அணு இயற்பியல் - கதிரியக்கம்: ஆல்பா சிதைவு (Alpha decay) | 12th Physics : UNIT 9 : Atomic and Nuclear Physics
ஆல்பா சிதைவு (Alpha decay):
நிலைத்தன்மையற்ற அணுக்கரு ஒன்று - துகளை (42He
அணுக்கரு) வெளியிடும் போது, அது இரு புரோட்டான்களையும் இரு நியூட்ரான்களையும் இழக்கின்றது.
இதன் விளைவாக, அதன் அணு எண் மதிப்பில் (Z) இரண்டும், நிறை எண் மதிப்பில் (A) நான்கும்
குறையும். a- சிதைவைப் பின்வரும் முறையில் குறிப்பிடலாம்.

இங்கு X என்பது தாய் அணுக்கரு என்றும் Y என்பது
சேய் அணுக்கரு என்றும் அழைக்கப்படுகின்றன.
எடுத்துக்காட்டு: , 42He
அணுக்கருவை (a - துகள்) உமிழ்வதன் மூலம் யுரேனியம் 23892U தோரியமாக
23490Th சிதைவுறுதல்.
23892U → 23490Th + 42He
ஏற்கனவே கூறப்பட்டுள்ளதைப் போன்றே, சேய் அணுக்கரு
மற்றும் 42He அணுக்கரு ஆகியவற்றின் மொத்த நிறையானது தாய் அணுக்கருவின்
நிறையை விடக் குறைவாக இருக்கும். நிறையில் காணப்படும் வேறுபாடு (Δm=mx
- my - ma) ஆற்றலாக வெளிப்படுகின்றது; இந்த ஆற்றலுக்கு சிதைவு
ஆற்றல் Q என்று பெயர். மேலும்,

