பல நுட்பங்கள் | நான்கு முறைகள் - தளவிளைவு ஆக்கும் நுட்பங்கள் (Polarisation techniques) | 12th Physics : UNIT 7 : Wave Optics
தளவிளைவு ஆக்கும் நுட்பங்கள் (Polarisation
techniques)
தளவிளைவற்ற ஒளியை, பல்வேறு நுட்பங்களைப் பயன்படுத்தித்
தளவிளைவு அடைந்த ஒளியாக மாற்றலாம். இங்கு , பின்வரும் நான்கு முறைகளைப்பற்றி மட்டும்
படிக்கலாம்
(i) தேர்ந்தெடுக்கப்பட்ட உட்கவர்தல் மூலம்
தளவிளைவு ஆக்கம்
(ii) எதிரொளிப்பின் மூலம் தளவிளைவு ஆக்கம்
(iii) இரட்டை ஒளிவிலகலின் மூலம், தளவிளைவு
ஆக்கம்
(iv) ஒளிச்சிதறல் மூலம் தளவிளைவு ஆக்கம்.
தேர்ந்தெடுக்கப்பட்ட உட்கவர்தல் (அல்லது) தெரிவு உட்கவர்தல் மூலம் தளவிளைவு
ஆக்கம் (Polarisation by selective absorption)
தெரிவு உட்கவர்தல் என்பது பொருளின் ஒரு பண்பாகும்.
குறிப்பிட்ட ஒருங்கமைவு திசைக்கு இணையாக உள்ள தளத்தில் மட்டும் மின்புல அதிர்வுகளைப்
பெற்றுள்ள ஒளி அலைகளைத் தன்வழியே செல்ல அனுமதித்தும், மற்ற அனைத்து ஒளி அலைகளையும்
உட்கவரும் பொருளின் இப்பண்பிற்குத் தெரிவு உட்கவர்தல் அல்லது தேர்ந்தெடுக்கப்பட்ட உட்கவர்தல்
என்று பெயர்.
போலராய்டுகள் (Polaroids) அல்லது தளவிளைவு
ஆக்கிகள் என்பவை , மெல்லிய வணிகரீதியாகப் பயன்படும் தகடுகளாகும். இவை, தெரிவு உட்கவர்தல்
பண்பை அடிப்படையாகக் கொண்டு, அதிகச் செறிவு கொண்ட முழுவதும் தளவிளைவு அடைந்த ஒளி அலைகளை
உருவாக்குகின்றன. தெரிவு உட்கவர்தலை, இருவண்ண த் தன்மை (dichrosim) என்றும் அழைக்கலாம்.
1932 இல் அமெரிக்க அறிவியல் அறிஞர் எட்வின் லாண்ட் (Edwin
அட்டவணை 6.6 தளவிளைவு அடைந்த மற்றும் தளவிளைவு
அடையாத ஒளிக்கற்றைகளின் சில பண்புகள்
வ. எண் தளவிளைவு அடைந்த ஒளி / தளவிளைவு அடையாத
ஒளி
1. ஒளிக்கதிர்பரவும் திசைக்குச் செங்குத்தாக
உள்ள ஒரே ஒரு தளத்தில் மட்டும் மின்புல அதிர்வுகளைப்
பெற்றிருக்கும்
ஒளிக்கதிர் பரவும் திசைக்குச் செங்குத்தாக
உள்ள அனைத்து திசைகளிலும் மின்புல வெக்டர்களின் வெக்டர்கள் அதிர்வுகள் சமமாகப் பங்கிடப்பட்டிருக்கும்.
2. ஒளிக்கதிர் பரவும் திசையைப் பொருத்து சமச்சீரற்றது
ஒளிக்கதிர் பரவும் திசையைப் பொருத்து சமச்சீரானது.
3. தளவிளைவு ஆக்கிகளைப் பயன்படுத்தி, தளவிளைவு
அடையாத ஒளியிலிருந்து, ஒளி பெறப்படுகிறது.
மரபான ஒளி மூலங்களிலிருந்து இவ்வகையான ஒளி கிடைக்கிறது


