அண்மைப்புள்ளி புள்ளியில் குவியப்படுத்துதல், இயல்பு நிலை குவியப்படுத்துதல் | ஒளியியல் கருவிகள் - எளிய நுண்ணோக்கி | 12th Physics : UNIT 7 : Wave Optics
எளிய நுண்ணோக்கி
ஒரு எளிய நுண்ணோக்கி என்பது, குறைந்த குவியத்தூரம்
கொண்ட ஒரு உருப்பெருக்கும் (குவிக்கும்) லென்ஸ் ஆகும். பொருளின் நேரான, உருப்பெருக்கப்பட்ட
மாய பிம்பத்தைப் பெறுவதே இதன் அடிப்படை நோக்கமாகும். இங்கு இரண்டு விதமான உருப்பெருக்கங்களைப்பற்றி
படிக்க உள்ளோம்.
(1) அண்மைப்புள்ளி புள்ளியில் குவியப்படுத்துதல்
பொருளின் பிம்பம் அருகிலுள்ள ஒரு புள்ளியில் தோன்றும். அதாவது, சாதாரண கண்களுக்கு
25 cm தொலைவில் பிம்பம் தோன்றும். இத்தொலைவிற்கு தெளிவுறு காட்சியின் மீச்சிறுதொலைவு
(D) என்று பெயர். இந்த நிலை கண்களுக்கு வசதியாக இருந்தபோதிலும், சற்றே சிரமத்தை ஏற்படுத்தும்.
இது படம் 6.83
இல் காட்டப்பட்டுள்ளது.
(2) இயல்பு நிலை குவியப்படுத்துதல் – பொருளின்
பிம்பம் ஈரில்லாத் தொலைவில் தோன்றும். இந்த நிலையில் கண்களுக்கு எவ்வித சிரமமும் இன்றிப்
பிம்பத்தை வசதியாகப் பார்க்கமுடியும் இதுப்படம் 6.84 (ஆ)வில் காட்டப்பட்டுள்ளது.
1. அண்மைப்புள்ளி
குவியப்படுத்தலுக்கான உருப்பெருக்கம்
அண்மைப்புள்ளி குவியப்படுத்தல் படம் 6.83 இல்
காட்டப்பட்டுள்ளது. லென்சின் குவியத் தூரத்திற்கு f குறைவான தொலைவில் பொருள் உள்ளது.
அதன் தொலைவு μ ஆகும். பிம்பம், மீச்சிறுதொலைவில் D அதாவது,
அண்மைப் புள்ளியில் தோன்றுகிறது. உருப்பெருக்கத்திற்கான சமன்பாடு,

லென்ஸ் சமன்பாட்டினைப் பயன்படுத்தி, 1/v –
1/u = 1/f உருப்பெருக்கத்தைப் பின்வருமாறு
எழுதலாம்

குறியீட்டு மரபினைப் பயன்படுத்தி v யின் மதிப்பை
பிரதியிடும் போது , v = -D. எனவே,

மேற்கண்ட சமன்பாடு, அண்மைப்புள்ளி குவியப்படுத்தலுக்கான
உருப்பெருக்கத்தைத் தருகிறது.

படம் 6.83 அன்மைப்புள்ளி குவியமாக்கல்
12. இயல்புநிலை
குவியப்படுத்தலுக்கான உருப்பெருக்கம் (கோண உருப்பெருக்கம்)

படம் 6.84 இயல்புநிலை குவியப்படுத்தல்
இயல்புநிலை குவியப்படுத்துதல் படம் 6.84(ஆ)
வில் காட்டப்பட்டுள்ளது. பிம்பம் ஈரில்லாத் தொலைவில் உள்ள போது ஏற்படும் உருப்பெருக்கத்தைத்
தற்போது காணலாம். பிம்பத்திற்கும், பொருளுக்கும் உள்ள விகிதம் (m= h’/h) உருப்பெருக்கத்தைக்
கொடுக்கும். ஈரில்லாத் தொலைவில் மற்றும் ஈரில்லா அளவில் ஏற்படும் பிம்பத்திற்கான நடைமுறைத்
தொடர்பினை பெற இயலாது. எனவே, நாம் கோண உருப்பெருக்கத்தை இங்குப் பயன்படுத்தலாம். லென்சின்
உதவியால் பார்க்கப்படும் பிம்பம் எற்படுத்தியக் கோணத்திற்கும் θi லென்சின்
உதவியின்றி வெறும் கண்களினால் பார்க்கப்படும் பொருள் ஏற்படுத்தியக் கோணத்திற்கும் θ0 உள்ள
விகிதத்திற்கு , கோண உருப்பெருக்கம் என்று பெயர்.


