக்கரு கிட்டத்தட்ட கோள வடிவம் கொண்டது எனில் நிறை எண் A கொண்ட அணுக்கரு ஒன்றின் பரப்பு ஆற்றல் எவ்வாறு மாறுபடும்?
a) A2/3
b) A4/3
c) A1/3
d) A5/3
விடை: a) A2/3
தீர்வு:
அணுக்கரு கோள வடிவம் எனில், கோளத்தின் பரப்பளவு = 4πR2
கோளத்தின் பரப்பளவு α R2 ; R α A1/3
கோளத்தின் பரப்பளவு α (A1/3)2
அணுக்கருவின் பரப்பளவு α A2/3
11. 37Li அணுக்கருவின் நிறையானது அதிலுள்ள அனைத்து நியூக்ளியான்களின் மொத்த நிறையை விட 0.042 u குறைவாக உள்ளது எனில், 37Li அணுக்கருவின் ஒரு நியூக்ளியானுக்கான பிணைப்பாற்றல்.
a) 46 MeV
b) 5.6 MeV
c) 3.9 MeV
d) 23 MeV.
விடை: b) 5.6 MeV

12. Mp என்பது புரோட்டானின் நிறையையும் Mn என்பது நியூட்ரானின் நிறையையும் குறிக்கும். Z புரோட்டான்களும் N நியூட்ரான்களும் கொண்ட அணுக்கரு ஒன்றின் பிணைப்பாற்றல் B எனில் அவ்வணுக்கருவின் நிறை M (N,Z) ஆனது: (இங்கு c என்பது ஒளியின் வேகம்)
a) M (N,Z) = NMn + ZMp − Bc2
b) M (N,Z) = NMn + ZMp + Bc2
c) M (N,Z) = NMn + ZMp – B/c2
d) M (N,Z) = NMn + ZMp + B/c2
விடை: c) M (N,Z) = NMn + ZMp – B/c2
தீர்வு:
BE = [ ZMp + (A – Z) Mn – M(N, Z)] c2
B / c2 = [ ZMp + (A – Z) Mn – M(N, Z)]
M(N, Z) = ZMp + (A – Z) Mn – B/c2
13. (தொடக்க நிறை எண் A மற்றும் தொடக்க அணு எண் Z கொண்ட) கதிரியக்க அணுக்கரு ஒன்று 2 ஆல்பா துகள்கள் மற்றும் 2 பாசிட்ரான்களை உமிழ்கிறது. இறுதி அணுக்கருவின் நியூட்ரான் மற்றும் புரோட்டான் எண்களின் விகிதம்:

தீர்வு:

14. கதிரியக்கத் தனிமம் A இன் அரை ஆயுட்காலம் மற்றொரு கதிரியக்கத் தனிமம் B -இன் சராசரி ஆயுட்காலத்திற்கு சமமாகும். தொடக்கத்தில் அவ்விரண்டு தனிமங்களின் அணுக்களின் எண்ணிக்கை சமமாக உள்ளது எனில்:
a) A மற்றும் B ன் தொடக்கச் சிதைவு வீதம் சமம்
b) A மற்றும் B ன் சிதைவு வீதம் எப்போதும் சமம்
c) A வை விட B வேகமாக சிதைவடையும்
d) B வை விட A வேகமாக சிதைவடையும்
விடை: (c) A வை விட B வேகமாக சிதைவடையும்
தீர்வு:

λA / λB = 0.693 λB > λA
சிதைவு வீதம் = λN
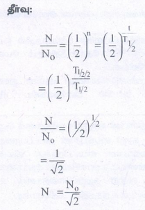
15. t = 0 நேரத்தில் அமைப்பு ஒன்றிலுள்ள அணுக்கருக்களின் எண்ணிக்கை N0. அரை ஆயுட்காலத்தில் பாதியளவு காலம் ppppp ஆகும்போது உள்ள அணுக்கருக்களின் எண்ணிக்கை.
a) No/2
b) N0 /√2
c) No/4
d) No/8
விடை: b) N0 /√2
