சூத்திரம், தீர்க்கப்பட்ட எடுத்துக்காட்டு கணக்குகள், பயிற்சி | கணிதம் - ஈருறுப்புத் தேற்றத்தின் குறிப்பிட்ட வகைகள் | 11th Mathematics : UNIT 5 : Binomial Theorem, Sequences and Series
ஈருறுப்புத் தேற்றத்தின் குறிப்பிட்ட வகைகள் (Particular Cases of Binomial Theorem)
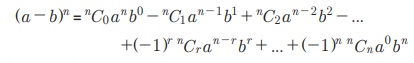
(i) n ∈ ℕ எனில் (a + b)n -ன் விரிவில் b-க்கு பதில் (-b) ஐப் பிரதியிட,

இங்கு '+' மற்றும் ‘-‘ குறியீடுகள் அடுத்தடுத்து வருவதைக் கவனிக்கவும்.
(ii) n ∈ ℕ எனில் (a + b)n -ன் ஈருறுப்பு விரிவில் a = 1 மற்றும் b = x எனப் பிரதியிட,
எனக் கிடைக்கும். குறிப்பாக, x = 1 எனில்,
குறிப்பு: X என்பது n உறுப்புகளைக் கொண்ட ஒரு கணம் எனில், r உறுப்புகளைக் கொண்ட X-ன் உட்கணங்களின் எண்ணிக்கை nCr ஆகும். r = 0, 1, 2, ...... n என nCr இல் பிரதியிட, X-ன் உட்கணங்களின் எண்ணிக்கை கிடைக்கும். எனவே, மேற்குறிப்பிட்ட முற்றொருமையைக் கொண்டு n உறுப்புகள் கொண்ட ஒரு கணமானது 2n உட்கணங்களைப் பெற்றிருக்கும் என்பதை அறியலாம்.
(iii) 
பொதுவாக, x = 1, எனும்பொழுது,

எடுத்துக்காட்டு 5.1 (2x + 3)5 -ன் விரிவாக்கம் காண்க.
தீர்வு:
(a + b)n என்ற ஈருறுப்புத் தேற்றத்தின் விரிவில் a = 2x, b = 3 மற்றும் n = 5 எனப் பிரதியிட,
(2x + 3)5 = (2x)5 + 5(2x)43 + 10(2 x)332 + 10(2 x)233 + 5(2 x)34 + 35
= 32 x5 + 240 x4 + 720 x3 + 1080 x2 + 810 x + 243.
எடுத்துக்காட்டு 5.2 984 -ன் மதிப்பினைக் காண்க.
தீர்வு :
(a - b)n -ன் ஈருறுப்பு விரிவில் a = 100, b = 2 மற்றும் n = 4 எனப் பிரதியிட,
984 = (100 - 2)4
= 4C01004 - 4C110032 + 4C2100222 - 4C3100123 + 4C4100024
= 100000000 – 8000000 + 240000 - 3200 + 16
= 92236816.
எடுத்துக்காட்டு 5.3 (x + y)6 -ன் விரிவில் மைய உறுப்பினைக் காண்க.
தீர்வு:
இங்கு n = 6 இது இரட்டைப்படை எண். எனவே, (x + y)6 -ன் விரிவில் மைய உறுப்பு
ஐக் கொண்ட உறுப்பு. அதாவது, x3y3 ஐ கொண்ட உறுப்பு. எனவே அந்த மைய உறுப்பு 6C3 x3y3 = 20 x3y3 ஆகும்.
எடுத்துக்காட்டு 5.4 (x + y)7 -ன் விரிவில் மைய உறுப்பினைக் காண்க.
தீர்வு:
n = 7 என்பது ஒற்றைப்படை எண். எனவே, இரண்டு மைய உறுப்புகள், அதாவது x4y3 மற்றும் x3y4 -ஐ கொண்டவையாக இருக்கும். அவை, 7C3x4y3 மற்றும் 7C4x3y4 ஆகும். எனவே மைய உறுப்புகள் 35x4y3 மற்றும் 35 x3y4 ஆகும்.
எடுத்துக்காட்டு 5.5 (3 + 2x)10 -ன் விரிவில் x6 -ன் கெழுவைக் காண்க.
தீர்வு:
(a + b)10 -ன் ஈருறுப்புப் விரிவில் a = 3 மற்றும் b = 2x எனக் கொள்க.
x6 என்பது (2x)6 எனக் கொண்டுள்ள உறுப்பில் மட்டுமே காணப்படும். x6 ஐக் கொண்ட உறுப்பு,

(3 + 2x)10 என்ற விரிவில் x6 -ன் கெழு 210 × 3426 ஆகும்.
எடுத்துக்காட்டு 5.6 (2 – 3x)7 -ன் விரிவில் x3 -ன் கெழுவினைக் காண்க.
தீர்வு :
(a + b)7 -ன் ஈருறுப்பு விரிவில் a = 2 மற்றும் b = -3x எனக் கொள்க. x3 ஆனது, (-3x)3 எனக் கொண்டுள்ள உறுப்பில் மட்டுமே காணப்படும். x3 ஐக் கொண்ட உறுப்பு

எனவே, (2 – 3x)7 -ன் விரிவில் x3 -ன் கெழு 35 × 16 × (-27) = -15120 ஆகும்.
எடுத்துக்காட்டு 5.7 (x + a)n -ன் விரிவாக்கத்தில், இரண்டாவது, மூன்றாவது மற்றும் நான்காவது உறுப்புகள் முறையே 240, 720 மற்றும் 1080 எனில் x, a மற்றும் n-ன் மதிப்புகளைக் காண்க.
தீர்வு:
இங்கு T2 = 240, T3 = 720 மற்றும் T4 = 1080