படம் 6.73 போலராய்டு வெயில் காப்பு கண்ணாடிகள்
Land) என்பவர் தகடு வடிவிலான தளவிளைவு ஆக்கிகளை
உருவாக்கினார். இயற்கையில் கிடைக்கும் தளவிளைவு ஆக்கி டர்மலைன் (Tourmaline) ஆகும்.
தளவிளைவு ஆக்கிகளைச் செயற்கையாகவும் உருவாக்கலாம். சிறிய ஊசி வடிவிலான குயினின் அயோடோசல்பேட்
(Quinine iodosulphate) படிகங்கள், ஒளியைத் தளவிளைவு ஆக்கும் பண்பினைப் பெற்றுள்ளன
எனக் கண்டறியப்பட்டுள்ளது. இரண்டு ஒளிபுகும் பிளாஸ்டிக் தகடுகளுக்கு நடுவே அதிக எண்ணிக்கையால்
இப்படிகங்களின் அச்சுகள் ஒன்றுக்கொன்று இணையாக உள்ளவாறு அமைத்து, அதனைப் போலராய்டாகப்
பயன்படுத்தலாம். தற்காலத்தில் (polyvinyl alcohol) மெல்லேடுகளைப் பயன்படுத்திப் போலராய்டுகள்
உருவாக்கப்படுகின்றன. இவை, அதிக ஒளிகடத்தும் தன்மை கொண்ட நிறமற்ற படிகங்களாகும். மேலும்
சிறந்த முறையில் ஒளியை, தளவிளைவு அடையச் செய்யும். போலராய்டுகள் பல்வேறு வகைகளில் பயன்படுகின்றன.
அவற்றில் ஒரு பயன்பாடு படம் 6.73 இல் காட்டப்பட்டுள்ளது.
1. தளவிளைவு
ஆக்கி மற்றும் தளவிளைவு ஆய்வி (Polarisar and Analyser)
தளைவிளைவு அற்ற ஒளிக்கற்றை ஒன்றைக் கருதுவோம். ஒளிபரவும் திசைக்குச் செங்குத்தாக உள்ள அனைத்துத் திசைகளிலும் தளவிளைவற்ற ஒளிக்கற்றை அதிர்வுகளைப் பெற்றிருக்கும். இது படம் 6.74 இல் காட்டப்பட்டுள்ளது. இக்கற்றை P1 என்ற போலராய்டு வழியே செல்லும்போது ஒரு குறிப்பிட்ட தளத்தில் மட்டும் அதிர்வுகள் அனுமதிக்கப்படுகின்றன. போலராய்டில் இருந்து வெளியேறும் ஒளிக்கற்றை மற்றொரு P2 என்ற போலராய்டு வழியே செலுத்தப்படுகிறது. ஒளிக்கதிரை அச்சாகக் கொண்டு , போலராய்டைச் சுழற்றும் போது, P2 போலராய்டின் ஒரு குறிப்பிட்ட நிலையில் ஒளிச்செறிவு பெருமமாகிறது. இந்த நிலையிலிருந்து போலராய்டை மீண்டும் சுழற்றும் போது ஒளிச்செறிவு குறைய ஆரம்பித்து, P2 போலராய்டு 90° ஐ அடையும் போது ஒளிச்செறிவு முற்றிலும் மறைந்துவிடுகிறது. மீண்டும் P2 போலராய்டைச் சுழற்றும் போது மீண்டும் ஒளி தோன்ற ஆரம்பித்து படிப்படியாக ஒளிச்செறிவு அதிகரித்து 180° சுழற்சியில் பெரும் ஒளிச்செறிவு கிடைக்கிறது. P1 போலராய்டில் இருந்து வெளியேறிய ஒளி முழுவதும் தளவிளைவு அடைந்த ஒளியாகும். தன் வழியே பாயும் தளவிளைவற்ற ஒளியை , முழுவதும் தளவிளைவு அடைந்த ஒளியாக மாற்றும் போலராய்டுக்குத் (இங்கு P1) தளவிளைவு ஆக்கி என்று பெயர். தன் வழியே பாயும் ஒளியை, தளவிளைவு அடைந்த ஒளியா? அல்லது தளவிளைவு அடையாத ஒளியா? என ஆய்வு செய்யும் போலராய்டுக்கு (இங்கு P2) தளவிளைவு ஆய்வி என்று பெயர்.
தளவிளைவு அற்ற ஒளியின் செறிவு (I) எனில், முழுவதும்
தளவிளைவு அடைந்த ஒளியின் செறிவு (I/2) வாக இருக்கும். மற்றொரு பங்கு ஒளிச்செறிவானது,
தளவிளைவு ஆக்கியால் தடுக்கப்படுகிறது.
2. முழுவதும்
மற்றும் பகுதி தளவிளைவு அடைந்த ஒளி
தளவிளைவு ஆய்வி சுழியிலிருந்து 90° வரை ஒவ்வொருமுறை
சுழற்றும் போதும், ஒளிச்செறிவு சுழிக்கும் பெருமத்திற்கும் இடையில் மாற்றமடைந்தால்,
அவ்வொளியை முழுவதும் தளவிளைவு அடைந்த ஒளி என அழைக்கலாம். இது படம் 6.75(அ) இல் காட்டப்பட்டுள்ளது.
இதற்குக்காரணம் ஓர் அச்சில் அதிர்வுகள் அனுமதிக்கப்படுகின்றன. இவ்வச்சுக்குச் செங்குத்தாக
உள்ள அச்சில் அதிர்வுகள் முற்றிலும் தடுக்கப்படுகின்றன. வேறு வகையில் கூறுவோமாயின்,
தளவிளைவு ஆய்வியின் ஒவ்வொரு 90° சுழற்சிக்கும் ஒளிச்செறிவு பெருமத்திற்கும் சிறுமத்திற்கும்
இடையில் மாற்றமடைந்தால் அந்த ஒளியைப் பகுதி தளவிளைவு அடைந்த ஒளி என அழைக்கலாம். இது
படம் 6.75(ஆ ) இல் காட்டப்பட்டுள்ளது. இதற்குக் காரணம் குறிப்பிட்ட அச்சில் ஒளி முற்றிலும்
தடுக்கப்படாததே ஆகும். எனவே, குறைந்த செறிவு தோன்றுகிறது.

