கதிர்வீச்சு மற்றும் பருப்பொருளின் இருமைப்பண்பு | இயற்பியல் - எடுத்துக்காட்டு கணக்குகள், பயிற்சி கணக்குகள் | 12th Physics : UNIT 8 : Dual Nature of Radiation and Matter
எடுத்துக்காட்டு 7.1
சீசியத்தில் ஏற்படும் ஒளிமின் உமிழ்வில், அலைக் கொள்கையானது பின்வரும் முடிவுகளை கணிக்கிறது என்பதைக் காண்பிக்கவும்.
i) ஒளிஎலக்ட்ரான்களின் பெரும இயக்க ஆற்றலானது (Kபெருமம்) படுஒளியின் செறிவைச் (I) சார்ந்துள்ளது.
ii) பெரும இயக்க ஆற்றல் (Kபெருமம்) ஆனது படுஒளியின் அதிர்வெண்ணைச் சார்ந்து அமையாது மற்றும்
iii) ஒளி படுவதற்கும் ஒளிஎலக்ட்ரான்கள் உமிழப்படுவதற்கும் இடைப்பட்ட கால இடைவெளி மிக அதிகமாக அமையும்.
(தரவுகள்: சீசியத்தின் ஒளிமின் வெளியேற்று ஆற்றல் 2.14 eV மற்றும் அதில் அளவிடக்கூடிய ஒளிமின்னோட்டத்தை உருவாக்குவதற்கு ஓரலகு பரப்பில் உட்கவரப்படும் திறன் மதிப்பு 1.60x10-6Wm-2 ஆகும்)
தீர்வு
i) அலைக்கொள்கையின்படி, ஒளி ஆற்றலானது அலைமுகப்பு முழுவதிலும் சீராகவும், தொடர்ச்சி யாகவும் பரவியிருக்கும். எளிமைக்காக பின்வரும் யூகங்கள் மேற்கொள்ளப்படுகின்றன.
அ) ஒளியானது உலோகத்தின் மேல் அடுக்கில் உள்ள அணுக்களால் உட்கவரப்படுகிறது.
ஆ) கொடுக்கப்படும் தனிமத்தில், ஒவ்வொரு அணுவும் சம அளவு ஆற்றலை உட்கவர்கின்றன. இந்த ஆற்றலானது அவற்றின் குறுக்கு வெட்டுப்பரப்பு A விற்கு நேர்த்தகவில் அமையும்.
இ) ஒவ்வொரு அணுவும் இந்த ஆற்றலை தங்கள் எலக்ட்ரான்களில் ஒரு எலக்ட்ரானுக்கு அளிக்கிறது.
எடுத்துக்காட்டு 7.2
ஒரு வெள்ளி உலோகப் பரப்பின் மீது 300nm அலைநீளம் கொண்ட கதிர்வீச்சு படும்போது, ஒளி எலக்ட்ரான்கள் வெளிப்படுமா?
தீர்வு
படும் ஃபோட்டானின் ஆற்றல்
E= hv= hc / λ (ஜூல் அலகில்)
E= hc / λe (eV அலகில்)
தெரிந்த மதிப்புகளை பிரதியிட, நமக்குக் கிடைப்பது
E= 6.626x10-34 X 3 X 108 / 300x10-9 x 1.6 x 10-19
E = 4.14 ev
அட்டவணை (7.1) இல் இருந்து, வெள்ளியின் ஒளிமின் வெளியேற்று ஆற்றல் = 4.7eV ஆகும். உலோகப் பரப்பில் படும் ஒளி ஃபோட்டானின் ஆற்றல் வெள்ளி உலோகத்தின் வெளியேற்று ஆற்றலை விட குறைவாக இருப்பதால், ஒளி எலக்ட்ரான்கள் உமிழப்படாது.
எடுத்துக்காட்டு 7.3
2200Å அலைநீளம் கொண்ட ஒளியானது Cu மீது படும்போது, ஒளி எலக்ட்ரான்கள் உமிழப்படுகின்றன எனில் (i) பயன்தொடக்க அலைநீளம் மற்றும் (ii) நிறுத்து மின்னழுத்தம் ஆகியவற்றைக் கணக்கிடவும். (Cu - இன் வெளியேற்று ஆற்றல்