குறிப்பு
ஆல்பா சிதைவின் போது, நிலைத் தன்மையற்ற அணுக்கருவானது ஏன் , 42He
அணுக்கருவை வெளிவிடுகின்றது? அது ஏன் நான்கு தனித்தனி நியூக்ளியான்களை வெளிவிடுவதில்லை
? ஏனெனில் , 42He -இலும் இரண்டு புரோட்டான்களும் இரண்டு நியூட்ரான்களும்
அல்லவா உள்ளன. இதன் காரணத்தை பின்வருமாறு விளக்கலாம். எடுத்துக்காட்டாக 23892U
அணுக்கருவானது நான்கு தனித்தனி நியூக்ளியான்களை (இரண்டு புரோட்டான்கள் மற்றும் இரண்டு
நியூட்ரான்கள்) வெளியிடுவதன் மூலம் 23490Th அணுக்கருவாகச் சிதைவுற்றால்,
இந்தநிகழ்வின் சிதைவு ஆற்றல் Q எதிர்க்குறி கொண்டதாக இருக்க வேண்டும். ஆல்பா சிதைவிற்கு
பிறகு உண்டாகும் விளைவுப் பொருள்களின் மொத்த நிறையானது, தாய் அணுக்கருவின் (23892U)
நிறையை விட அதிகமாக இருக்கும் என்பதை இது காட்டுகிறது. ஆற்றல் மாறா விதியை இது மீறும்
என்பதால் இத்தகைய நிகழ்வு இயற்கையில் ஏற்படாது. எந்தவொரு சிதைவு நிகழ்வும் ஆற்றல் மாறா
விதி, நேர்க்கோட்டு உந்தம் மாறா விதி மற்றும் கோண உந்த மாறா விதி ஆகியவற்றுக்கு உட்பட்டு
இருக்க வேண்டும்.
தன்னியல்பு (spontaneous) சிதைவுக்கு (இயற்கைக்
கதிரியக்கம்) Q > 0 என்பதைக் கவனிக்கவும். ஆல்பா சிதைவு நிகழ்வில், சிதைவு ஆற்றலின்
மதிப்பு நேர்க்குறி Q>0 உடையது என்பது தெளிவு. உண்மையில், சிதைவு ஆற்றல் Q என்பது
சிதைவு நிகழ்வின் போது பெறப்படும் நிகர இயக்க ஆற்றலே அல்லது சிதைவுக்கு முன் தாய் அணுக்கரு
ஓய்வு நிலையில் இருப்பின், Q என்பது சேய் அணுக்கரு மற்றும் , 42He
அணுக்கரு ஆகியவற்றின் மொத்த இயக்க ஆற்றலுக்குச் சமமாகும். Q < 0 எனில், சிதைவு நிகழ்வு
தன்னிச்சையாக நிகழாது; அப்போது சிதைவைத் தூண்டுவதற்கு ஆற்றல் அளிக்கப்பட வேண்டும்.
எடுத்துக்காட்டு
8.11
(அ)
ஓய்வு நிலையிலுள்ள 23292U அணுக்கருவானது a-துகளை வெளிவிடுவதன்
மூலம் 22890Th அணுக்கருவாக சிதையும் நிகழ்வில் சிதைவு ஆற்றலைக்
கணக்கிடுக. அணுநிறைகள் பின்வருமாறு : 23292U = 232.037156u,
22890Th = 228.028741u, 23292e =
4.002603u
(ஆ) 22890Th மற்றும்
a-துகள் ஆகியவற்றின் இயக்க ஆற்றல் மற்றும் அவற்றின் தகவு ஆகியவற்றைக் கணக்கிடு.
தீர்வு
நிறை குறைபாடு Δm =
(mu - mTh - ma)
= (232.037156-228.028741 - 4.002603)u
இச்சிதைவின் போது ஏற்படும் நிறை இழப்பு =
0.005812u
lu=931MeV, ஆதலால், வெளிவிடப்படும் ஆற்றல்
Q= (0.0058121u) x (931MeV/u)
= 5.41 MeV
இச்சிதைவு ஆற்றல் Q வானது, a துகள் மற்றும்
சேய் அணுக்கரு ஆகியவற்றின் இயக்க ஆற்றலாகத் தோன்றுகிறது.
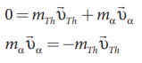
(அ) எந்தவொரு சிதைவு நிகழ்விலும் மொத்த நேர்க்கோட்டு
உந்தம் மாறாமல் இருக்க வேண்டும்.
தாய் அணுக்கருவின் மொத்த நேர்க்கோட்டு உந்தம்
= சேய் அணுக்கரு மற்றும் a- துகளின் மொத்த நேர்க்கோட்டு உந்தம். இந்த நேர்வில், சிதைவுக்கு
முன் யுரேனியம் அணுக்கரு ஓய்வு நிலையில் இருப்பதால், அதன் நேர்க்கோட்டு உந்தம் சுழியாகும்.
உந்தம் மாறா விதியின் படி,

a - துகளும் சேய் அணுக்கருவும் எதிரெதிர் திசையில்
செல்கின்றன என்பதை இது காட்டுகிறது.
mava = mTh
vTh (எண்ம திப்பில்,)
a-துகளின் வேகம் . =
இங்கு mTh / ma >
1. ஆகையால் va > vTh மேலும்
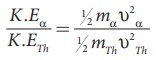
a- துகள் மற்றும் சேய் அணுக்கரு இவ்விரண்டின்
இயக்க ஆற்றல் தகவு

மேலேயுள்ள சமன்பாட்டில் va ஐப்
பிரதியிட,

a- துகளின் இயக்க ஆற்றல் சேய் அணுக்கருவின்
(3Th) இயக்க ஆற்றலை விட 57 மடங்கு அதிகம். சிதைவு ஆற்றல் Q = விளைவுப் பொருள்களின்
மொத்த இயக்க அற்றல்
K.Eα + K.ETh = 5.41MeV
57K.ETh + K.ETh = 5.41MeV
K.ETh = 5.41/58 MeV = 0.093MeV
K.Eα = 57K.ETh = 57×0.093 = 5.301MeV
மொத்த இயக்க ஆற்றலில் கிட்டத்தட்ட 98% அளவு a துகளால் எடுத்துக்கொள்ளப் படுகிறது.