படம் 6.75 தளவிளைவினால் ஏற்படும் செறிவு மாறுபாடு
3 மாலஸ்
(Malus') விதி
தளவிளைவு ஆய்வியை படுகதிரின் திசைக்கு செங்குத்தான
திசையில் ஒரு குறிப்பிட்டக் கோணத்திற்கு சுழற்றி, முழுவதும் தளவிளைவு அடைந்த ஒளியைப்
தளவிளைவு ஆய்வி வழியாகப் பார்க்கும்போது, வெளியேறும் ஒளியின் செறிவில் ஒரு மாற்றம்
ஏற்படும். (I0) செறிவு கொண்ட முழுவதும் தளவிளைவு அடைந்த ஒளி, தளவிளைவு ஆய்வியில்
விழுந்து (I) செறிவு கொண்ட ஒளியாக தளவிளைவு ஆய்வியிலிருந்து வெளியேறும்போது, அதன் செறிவு
தளவிளைவு ஆக்கி மற்றும் தளவிளைவு ஆய்வியின் பரவு தளங்களுக்கு இடையே உள்ள கோணத்தின்
கொசைன் மதிப்பின் (θ) இருமடிக்கு நேர்விகிதத்தில்
இருக்கும். இதற்கு மாலஸ் விதி என்று பெயர். 1809 இல் பிரஞ்சு அறிஞர் E.N. மாலஸ் இதனைக்கண்டறிந்தார்.
இது படம் 6.76 இல் காட்டப்பட்டுள்ளது.


மாலஸ் விதியின் நிரூபணம் பின்வருமாறு, தளவிளைவு
ஆக்கி மற்றும் தளவிளைவு ஆய்வியின் தளங்கள் படம் 6.77 இல் காட்டியுள்ளவாறு ஒன்றுக்கொன்று
θ கோணத்தில்
சாய்ந்துள்ளன எனக்கருதுக. தளவிளைவு ஆக்கியிலிருந்து வெளியேறும் ஒளியின் மின்புல வெக்டரின்
செறிவை (I0) எனவும், அதன் வீச்சை (a) எனவும் கொள்க. படும் ஒளியின் வீச்சு
(a) இரண்டு கூறுகளைப் பெற்றுள்ளது அவை acosθ மற்றும்
asinθ ஆகும்.
இவை முறையே தளவிளைவு ஆய்வியின் பரவுதளத்திற்கு (Plane of transmission) இணையாகவும்,
செங்குத்தாகவும் உள்ளன.
acosθ கூறு
மட்டும் தளவிளைவு ஆய்வியின் வழியாக வெளியேறும். தளவிளைவு ஆய்வியின் வழியாக வெளியேறும்
ஒளியின் செறிவு, தளவிளைவு ஆய்வியின் வழியாக வெளியேறும் வீச்சுக்கூறின் இருமடிக்கு நேர்விகிதத்தில்
இருக்கும்.
I ∝ (acosθ)2
I = k(acosθ)
2
இங்கு k என்பது விகிதமாறிலி
I =ka2 cos2 θ
I = I0 cos2 θ
இங்கு, I0 = ka2 என்பது,
தளவிளைவு ஆய்வியின் வழியாக வெளியேறும் ஒளியின் பெரும ஒளிச்செறி கும்.