எடுத்துக்காட்டு 7.4
பொட்டாசியத்தின் ஒளிமின் வெளியேற்று ஆற்றல் 2.30eV ஆகும். 3000Å அலைநீளமும் 2Wm-2 செறிவும் கொண்ட புற ஊதாக் கதிர் பொட்டாசியப் பரப்பின் மீது படுகிறது எனில் i) ஒளி எலக்ட்ரான்களின் பெரும இயக்க ஆற்றலைக் கண்டுபிடிக்கவும். ii) 40% ஃபோட்டான்கள் ஒளிஎலக்ட்ரான்களை வெளியேற்றினால், பொட்டாசியத்தின் 2cm2 அளவிலான பரப்பிலிருந்து ஒரு வினாடிக்கு எத்தனை எலக்ட்ரான்கள் உமிழப்படும்?
தீர்வு

எடுத்துக்காட்டு 7.5
ஒரு உலோக மின்வாயின் மீது 390nm அலைநீளம் கொண்ட ஒளியானது படுமாறு செய்யப்படுகிறது. உமிழப்படும் எலக்ட்ரானின் ஆற்றலைக் கண்டுபிடிப்பதற்கு, இந்த மின்வாய் தகட்டிற்கும் மற்றொரு மின்வாய் தகட்டிற்கும் இடையே எதிர் மின்னழுத்தம் ஏற்படுத்தப்படுகிறது. இந்த மின்னழுத்த வேறுபாடு 1.10 V எனும் போது, மின்வாய்களுக்கு இடையேயான மின்னோட்டம் முற்றிலும் நிறுத்தப்படுகிறது எனில் (i) உலோகத்தின் ஒளிமின் வெளியேற்று ஆற்றல் மற்றும் (ii) உலோகத்திலிருந்து எலக்ட்ரானை வெளியேற்றத் தேவைப்படும் ஒளியின் பெரும் அலைநீளம் ஆகியவற்றைக் கணக்கிடுக.

எடுத்துக்காட்டு 7.6
பின்வரும் நேர்வுகளுக்கு உந்தம் மற்றும் டி ப்ராய் அலைநீளங்களைக் கணக்கிடுக.
i) 2 eV இயக்க ஆற்றல் கொண்ட எலக்ட்ரான்
ii) துப்பாக்கிலிருந்து வெளிப்படும் 50g நிறையும்n 200 ms-1 வேகமும் கொண்ட துப்பாக்கிக்குண்டு iii) நெடுஞ்சாலையில் 50 ms1 வேகத்தில் இயங்கும் 4000 kg நிறை கொண்டகார்
இதிலிருந்து பருப்பொருளின் அலை இயல்பு ஆனது அணு நிலைகளில் பொருத்தமானது எனவும், பெரிய பொருள்களில் பொருத்தமற்றது எனவும் நிரூபி.
தீர்வு
i) எலக்ட்ரானின் உந்தம்,

இந்தக் கணக்கீடுகளில் இருந்து எலக்ட்ரானின்டிப்ராய் அலைநீளம் குறிப்பிடத்தக்க அளவு உள்ளது எனத் தெரிகிறது (10-9m. இம்மதிப்பை விளிம்பு விளைவு சோதனைகள் மூலம் அளந்து விடமுடியும்). ஆனால் துப்பாக்கிக் குண்டு மற்றும் கார் ஆகியவற்றின் டி ப்ராய் அலைநீளங்கள் புறக்கணிக்கத்தக்க அளவு மிகச் சிறியதாக உள்ள ன (-10-33 m மற்றும் 10-39 m. இம்மதிப்புகளை எந்தவொரு சோதனை மூலமும் அளக்க முடியாது). எனவே, பருப்பொருளின் அலை இயல்பு ஆனது அணு நிலைகளில் பொருத்தமானது எனவும், பெரிய அமைப்புகளில் பொருத்தமற்றது எனவும் நிரூபிக்கப்படுகிறது.
எடுத்துக்காட்டு 7.7
400 V மின்னழுத்த வேறுபாட்டினால் முடுக்கப்படும் ஆல்ஃபா துகளின் டி ப்ராய் அலைநீளத்தைக் காண்க. (தரவு: புரோட்டானின் நிறை 1.67 x 10-27 kg).
தீர்வு
ஒரு ஆல்ஃபா துகளில் 2 புரோட்டான்கள் மற்றும் 2 நியூட்ரான்கள் உள்ளன. எனவே ஆல்ஃபா துகளின் நிறை M ஆனது புரோட்டானின் (அல்லது நியூட்ரானின்) நிறையைப் (mp) போன்று நான்கு மடங்கு ஆகும். அதன் மின்னூட்டம்) q ஆனது புரோட்டானின் மின்னூட்டத்தைப் (+e) போல இரு மடங்கு ஆகும்.
ஆல்பா துகளின் டிப்ராய் அலைநீளம்,

