தீர்க்கப்பட்ட எடுத்துக்காட்டு கணக்குகள் மீட்சி நிலை ஆற்றல்
எடுத்துக்காட்டு 4.9
இரு சுருள்வில்கள் A மற்றும் B யின் சுருள்மாறிலிகள் kA > kB என்றவாறு உள்ளன. அவை சம விசைகளால் நீட்சியடையச் செய்யப்பட்டால் எந்த சுருள்வில்லின் மீது அதிக வேலை செய்யப்பட வேண்டும்?
தீர்வு

சுருள்வில்கள் மீது செய்யப்பட்ட வேலை சுருள்வில்களில் நிலை ஆற்றலாக சேமிக்கப்படுகிறது.

kA > kB, குறிப்பது UB > UA ஆகும். எனவே A - வை விட B - இன் மீது அதிக வேலை செய்யப்பட வேண்டும்.
எடுத்துக்காட்டு 4.10
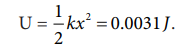
m நிறையுள்ள ஒரு பொருள் சுருள்வில்லுடன் இணைக்கப்பட்டு, செயல்படுத்தப்படும் விசையினால் அது நடுநிலையில் இருந்து 25 cm அளவிற்கு நீட்சியடைகிறது.
(a) சுருள்வில் - நிறை அமைப்பில் சேமிக்கப்பட்ட நிலை ஆற்றலைக் கணக்கிடுக.
(b) இந்த நீட்சியில் சுருள்வில் விசையால் செய்யப்பட்ட வேலை யாது?
(c) சுருள்வில்லானது அதே 25 cm அளவிற்கு அமுக்கப்பட்டால் சேமிக்கப்படும் நிலை ஆற்றல் மற்றும் அமுக்கத்தின் போது சுருள்வில் விசையால் செய்யப்பட்ட வேலை ஆகியவற்றைக் கணக்கிடுக. (சுருள்வில் மாறிலி k = 0.1 N m-1)
தீர்வு
சுருள்வில் மாறிலி k = 0.1 Nm-1
இடப்பெயர்ச்சி x = 25 cm = 0.25 m
(a) சுருள்வில்லில் சேமிக்கப்பட்ட நிலை ஆற்றல்

(b) சுருள்வில் விசை
ஆல் செய்யப்பட்ட வேலை Ws மதிப்பு

சுருள்வில்விசை
எதிர்க்குறி x அச்சின் திசையில் செயல்படுகிறது. அதேசமயம் நீட்சியானது நேர்க்குறி x அச்சின் திசையில் செயல்படுகிறது.

வெளிப்புற அமைப்பால் செய்யப்பட்ட வேலையின் மூலம் நிலை ஆற்றலை வரையறுக்கலாம். நிலை ஆற்றலில் உள்ள நேர்க்குறி, ஆற்றலானது அமைப்பிலிருந்து பொருளுக்கு மாற்றப்படுவதைக் குறிக்கிறது. ஆனால் இந்நேர்வில் மீள் விசையால் செய்யப்பட்ட வேலை எதிர்க்குறி மதிப்புடையது. ஏனென்றால் மீள்விசையானது இடப்பெயர்ச்சியின் திசைக்கு எதிர்த்திசையில் செயல்படுகிறது.
(c) அமுக்கத்தின் போதும் பொருளில் அதே அளவு நிலை ஆற்றல் சேமிக்கப்படுகிறது.

அமுக்கப்படும் போது சுருள்வில் மீள் விசையால் செய்யப்பட்ட வேலை

அமுக்கப்படும் நேர்வில் சுருள்வில் மீள்விசை நேர்க்குறி x அச்சை நோக்கி செயல்படுகிறது. மற்றும் இடப்பெயர்ச்சியானது எதிர்க்குறி x அச்சின் திசையில் உள்ளது.