சிறப்பு நேர்வுகள் பின்வருமாறு.
நேர்வு (i) θ =
0° அல்லது 180° எனில் Cos 0° = 1, எனவே, I = I0
தளவிளைவு ஆக்கி மற்றும் தளவிளைவு ஆய்வியின்
பரவு அச்சுகள் திசைகள் ஒன்றுக்கொன்று இணையாக அல்லது எதிர் இணையாக உள்ளபோது, தளவிளைவு
ஆய்வியின் வழியாக வெளியேறும் ஒளியின் செறிவும், தளவிளைவு ஆக்கியின் மீது விழும் ஒளியின்
செறிவும் சமமாகும்.
நேர்வு (ii) θ =
90° எனில் cos 90° = 0, எனவே, I = 0
தளவிளைவு ஆக்கி மற்றும் தளவிளைவு ஆய்வியின்
பரவு அச்சுகள் ஒன்றுக்கொன்று செங்குத்தாக உள்ள போது , தளவிளைவு ஆய்வியின் வழியாக வெளியேறும்
ஒளியின் செறிவு சுழியாகும்.
எடுத்துக்காட்டு
6.37
இரண்டு போலராய்டுகளின் பரவு அச்சுகள் ஒன்றுக்கொன்று
30° கோணத்தில் சாய்ந்துள்ள நிலையில், I செறிவு கொண்ட தளவிளைவு அற்ற ஒளி முதல் போலாராய்டின்
மீது விழுகின்றது. இரண்டாவது போலராய்டில் இருந்து வெளியேறும் ஒளியின் செறிவினைக் காண்க
தீர்வு
முதல் போலராய்டின் மீது விழும் ஒளியின் செறிவை
(I) என்க. இந்தப் போலராய்டிலிருந்து வெளியேறும் ஒளியின் செறிவு I0 = (I/2)
ஆகும்.
இரண்டாவது போலராய்டிலிருந்து வெளியேறும் ஒளியின்
செறிவை I' எனக்கொண்டால்
மாலசின் விதிப்படி, I' = I0 cos2 θ மதிப்புகளைப்
பிரதியிடும் போது,

எடுத்துக்காட்டு
6.38
ஒன்றுக்கொன்று செங்குத்தாக (பரவு அச்சுகள்
90° கோணத்தில் உள்ள) இரண்டு போலராய்டுகள் வைக்கப்பட்டுள்ளன. இவ்வமைப்பினைக் கொண்டு
பின்வருவனவற்றைக் காண்க.
(i) முதல் போலராய்டின் மீது (I) ஒளிச்செறிவு
கொண்ட ஒளி விழுந்தால், இரண்டாவது போலாராய்டிலிருந்து வெளியேறும் ஒளியின் செறிவு என்ன?
(ii) இரண்டு போலராய்டுகளுக்கும் 45° சாய்ந்த நிலையில், மூன்றாவது போலராய்டு ஒன்றை அவற்றின்
நடுவே வைத்தால் இரண்டாவது போலராய்டிலிருந்து வெளியேறும் ஒளியின் செறிவைக் காண்க.
தீர்வு
முதல் போலராய்டின் மீது விழும் ஒளியின் செறிவை
(I) என்க. இந்த போலராய்டில் இருந்து வெளியேறும் ஒளியின் செறிவை I' எனக் கருதினால் மாலசின்
விதிப்படி, 
இங்கு பரவு அச்சுகள் ஒன்றுக்கொன்று செங்குத்து.
எனவே , θ =
90°
மதிப்புகளைப் பிரதியிடும் போது,

இரண்டாவது போலராய்டில் இருந்து எவ்வித ஒளியும்
வெளிவராது.
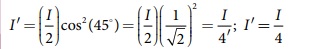
(ii) முதல் போலராய்டை P1 எனவும்
இரண்டாவது போலராய்டை P2 எனவும் கருதுக. இவ்விரண்டும் 90° கோணத்தில் ஒருங்கமைத்துள்ளன.
மூன்றாவது போலராய்டு P, இவற்றுக்கு நடுவே 45° கோணத்தில் வைக்கப்பட்டுள்ளது. P1
யிலிருந்து வெளியேறும் ஒளியின் செறிவை I' என்க.
P1 மற்றும் P3 க்கு
இடையேயான கோணம் 45° P3 .யிலிருந்து வெளியேறும் ஒளியின் செறிவு I' = I
cos2 θ
மதிப்புகளைப் பிரதியிடும் போது,

P3 மற்றும் P2 க்கு
இடையே உள்ள கோணம் 45° P2 விலிருந்து வெளியேறும் ஒளியின் செறிவு, I'’ = I'
cos2 θ
இங்கு P2 மற்றும் P3
க்கு நடுவே தோன்றும் ஒளியின் செறிவு I/4 ஆகும். மதிப்புகளைப் பிரதியிடும் போது,

4. போலாராய்டுகளின்
பயன்கள்
1. போலராய்டுகள், கண் கூசுவதைத் தடுக்கும்
கண்ணாடிகளாகவும், புகைப்படக்கருவிகளில் ஒளிவடிப்பானாகவும் மேலும் வெயில் காப்புக் கண்ணாடிகளிலும்
பரவலாக பயன்படுகின்றன.
2. முப்பரிமாண திரைப்படக்காட்சிகளை அதாவது
ஹாலோகிராபியை உருவாக்க போலராய்டுகள் பயன்படுகின்றன.
3. பழைய எண்ணெய் ஓவியங்களில் நிறங்களை வேறுபடுத்தி
அறிய போலராய்டுகள் பயன்படுகின்றன.
4. போலராய்டுகள் ஒளித் தகைவு பகுப்பாய்வில்
(Optical Stress analysis) பயன்ப டுகின்றன.
5. ஜன்னல் கண்ணாடிகளில் போலராய்டுகளைப் பயன்படுத்தி,
அறையின் உள்ளே வரும் ஒளியின் செறிவைக் கட்டுப்படுத்தலாம்.
6. தளவிளைவடைந்த லேசர் கற்றை, ஊசிமுனை போன்று
செயல்பட்டு, குறுந்தகடுகளைப் (CDS) படிக்க அல்லது அவற்றில் செய்திகளைப் பதிவு செய்ய
பயன்படுகின்றன.
7. திரவ படிகத் திரையில் (LCD) பயன்படும்,
தளவிளைவு அடைந்த ஒளியை உருவாக்க போலராய்டுகள் பயன்படுகின்றன.
எதிரொளிப்பின் மூலம் தளவிளைவு ஆக்கம்