எடுத்துக்காட்டு 7.8
ஒரு புரோட்டான் மற்றும் ஒரு எலக்ட்ரான் ஆகியவை சமமான டி ப்ராய் அலைநீளத்தைக் கொண்டுள்ளன எனில், இரண்டில் எது வேகமாக இயங்குகிறது மற்றும் எது அதிக இயக்க ஆற்றலைக் கொண்டிருக்கும்?
தீர்வு

எடுத்துக்காட்டு 7.9
20,000 V முடுக்கு மின்ன ழுத்தம் உள்ள X- கதிர் குழாயில் இருந்து வெளிவரும் X- கதிர்களின் வெட்டு அலைநீளம் மற்றும் வெட்டு அதிர்வெண் ஆகியவற்றைக் கணக்கிடுக.
தீர்வு

IV. பயிற்சி கணக்குகள்
1. 50 mW திறனும் 640 nm அலைநீளமும் கொண்ட லேசர் ஒளியிலிருந்து ஒரு வினாடிக்கு எத்தனை ஃபோட்டான்கள் வெளிப்படும்?
தரவு :
P = 50 × 10−3 W
λ = 640 × 10−9 m
N = ?
N ⇒ ஒரு நொடியில் உமிழப்படும் ஃபோட்டான்களின் எண்ணிக்கை
தீர்வு:
P = Nhv

(விடை : 1.61 × 1017s−1)
2. ஒளிமின் விளைவுப் பரிசோதனையில் நிறுத்து மின்னழுத்தம் 81 V எனில், வெளிவிடப்படும் எலக்ட்ரான்களின் பெரும இயக்க ஆற்றல் மற்றும் பெரும வேகத்தைக் கணக்கிடுக.
தரவு :
V = 81 V
EK = ?
v = ?
EK = பெரும இயக்க ஆற்றல்
Vmax = பெரும திசைவேகம்
தீர்வு:
½ mv2 = eV
EK =1.6 × 10−19 × 81
= 129.6 × 10−19
EK = 1.3 × 10−17 J

(விடை : 1.3 × 10−17 J; 5.3 × 106ms−1)
3. பின்வரும் கதிர்வீச்சுகளுடன் தொடர்புடைய ஃபோட்டான்களின் ஆற்றலை கணக்கிடுக.
அ) 413 nm அலைநீளம் கொண்ட ஊதா ஒளி
ஆ) 0.1 nm அலைநீளம் கொண்ட x−கதிர்கள்
இ) 10m அலைநீளம் கொண்ட ரேடியோ அலைகள்
தீர்வு:
E = hv
E = hc/ λ (ஜு ல்)
E = hc/ λe(eV)
(அ) 413 nm அலைநீளம் கொண்ட ஊதா ஒளி

= (19.875 / 660.8) × 10 −26 × 1028
= 0.03 × 102
E = 3 eV
(ஆ) 0.1 nm அலைநீளம் கொண்ட X கதிர்கள்

= 124.24 × 102
E = 12424 eV
(இ) 10 m அலை நீளம் கொண்ட ரேடியோ அலைகள்

= (19.875 / 1.6) × 10 −26 × 10−1 × 1019
E = 1.24 × 10−7 eV
(விடை : 3 eV; 12424 eV; 1.24 × 10−7 eV)
4. 150 W திறன் கொண்ட விளக்கு ஒன்று உமிழும் ஒளியின் சராசரி அலைநீளம் 5500 Å. ஆகும். விளக்கின் பயனுறுதிறன் 12% எனில், ஒரு விநாடியில் விளக்கினால் உமிழப்படும் ஃபோட்டான்களின் எண்ணிக்கையை கணக்கிடுக.
தரவு :
P = 150 W
λ = 5500 × 10−10 m
பயனுறுதிறன் = 12%
தீர்வு:
N = Pλ / hc