மேற்கண்ட சமன்பாடு, இயல்புநிலை குவியப்படுத்தலுக்கான
உருப்பெருக்கத்தைக் கொடுக்கும்.
அண்மைப்புள்ளி குவியப்படுத்தலுக்கான உருப்பெருக்கத்தைவிட,
இயல்புநிலை குவியப்படுத்தலுக்கான உருப்பெருக்கம் குறைவாகும். அண்மைப் புள்ளியில் குவியப்படுத்தப்பட்ட
பிம்பத்தைப் பார்ப்பதைவிட, இயல்புநிலை குவியப்படுத்துவதினால் ஏற்படும் பிம்பத்தைப்
பார்ப்பது கண்களுக்கு எளிதாகும். D/f இன் பெரிய மதிப்புகளுக்கு, இரண்டு உருப்பெருக்கங்களுக்கு
இடையே உள்ள வேறுபாடு மிகவும் குறைவாகும். இதற்குப் பின்னால் வரும் அனைத்துப் பகுதிகளிலும்
இயல்புநிலை குவியப்படுத்தல் மட்டுமே கருத்தில் கொள்ளப்படுகிறது.
எடுத்துக்காட்டு
6.41
தெளிவுறு காட்சியின் மீச்சிறுதொலைவு 25 cm
உள்ள மனிதர் ஒருவர் சிறிய எழுத்தில் அச்சடிக்கப்பட்ட புத்தகம் ஒன்றைக் குவியத்தொலைவு
5 cm கொண்ட மெல்லிய குவிலென்சின் உதவியால், அதாவது உருப்பெருக்கக் கண்ணாடியின் உதவியால்
படிக்கிறார். (அ) உருப்பெருக்கும் கண்ணாடியின் உதவியால் புத்தகத்தைப் படிக்கும் போது,
புத்தகத்தின் பக்கங்களிலிருந்து குவிலென்ஸை எவ்வளவு அருகில் மற்றும் எவ்வளவு தூரத்தில்
பிடிக்க வேண்டும்? (ஆ) மேற்கண்ட எளிய நுண்ணோக்கியைப் பயன்படுத்தும்போது ஏற்படும் பெரும்
மற்றும் சிறும் கோண உருப்பெருக்கம் (உருப்பெருக்கும் திறன்) எவ்வளவு?
தீர்வு
D = 25 cm; f = 5 cm
பொருளின் குறைந்த பட்சத் தொலைவு u; பிம்பத்தின்
தொலைவு, v = -25 cm (அண்மைப் புள்ளி குவியப்படுத்துதல்)
பொருளின் அதிகபட்சத் தொலைவு u', அதற்கான பிம்பத்தின்
தொலைவு, v' = ∞ (இயல்புநிலை குவியப்படுத்தல்)
அ . பிம்பத்தின் குறைந்த பட்சத் தொலைவைக் காண
லென்ஸ் விதியைப் பயன்படுத்தலாம்1/v , 1/u
= 1/f
சமன்பாட்டினை மாற்றியமைக்கும்போது, 1/v ,
1/u - 1/f
மதிப்புகளைப் பிரதியிடும்போது,

படிப்பதற்குப் புத்தகத்தை வைக்க வேண்டிய குறைந்தபட்சத்
தொலைவு u = -4.167 cm
பிம்பத்தின் பெருமத் தொலைவிற்கு லென்ஸ்
விதியைப் பயன்படுத்தும்போது,
சமன்பாட்டினை மாற்றி அமைக்கும் போது,
1/u - 1/v’ - 1/f
மதிப்புகளைப் பிரதியிட ,
படிப்பதற்குப் புத்தகத்தை வைக்க வேண்டிய அதிக
பட்சத் தொலைவு u’ =-5 cm
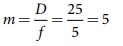
(ஆ) அண்மைப்புள்ளி குவியப்படுத்தலில் ஏற்படும்
உருப்பெருக்கம், 
இயல்புநிலை குவியப்படுத்தலில் ஏற்படும் உருப்பெருக்கம் 
3. நுண்ணோக்கியின்
பிரிதிறன்
நுண்ணோக்கியின் பிரிதிறனைக் கணக்கிடுவதற்கான விளக்கம், படம் 6.85 இல் காட்டப்பட்டுள்ளது.
நுண்ணோக்கியைக் கொண்டு பொருளை உற்றுநோக்குவதன் மூலம் அப்பொருள் தொடர்பான விவரங்களை
அறியலாம். நுண்ணோக்கியின் திறன் உருப்பெருக்கத்தை மட்டும் சார்ந்ததல்ல. மிகக் குறைந்த
தொலைவில் (dmin) அமைந்துள்ள இரண்டு புள்ளிகளை பிரித்துக் காட்டுவதையும்
சார்ந்தது. நுண்ணோக்கியின் பிரிதிறன் சிறப்பாக அமைய , புள்ளிகளுக்கு இடையே உள்ள தொலைவு
(dmin) குறைவாக இருக்க வேண்டும்.

படம் 6.85 நுண்ணோக்கியின் பிரிதிறன்
பாடப் பகுதியின் முற்பகுதியில், சமன்பாடு
6.159 இல் மையப் பெருமத்திற்கான ஆரம் தரப்பட்டுள்ளது. அதன்படி

இச்சமன்பாட்டில் f இருந்த இடத்தில், பிம்பத்தின்
தொலைவு v காணப்படுகிறது பிரித்தறிய வேண்டிய இரண்டு புள்ளிகளுக்கிடையே உள்ள சிறுமத்தொலைவு
(dmin) எனில், உருப்பெருக்கம் m ஐ பின்வருமாறு எழுதலாம்.


சிறுமத் தொலைவு (dmin) த்தின் மதிப்பை
மேலும் குறைப்பதற்கு, நுண்ணோக்கியின் பொருளருகு லென்ஸை அதிக ஒளிவிலகல் எண் n கொண்ட
எண்ணெய் நிரப்பப்பட்ட கொள்கலனில் மூழ்கவைத்து, ஒளியின் பாதையை அதிகரிக்க வேண்டும்.

இது போன்ற பொருளருகு லென்ஸ்களுக்கு எண்ணெய்யில்
மூழ்கவைக்கப்பட்ட பொருளருகு லென்ஸ் என்று பெயர். nsinβ பதத்திற்கு
எண்ணியல் துளை NA என்று பெயர்.