படம் 6.78 ஒளி எதிரொளிப்பின் மூலம் தளவிளைவு
முழுவதும் தளவிளைவு அடைந்த ஒளியை உருவாக்கப்
பயன்படும் மிக எளிய முறை எதிரொளிப்பு ஆகும். X,Y என்ற எதிரொளிக்கும் கண்ணாடிப் பரப்பின்
மீது, AB என்ற தளவிளைவு அற்ற ஒளிக்கற்றை ஒன்று குறிப்பிட்ட கோணத்தில் விழுகிறது எனக்கருதுக.
AB ஒளிக்கற்றையில் படத்தின் தளத்திற்கு இணையாக உள்ள அதிர்வுகள் அம்புக்குறிகளினாலும்,
படத்தின் தளத்திற்குச் செங்குத்தான மற்றும் எதிரொளிக்கும் பரப்பிற்கு இணையான அதிர்வுகள்
புள்ளிகளினாலும் குறிப்பிட்டுக் காட்டப்பட்டுள்ளன. இவை படம் 6.78 இல் காட்டப்பட்டுள்ளன.
படும் ஒளியின் ஒரு பகுதி எதிரொளித்து BC வழியாகவும், மற்றொரு பகுதி BD வழியாக ஒளிவிலகலும்
அடைகிறது. தளவிளைவு ஆய்வி ஒன்றைப் பயன்படுத்தி எதிரொளிப்பு அடைந்த ஒளியை ஆய்வு செய்யும்
போது, அந்த ஒளி, பகுதி தளவிளைவு அடைந்துள்ளது என அறியப்பட்டது. படும் ஒளிக் கற்றையை
ஒரு குறிப்பிட்டக் கோணத்தில் விழச்செய்யும்போது (கண்ணாடிக்கு 57.5°) எதிரொளிப்பு அடைந்த
ஒளி முழுவதும் தளவிளைவு அடைந்திருக்கும். எந்தக் குறிப்பிட்ட படுகோண மதிப்பிற்கு எதிரொளிப்பு
அடைந்த கதிர் முற்றிலும் அடைந்ததோ, அந்தப் படுகோணமே தளவிளைவுக் கோணமாகும் ip
1. புருஸ்டர்
விதி
1808 இல் மாலஸ் என்ற அறிஞர், ஒளிபுகும் ஊடகத்தின்
பரப்பில் பட்டு எதிரொளிப்பு அடைந்த சாதாரண ஒளிக்கதிர், பகுதி தளவிளைவு அடைகிறது என
கண்டறிந்தார். மேலும், ஒளியின் தளவிளைவு படுகோணத்தைச் சார்ந்தது. ஒரு குறிப்பிட்ட படுகோணமதிப்பிற்கு,
எதிரொளிப்பு அடைந்த ஒளி முழுவதும் தளவிளைவு அடையும். எந்த ஒரு குறிப்பிட்ட படுகோண மதிப்பிற்கு,
தளவிளைவு அடையாத ஒளிக்கற்றை, ஒளிபுகும் பரப்பில் பட்டு எதிரொளிப்பு அடைந்து முழுவதும்
தளவிளைவு அடைந்த ஒளியாக மாறுகிறதோ, அந்தப் படுகோணமே தளவிளைவுக் கோணம் அல்லது புருஸ்டர்
கோணம் (ip) ஆகும். மேலும் பிரிட்டிஷ் அறிஞர் சர் டேவிட் புருஸ்டர், தளவிளைவுக்
கோணத்தில் எதிரொளிப்பு அடைந்த மற்றும் ஒளிவிலகல் அடைந்த ஒளிக்கதிர்கள் ஒன்றுக்கொன்று
செங்குத்து எனக் கண்டறிந்தார். (ip) என்பது தளவிளைவுப் படுகோணம் எனவும்,
(rp) என்பது இதற்கான ஒளிவிலகு கோணம் எனவும் கருதினால், படம் 6.78 இல் இருந்து

ஸ்னெல் விதியிலிருந்து ஒளிபுகும் ஊடகத்தின்
ஒளிவிலகல் எண்

இங்கு n என்பது ஒளிவிலகல் எண்ணாகும்.
சமன்பாடு 6.169 இருந்து rp யின்
மதிப்பைப் பிரதியிடும் போது பின்வரும் சமன்பாடு கிடைக்கும்.