சமன்பாடு (2) ஐ (1) ஆல் மற்றும் (3) ஐ (2) ஆல் வகுக்க, நமக்கு கிடைப்பது,

சமன்பாடுகள் (4) மற்றும் (5) இவற்றிலிருந்து, 
எனவே, n = 5 ஆகும். n = 5 ஐ (1) மற்றும் (4) இல் பிரதியிட்டு, சமன்பாடு (1) ஐ சமன்பாடு (4) ஆல் வகுக்க,
என கிடைக்கும். எனவே, 5x5 = 160. மற்றும் இதன் மூலம் x = 2 எனவும், இதை சமன்பாடு (4) இல் பிரதியிட, a = 3 எனவும் கிடைக்கும்.
எடுத்துக்காட்டு 5.8
ஐ விரிவுப்படுத்துக.
தீர்வு:

எடுத்துக்காட்டு 5.9
விரிவுபடுத்துக.
தீர்வு:

எடுத்துக்காட்டு 5.10 எல்லா மிகை முழு எண் n-க்கும் 6n – 5n ஐ 25 ஆல் வகுக்க மீதி 1 என்பதை ஈருறுப்புத் தேற்றத்தின் மூலம் நிறுவுக.
தீர்வு:
இதை நிறுவ, 6n – 5n = 25k + 1, k என்பது ஒரு இயல் எண், என நிறுவினால் போதுமானது. எனில், (1 + x)n = nC0 + nC1 x + nC2 x2 + ... + nCn-1 x n-1 + nCnx n , n ∈ ℕ
x = 5 என எடுத்துக் கொள்ள, (1 + 5)n = nC0 + nC1 5 + nC2 52 + ... + nCn-1 5 n-1 + nCn 5 n என கிடைக்கும்.
மேலே உள்ள சமன்பாடு, 6n = 1 + 5n + 25 (nC2 + nC3 5 + ... + nCn 5 n-2) என மாறும். அதாவது, 6n - 5n = 1 + 25 (nC2 + nC3 5 + ... + nCn 5 n-2) = 1 + 25k, k ∈ ℕ
இதிலிருந்து, 6n - 5n ஐ 25 ஆல் வகுக்கும்போது மீதி 1 என அறியலாம். இது எல்லா இயல் எண் 'n'-க்கும் பொருந்தும்.
எடுத்துக்காட்டு 5.11 7400 -ன் கடைசி இரண்டு இலக்கங்கள் காண்க.
தீர்வு :
7400 = (72)200 = (50– 1)200
= 200C050200 - 200C150199 + ...
+200C198502 (-1)198 + 200C19950(-1)199 + 200C200 (-1)200
= 502 (200 C050198 - 200 C150197 +... + 200C198 (-1)198) - 200 × 50 + 1
502 மற்றும் 200 என்பன 100 ஆல் வகுபடும். எனவே, 7400 -ன் கடைசி இரண்டு இலக்கங்கள் 0 1.
1. விரிவு படுத்துக.

2. மதிப்புக் காண்க.
(i) 1024
(ii) 994
(iii) 97
3. ஈருறுப்புத் தேற்றத்தைப் பயன்படுத்தி (1.01)1000000 மற்றும் 10000 ஆகியவற்றில் எது பெரியது எனக் காண்க.
4.
-ன் விரிவில் x15-ன் கெழுவைக் காண்க.
5.
-ன் விரிவில் x2 மற்றும் x6 டன் கெழுக்களைக் காண்க
6.
-ன் விரிவில் x4-ன் கெழுவைக் காண்க.
7.
-ன் விரிவில் மாறிலி உறுப்பைக் காண்க.
8. 3600 -ன் கடைசி இரண்டு இலக்கங்களைக் காண்க.
9. எல்லா மிகை முழு எண் n-க்கும் 9n+1- 8n – 9 என்பது 64 ஆல் வகுபடும் என ஈருறுப்புத் தேற்றம் மூலம் நிறுவுக.
10. n ஒரு ஒற்றைப்படை மிகை முழு எண் எனில், (x + y)n -ன் விரிவில் மைய உறுப்புகளின் கெழுக்கள் சமம் என நிறுவுக.
11. n ஒரு மிகை முழு எண் மற்றும் r என்பது குறையற்ற முழு எண் எனில், (1+x)n -ன் விரிவில் xr மற்றும் xn-r உறுப்புக்களின் கெழுக்கள் சமம் என நிறுவுக.
12. a மற்றும் b என்பவை வெவ்வேறு முழுக்கள் எண்கள் எனில், n என்ற மிகை முழு எண்ணிற்கு an - bn -ன் ஒரு காரணி a - b என நிறுவுக. (குறிப்பு: an = (a - b + b)n என எடுத்து விரிவு படுத்துக)
13. (a + b)n -ன் விரிவில், 4 ஆவது மற்றும் 13 ஆவது உறுப்புகளின் கெழுக்கள் சமம் எனில், n-ன் மதிப்பைக் காண்க.
14. (a + x)n -ன் விரிவில் தொடர்ச்சியான மூன்று உறுப்புகளின் ஈருறுப்புக் கெழுக்களின் விகிதம் 1:7:42 எனில், n -ன் மதிப்புக் காண்க.
15. (1+x)n -ன் விரிவில் 5 ஆவது, 6 ஆவது மற்றும் 7 ஆவது உறுப்புகளின் கெழுக்கள் ஒரு கூட்டுத் தொடர் எனில், n-ன் மதிப்புகளைக் காண்க
16.
என நிறுவுக.