N = 41.5 × 1019
பயனுறுதிறன் 12% எனில் உமிழப்படும் ஃபோட்டான்களின் எண்ணிக்கை
= 41.5 × 1019 × (12/100)
N = 4.98 × 1019
(விடை : 4.98 × 1019)
5. 1014 Hz அதிர்வெண் கொண்ட எத்தனை ஃபோட்டான்கள் இணைந்து 19.86J ஆற்றலை உருவாக்கும்?
தரவு :
E = 19.86 J
v = 1014 Hz
தீர்வு:
E = nhv

ஃபோட்டான்களின் எண்ணிக்கை N = 3 × 1020
(விடை : 3 × 1020)
6. எலக்ட்ரானின் உந்தமானது 4000 Å அலைநீளம் கொண்ட ஃபோட்டானின் உந்தத்திற்கு சமமாகும் போது, எலக்ட்ரானின் திசைவேக மதிப்பு என்ன?

(விடை : 1818 ms−1)
7. உலோகப்பரப்பு ஒன்றின் மீது 9 × 1014 Hz அதிர்வெண் கொண்ட ஒளி படும்போது வெளிப்படும் ஒளி எலக்ட்ரான்களின் பெரும வேகம் 8 × 105 ms−1 எனில், உலோகப் பரப்பின் பயன்தொடக்க அதிர்வெண்ணைக் கணக்கிடுக.

(விடை: 4.61×1014Hz)
8. ஒளி மின்கலத்தின் கேத்தோடு மீது 6000 Å அலைநீளம் கொண்ட ஒளி படும்போது ஒளியின் உமிழ்வு ஏற்படுகிறது. எலக்ட்ரான் உமிழ்வை தடுப்பதற்கு 0.8 V நிறுத்து மின்னழுத்தம் தேவைப்படுகிறது எனில் (i) ஒளியின் அதிர்வெண் (ii) படும் ஃபோட்டானின் ஆற்றல் (iii) கேத்தோடு பொருளின் வெளியேற்று ஆற்றல் (iv) பயன்தொடக்க அதிர்வெண் மற்றும் (v) பரப்பை விட்டு வெளியேறிய பின் எலக்ட்ரானின் நிகர ஆற்றல் ஆகியவற்றைக் கணக்கிடுக.

[விடை: 5 × 1014 Hz; 2.07 eV; 1.27 eV; 3.07 × 1014 Hz; 0.8 eV]
9. பொருள் ஒன்றில் இருந்து 3310 Å அலைநீளம் கொண்ட ஃபோட்டான் வெளியேற்றும் எலக்ட்ரானின் ஆற்றல் 3 × 10−19 J ஆகும். மேலும் அதே பொருளிலிருந்து 5000 Å அலைநீளம் கொண்ட ஃபோட்டான் வெளியேற்றும் எலக்ட்ரானின் ஆற்றல் 0.972 × 10−19J எனில், பிளாங்க் மாறிலி மற்றும் பொருளின் பயன்தொடக்க அலைநீளம் ஆகியவற்றைக் கணக்கிடுக.
தரவு :
λ1 = 3310 × 10−10 m
λ2 = 5000 × 10−10 m
K.E1 = 3 × 10−19 J
K.E2 = 0.972 × 10−19 J
தீர்வு:

(விடை : 6.62 × 10−34 Js ; 6620 × 10−10 m)
10. கொடுக்கப்பட்ட கணத்தில், சூரியனிடமிருந்து 4 cal cm−2 min−1 என்ற அளவில் பூமியானது ஆற்றலைப் பெறுகிறது. ஒரு நிமிடத்திற்கு புவியின் 1cm2 பரப்பில் பெறப்படும் ஃபோட்டான்களின் எண்ணிக்கையை கணக்கிடுக. (தரவுகள் : சூரிய ஒளியின் சராசரி அலைநீளம் = 5500 Å;1 கலோரி = 4.2J)
தரவு :
E = 4 cal cm−2 min−1
λ = 5500 × 10−10 m
1cal = 4.2 J
தீர்வு:
E = nhv
H = E / hv = Eλ / hc