இத்தொடர்புக்கு புருஸ்டர் விதி என்று பெயர்.
புருஸ்டர் விதியின்படி, ஒளிபுகும் ஊடகத்தின் தளவிளைவுக் கோணத்தின் டேஞ்சன்ட் மதிப்பு,
அந்த ஊடகத்தின் ஒளிவிலகல் எண்ணிற்குச் சமமாகும். புருஸ்டர் கோணத்தின் மதிப்பு, ஒளி
புகும் ஊடகத்தின் தன்மையையும், பயன்படுத்தப்படும் ஒளியின் அலைநீளத்தையும் சார்ந்தது.
எடுத்துக்காட்டு
6.39
பின்வருவனவற்றின் தளவிளைவுக் கோணங்களைக் காண்க.
ஒளிவிலகல் எண் 1.5 கொண்ட கண்ணாடி மற்றும்
1.33 ஒளிவிலகல் எண்கொண்ட தண்ணீர்
தீர்வு

2. தட்டடுக்குகள்
(Pile of Plates)

எதிரொளிப்பின் மூலம் தளவிளைவு ஆக்கல் நிகழ்வின்
அடிப்படையில் தட்டடுக்குகள் உருவாக்கப்படுகின்றன. அதிக எண்ணிக்கையில் கண்ணாடித் தகடுகள்
படம் 6.79 இல் காட்டியுள்ளவாறு குழாய் ஒன்றின் உள்ளே ஒன்றின் மீது மற்றொன்று சாய்த்து
வைக்கப்பட்டுள்ளன. இக்கண்ணாடித் தகடுகள் குழாயின் அச்சுக்கு 33.7° கோணத்தில் (90°
- 56.3.) உள்ள ன. குழாயின்
அச்சுக்கு இணையாக வரும் தளவிளைவு அற்ற ஒளிக்கற்றை தட்டடுக்கின் மீது விழச்செய்யப்படுகிறது.
எனவே, படுகோணம் 56.3° ஆகும். இப்படுகோணம் கண்ணாடியின் தளவிளைவுக் கோணமாகும். படுதளத்திற்குச்
செங்குத்தான அதிர்வுகள் ஒவ்வொரு கண்ணாடிப் பரப்பினாலும் எதிரொளிக்கப்பட்டும், இணையான
அதிர்வுகள் பரப்பின் வழியே ஊடுருவியும் செலகின்றன. பரப்புகளின் எண்ணிக்கை அதிகமாக இருந்தால்
எதிரொளிப்பு அடைந்து முழுவதும் தளவிளைவு அடைந்த ஒளியின் செறிவும் அதிகரிக்கும். தட்டடுக்கு
தளவிளைவு ஆக்கியாகவும், தளவிளைவு ஆய்வியாகவும் பயன்படுகின்றது.
எடுத்துக்காட்டு
6.40
கிடைத்தளத்திற்கு இணையாகச் செல்லும் தளவிளைவற்ற
ஒளிக்கற்றை, ஒளிவிலகல் எண் 1.65 கொண்ட கண்ணாடிப் பரப்பின் மீது பட்டு எதிரொளிப்பு அடைகிறது.
எதிரொளிப்பு அடைந்த ஒளிக்கற்றை முழுவதும் தளவிளைவு அடைய வேண்டுமெனில், கண்ணாடிப்பரப்பு
கிடைத்தளத்துடன் எந்தக் கோணத்தில் சாய்த்துவைக்கப்பட வேண்டும்?
தீர்வு
கண்ணாடியின் ஒளிவிலகல் எண் n = 1.65
புருஸ்டர் விதிப்படி, tanip =n
tanip =1.65; ip = tan-11.65; ip, = 58.8°
கிடைத்தளத்துடன் சாய்த்து வைக்கப்பட வேண்டிய
கோணம், (90° - 58.8°) = 31.2°
இரட்டை ஒளி விலகலின் மூலம் தளவிளைவு ஆக்கம்
எராஸ்மஸ் பார்தோலினஸ் (Erasmus
Bartholinus) என்ற டச்சு இயற்பியல் அறிஞர், தளவிளைவற்ற ஒளிக்கற்றை கால்சைட் படிகத்தின்
மீது விழும் போது இரண்டு ஒளிவிலகல் கதிர்களாகப் பிரிகை அடைகிறது எனக் கண்டறிந்தார்.
எனவே, ஒரு பொருளுக்கு இரண்டு பிம்பங்கள் தோன்றுகின்றன.
இந்த நிகழ்ச்சிக்கு இரட்டை ஒளிவிலகல் என்று பெயர். இது படம் 6.80 இல் காட்டப்பட்டுள்ளது.
குவார்ட்ஸ், மைக்கா போன்ற மற்ற பொருள்களிலும் இப்பண்பு காணப்படுகிறது.

