இயற்பியல் - தீர்க்கப்பட்ட எடுத்துக்காட்டு கணக்குகள்: நிலையான அலைகள் | 11th Physics : UNIT 11 : Waves
எடுத்துக்காட்டு 11.20
அடுத்தடுத்த எதிர்க்கணு, கணுவிற்கு இடைப்பட்ட தொலைவைக் கணக்கிடுக.
தீர்வு :
nவது கணுவிற்கு, அடுத்தடுத்த எதிர்க்கணு, கணுவிற்கு இடையேயான தொலைவு

எடுத்துக்காட்டு 11.21
f என்பது கம்பியின் அடிப்படை அதிர்வெண் என்க. கம்பியை l1, l2, l3 நீளம் கொண்ட மூன்று | பகுதிகளாக பிரிக்கும்போது, f1, f2 மற்றும் f3, என்பன முறையே மூன்று பகுதிகளின் அடிப்படை அதிர்வெண்கள் என்க. எனில்
என நிறுவுக.
தீர்வு:
ஒரு குறிப்பிட்ட இழுவிசை T, நீள் நிறை µ (ஓரலகு நீளத்திற்கான நிறை)க்கு, அதிர்வெண், அதிர்வுறும் கம்பியின் நீளத்திற்கு l எதிர்த்தகவில் இருக்கும்.

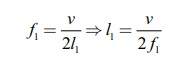
முதல் அதிர்வுறும் கம்பிக்கு,

இரண்டாவது அதிர்வுறும் கம்பிக்கு,

மூன்றாவது அதிர்வுறும் கம்பிக்கு

ஃமொத்த நீளம்

எடுத்துக்காட்டு 11.22
கிட்டார் இசைக்கருவியிலுள்ள கம்பியின் நீளம் 80 cm, நிறை 0.32 கிராம், இழுவிசை 80 N எனில், ஏற்படும் முதல் நான்கு குறைவான அதிர்வெண்களைக் காண்க.
தீர்வு :
அலையின் திசைவேகம்

கம்பியின் நீளம் L = 80 cm = 0.8m
கம்பியின் நிறை, m = 0.32 g = 0.32 × 10-3kg
எனவே, நீள்நிறை

கம்பியின் இழுவிசை, T = 80 N

அடிப்படை அதிர்வெண் f1 க்கான அலைநீளம் λ1 = 2L = 2 × 0.8 = 1.6 m
அலைநீளம் λ1, விற்கான, அடிப்படை அதிர்வெண்

இதேபோல், இரண்டாவது சீரிசைக்கான, 3 வது 4 வது சீரிசைக்கான அதிர்வெண்கள்
f2 = 2f1 = 559 Hz
f3 = 3f1 = 838.5 Hz
f4 = 4f1 = 1118 Hz