ஃபோட்டான்களின் எண்ணிக்கை
n = 4.652 × 1019/cm2/ நிமிடம்
(விடை : 4.65 × 1019)
11. லித்தியம் பரப்பின் மீது 1800 Å அலைநீளம் கொண்ட புறஊதாக் கதிர் படுகிறது லித்தியத்தின் பயன்தொடக்க அலைநீளம் 4965 Å எனில், உமிழப்படும் எலக்ட்ரானின் பெரும ஆற்றலைக் கண்டுபிடி.
தரவு :
λ = 1800 × 10−10 m
λο = 4965 × 10−10 m
தீர்வு:
hv = hvο + K.E

hc = 6.625 × 10−34 × 3 × 108
hc = 19.86 × 10−24

= 0.0110 × 10−16 − 0.004 × 10−16
= 0.007 × 10−16 = 7 × 10−19J
eV இல் வெளிப்படும் பெரும இயக்க ஆற்றல்

= 4.375
K.E = 4.4 eV
(விடை: 4.40 eV)
12. 81.9 × 10−15 J இயக்க ஆற்றலைக் கொண்ட புரோட்டானின் டி ப்ராய் அலைநீளத்தைக் கணக்கிடுக (தரவு : புரோட்டானின் நிறை எலக்ட்ரானின் நிறையை விட 1836 மடங்கு அதிகமாகும்)

(விடை: 4 × 10−14m)
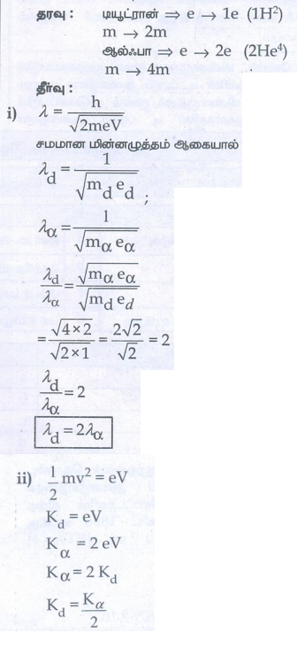
13. டியூட்ரானும், ஆல்ஃபா துகளும் ஒரே மின்னழுத்ததினால் முடுக்கப்படுகின்றன. இவற்றில் எந்த துகளுக்கு (i) டி ப்ராய் அலைநீளம் அதிகம் (ii) இயக்க ஆற்றல் குறைவு? விளக்குக.

(விடை: λd = 2λα மற்றும் Kd = Kα/2)
14. 81V மின்னழுத்த வேறுபாட்டினால் முடுக்கப்படும் எலக்ட்ரானின் டி ப்ராய் அலைநீளத்தின் மதிப்பு என்ன? இந்த அலைநீளம் மின்காந்த நிறமாலையில் எந்தப் பகுதியில் அமையும்?
தரவு :
V = 81 V
தீர்வு:

λ = 1.36 Å
X − கதிர்களின் அலைநீள நெடுக்கம் 0.1Å முதல் 100Å வரை. எனவே இந்த அலைநீளம் X கதிரில் அமையும்
(விடை: λ = 1.36 Å மற்றும் X− கதிர்கள்)
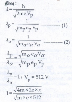
15. 512 வோல்ட் மின்னழுத்தம் மூலம் முடுக்கப்படும் புரோட்டான்களின் டி ப்ராய் அலைநீளம் மற்றும் X வோல்ட் மின்னழுத்தம் மூலம் முடுக்கப்படும் ஆல்ஃபா துகள்களின் டி ப்ராய் அலைநீளம் இடையே உள்ள தகவு 1 எனில், X −இன் மதிப்பைக் காண்க.
தரவு :
புரோட்டானின் மின்னூட்டம் = e
புரோட்டானின் நிறை = m
ஆல்பா துகளின் மின்னூட்டம் = 2e
ஆல்பா துகளின் நிறை = 4m
தீர்வு:

me × 512 = 4m 2e × x
8x = 512
x = 512 / 8
x = 64 V
(விடை: 64 V)