புள்ளி ஒன்றினை கால்சைட் படிகத்தின் வழியே
செங்குத்தாய் பார்க்கும்போது இரண்டு பிம்பங்கள் தோன்றும், படிகத்தைச் சுழற்றும் போது
ஒரு பிம்பம் நிலையாகவும் மற்றொரு பிம்பம், நிலையான பிம்பத்தை சுற்றியும் வருகிறது.
நிலையாக உள்ள பிம்பத்திற்குச் சாதாரண பிம்பம் என்று பெயர் O. இப்பிம்பம் ஒளிவிலகல்
விதிகளுக்கு உட்படும் ஒளிவிலகு கதிரினால் ஏற்படுகிறது. மற்றொரு பிம்பம் அசாதாரண பிம்பமாகும்
E. இப்பிம்பம் ஒலிவிலகல் விதிகளுக்கு உட்படாத ஒளிவிலகு கதிரினால் ஏற்படுகிறது. இந்த
அசாதாரண ஒளிக்கதிர் முழுவதும் தளவிளைவு அடைந்த கதிர் எனக் கண்டறியப்பட்டுள்ளது. இரட்டை
ஒளிவிலகல் ஏற்படும் படிகத்தின் உள்ளே சாதாரணக்கதிர் அனைத்துத் திசைகளிலும் ஒரே திசைவேகத்தில்
செல்கிறது. ஆனால், அசாதாரணக்கதிர் ஒவ்வொரு திசையிலும் வெவ்வேறு திசைவேகங்களில் செல்கிறது.
இரட்டை ஒளிவிலகல் ஏற்படும் படிகத்தின் உள்ளே உள்ள, புள்ளி ஒளி மூலம் ஒன்று சாதாரணக்கதிருக்குக்
கோளக அலைமுகப்பையும், அசாதாரண கதிருக்கு நீள்வட்ட அலைமுகப்பையும் உருவாக்கும். படிகத்தின்
உள்ளே ஒரு குறிப்பிட்ட திசையில் இவ்விரண்டு கதிர்களும் ஒரே திசைவேகத்தில் செல்கின்றன.
அந்தத் திசைக்கு ஒளியியல் அச்சு என்று பெயர். ஒளியியல் அச்சில், இரண்டு கதிர்களும்
ஒரே ஒளிவிலகல் எண்ணைப் பெற்றிருக்கும். மேலும், இந்த அச்சில் இரட்டை ஒளிவிலகலும் ஏற்படாது.
ஒளியியல் செயல்புரியும் படிகங்களின் வகைகள்
கால்சைட், குவார்ட்ஸ், டர்மலைன் மற்றும் பனிக்கட்டி
போன்ற படிகங்கள் ஒரே ஒரு ஒளியியல் அச்சைப் பெற்றுள்ளன. எனவே, அவை ஓரச்சுப்படிகங்கள்
என்று அழைக்கப்படுகின்றன.
மைக்கா, புஷ்பராகம் (Topaz) செலினைட், அராகோனைட்
போன்ற படிகங்கள் இரண்டு ஒளியியல் அச்சுகளைப் பெற்றுள்ளன. எனவே அவை ஈரச்சுப்படிகங்கள்
என்று அழைக்கப்படுகின்றன.
நிகோல் பட்டகம்

நிகோல் (Nicol) பட்டகம், கால்சைட் படிகத்தினால்
உருவாக்கப்பட்ட ஒரு ஒளியியல் கருவியாகும். இது மற்ற ஒளியியல் கருவிகளுடன் இணைந்து முழுவதும்
தளவிளைவு அடைந்த ஒளியை உருவாக்கவும், ஆய்வு செய்து பார்க்கவும் பயன்படுகிறது. நிகோல்
பட்டகம் இரட்டை ஒளிவிலகல் நிகழ்வின் அடிப்படையில் செயல்படுகிறது. இதனை 1828 இல் வில்லியம்
நிகோல் என்ற அறிஞர் உருவாக்கினார். அகலத்தைப்போன்று மூன்றுமடங்கு நீளம் கொண்ட கால்சைட்
படிகத்தினால் பொதுவாக நிகோல் பட்டகங்கள் உருவாக்கப்படுகின்றன. படம் 6.81 இல் கட்டியுள்ளவாறு
ABCD என்பது கால்சைட் படிகத்தின் முதன்மைப் பிரிவைக் குறிக்கும். படிகத்தின் முகக்கோணங்கள்
(Face angles) 72° மற்றும் 108° உள்ளவாறு மூலைவிட்டத்தின் வழியே இரண்டு துண்டுகளாக
வெட்டப்படுகிறது. இவ்விரண்டு துண்டுகளும் கனடா பால்சம் என்ற ஒளிபுகும் சிமெண்ட் கொண்டு
மீண்டும் ஒன்றுடன் ஒன்று ஒட்டப்படுகின்றன.
சோடியம் ஆவி விளக்கு போன்ற ஒற்றை நிற ஒளிமூலம்
ஒன்றிலிருந்து வரும் தளவிளைவற்ற ஒளி, நிகோல் பட்டகத்தின் முகம் AC யில் விழுகிறது எனக்கருதுக.
இந்த ஒளி இரட்டை ஒளிவிலகல் அடைந்து சாதாரணமற்றும் அசாதாரண கதிர்களாகப் பிரிகை அடைந்து
வெவ்வேறு திசைவேகங்களில் செல்கின்றன. சாதாரண ஒளிக்குப் (ஒற்றை நிற சோடிய ஒளி) படிகத்தின்
ஒளிவிலகல் எண் 1.658, அசாதாரண ஒளிக்கு ஒளிவிலகல் எண் 1.486. இதே அலைநீளம் கொண்ட ஒளிக்குக்
கனடா பால் சத்தின் ஒளிவிலகல் எண் 1.523. எனவே, கனடா பால்சம் ஒளியைத் தளவிளைவு அடையச்
செய்வதில்லை. கானடா பால் சத்தினால், சாதாரண ஒளி முழு அக எதிரொளிப்பு அடைந்து, படிகத்தின்
மற்றொரு முகம் வழியாக வெளியேறாமல் தடுக்கப்படுகிறது. முழு தளவிளைவு அடைந்த அசாதாரண
ஒளி மட்டும் படிகத்தின் வழியாக வெளியேறுகிறது.
நிகோல் பட்டகத்தின் பயன்கள்
(i) இது முழுதளவிளைவு அடைந்த ஒளியை உருவாக்குகிறது.
அதாவது தளவிளைவு ஆக்கியாகச் செயல்படுகிறது.
(ii) முழுதளவிளைவு அடைந்த ஒளியைச் சோதித்துப்
பார்ப்பதற்கும் இது பயன்படுகிறது. அதாவது, தளவிளைவு ஆக்கியாகச் செயல்படும்.
நிகோல் படிகத்தின் குறைபாடுகள்
(i) அளவில் பெரிய, குறைபாடற்ற கால்சைட் படிகங்கள்
கிடைப்பது அரிது. எனவே, நிகோல் படிகத்தின் விலை மிக அதிகம்.
(ii) அசாதாரணக் கதிர் சாய்ந்த நிலையில் படிகத்தின்
வழியே செல்வதால், படிகத்திலிருந்து வெளியேறும் முழு தளவிளைவு அடைந்த ஒளிக்கதிர் எப்பொழுதும்
ஒரு பக்கமாக விலகல் அடைந்திருக்கும்.
(iii) ஒரு குறிப்பிட்ட வரம்பில் மட்டுமே இதனைப்
பார்க்க முடியும்.
(iv) நிகோல் பட்டகத்திலிருந்து வெளியேறும்
ஒளிக்கதிர், சீராக முழுதளவிளைவு அடைந்திருக்காது.
ஒளிச் சிதறலின் மூலம் தளவிளைவு ஆக்கம்
போலராய்டு ஒன்றினை சுழற்றிக்கொண்டே அதன் வழியாகத்
தெளிவான நீலவானத்தைப் பார்க்கும்போது, ஒளிச்செறிவில் மாற்றம் ஏற்படுவதைக் காணலாம்.
இதற்குக் காரணம், சூரிய ஒளி வளிமண்டலத்தில் உள்ள மூலக்கூறுகளுடன் மோதும் போது அதன்
திசையில் மாற்றம் ஏற்படுகிறது. (ஒளிச்சிதறல் ஏற்படுகிறது). தளவிளைவற்ற சூரிய ஒளி படம்
6.81 இல் காட்டப்பட்டுள்ளது. வாயு மூலக்கூறுகளில் உள்ள எலக்ட்ரான்கள் படும் ஒளியின்
மின்புலத்துடன் இடைவினை புரிகின்றன. இதன் விளைவாக மூலக்கூறுகளில் உள்ள எலக்ட்ரான்கள்
இரண்டு திசைகளில் இயக்கக் கூறுகளைப் பெறும்.
சூரியனுக்குச் செங்குத்தாக 90° கோணத்தில் பார்க்கும்
ஒருவரைக் கருதுவோம். இணையாக முடுக்கமடையும் மின் துகள்கள் பார்வையாளருக்கு ஆற்றலை கதிர்வீசாது.
ஏனெனில், மின்துகளின் முடுக்கத்தில் செங்குத்துக்கூறுகள் இல்லை. எனவே, இம்மின் துகள்களினால்
சிதறல் அடையும் கதிர்வீச்சுகள் படம் 6.82 இன் தளத்திற்குச் செங்குத்தாகத் தளவிளைவு
அடைகின்றன. இது ஒளிச்சிதறலின் மூலம் எவ்வாறு தளவிளைவு ஏற்படுகின்றது என்பதை விளக்குகிறது

படம் 6.82 ஒளிச்சிதறலினால் நிகழும் தளவிளைவு