எடுத்துக்காட்டு 5.31
ஒருவழிப்பாதையில் உள்ள அரை நீள்வட்ட வளைவின் உயரம் 3 மீ மற்றும் அகலம் 12 மீ. ஒரு சரக்கு வாகனத்தின் அகலம் 3 மீ மற்றும் உயரம் 2.7 மீ எனில் இந்த வாகனம் வளைவின் வழி செல்ல முடியுமா? (படம் 5.6)
தீர்வு

சரக்கு வாகனத்தின் அகலம் 3மீ என்பதால் அது வளைவு வழிச் செல்ல சாலையின் மையத்திலிருந்து 1.5மீ தூரத்தில் வளைவின் உயரம் கணக்கிட வேண்டும். இந்த உயரம் 2.7மீ அல்லது குறைவாக இருந்தால் சரக்கு வாகனம் வளைவு வழிச் செல்லாது. (படம் 5.6)
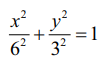
படத்திலிருந்து a = 6 மற்றும் b = 3 என்பது
என்ற நீள்வட்டச் சமன்பாட்டை அளிக்கின்றது.
3மீ அகல வாகனத்தின் விளிம்பு மையத்திலிருந்து x = 1.5 மீ −இல் இருக்கும். மையத்திலிருந்து 1.5மீ தூரத்தில் வளைவின் உயரம் காண x = 1.5 எனச் சமன்பாட்டில் பிரதியிட்டு y −இன் தீர்வு காண

y2 = 9(1− 9/144)
9(135)/144 = 135/16
y = √135/4
= 11.62/4
= 2.90
இதனால் வளைவின் மையத்திலிருந்து 1.5மீ தூரத்தில் வளைவின் உயரம் 2.90மீ, சரக்கு வாகனத்தின் உயரம் 2.7மீ என்பதால் அது நீள்வட்ட வளைவு வழியேச் செல்லும்.
எடுத்துக்காட்டு 5.32
சூரியனிலிருந்து பூமியின் அதிகபட்சம் மற்றும் குறைந்தபட்ச தூரங்கள் முறையே 152 × 106 கி.மீ மற்றும் 94.5 × 106 கி.மீ. நீள்வட்டப் பாதையின் ஒரு குவியத்தில் சூரியன் உள்ளது. சூரியனுக்கும் மற்றொரு குவியத்திற்குமான தூரம் காண்க.
தீர்வு

AS = 94.5 × 106 கி.மீ, SA' = 152 × 106 கி.மீ.
a + c = 152 ×106
a − c = 94.5 × 106
கழிக்க 2c = 57.5 × 106 = 575 × 105 கி.மீ.
மற்றொரு குவியத்திலிருந்து சூரியனுக்கு உள்ள தூரம் SS' = 575 × 105 கி.மீ.
எடுத்துக்காட்டு 5.33
ஒரு கான்கிரீட் பாலம் பரவளைய வடிவில் உள்ளது. சாலையின் மேல் உள்ள பாலத்தின் நீளம் 40மீ மற்றும் அதன் அதிகபட்ச உயரம் 15மீ எனில் அந்தப் பரவளைய வளைவின் சமன்பாடு காண்க.
தீர்வு

படத்திலிருந்து முனை (0, 0) மற்றும் பரவளையம் கீழ்நோக்கித் திறப்புடையது எனலாம்.
பரவளையத்தின் சமன்பாடு x2 = −4ay
(−20, −15) மற்றும் (20, −15) என்ற புள்ளிகள் பரவளையத்தின் மீதுள்ளன.
202 = −4a(−15)
4a = 400/15
x2 = (−80/3) × y
எனவே சமன்பாடு 3x2 = −80y
எடுத்துக்காட்டு 5.34
ஒரு பரவளையத் தொலைத்தொடர்பு அலைவாங்கியின் குவியம் அதன் முனையிலிருந்து 2மீ தூரத்தில் உள்ளது. முனையிலிருந்து 3மீ தூரத்தில் அலைவாங்கியின் அகலம் காண்க.
தீர்வு

பரவளையத்தின் சமன்பாடு y2 = 4ax.
குவியம் முனையிலிருந்து 2மீ என்பதால் a = 2
எனவே பரவளையத்தின் சமன்பாடு y2 = 8x
முனையிலிருந்து 3மீ தூரத்தில் பரவளையத்தின் மீதுள்ள புள்ளி P எனில் P என்பது (3, y)ஆக இருக்கும்
y2 = 8 × 3
y = √[8 × 3]
= 2√6
முனையிலிருந்து 3மீ தூரத்தில் அலைவாங்கியின் அகலம் 4√6 மீ ஆகும்.
எடுத்துக்காட்டு 5.35
y = 1/32 x2 என்ற சமன்பாடு சூரிய ஆற்றலுக்குப் பயன்படுத்தப்படும் பரவளைய கண்ணாடிகளின் மாதிரியைக் குறிக்கின்றது. பரவளையத்தின் குவியத்தில் வெப்பமூட்டும் குழாய் உள்ளது. இந்தக் குழாய் பரவளையத்தின் முனையிலிருந்து எவ்ளவு உயரத்தில் உள்ளது?
தீர்வு

பரவளையத்தின் சமன்பாடு
y = 1/32 x2
அதாவது x2 = 32y ; முனை (0, 0)
= 4(8)y
⇒ a = 8
வெப்பமூட்டும் குழாய் குவியம் (a, 0)−இல் பொருத்தப்பட வேண்டும். எனவே வெப்பமூட்டும் குழாய் பரவளையத்தின் முனையிலிருந்து 8 அலகுகள் உயரத்தில் பொருத்தப்பட வேண்டும்.
எடுத்துக்காட்டு 5.36
ஒரு தேடும் விளக்கு பரவளைய பிரதிபலிப்பான் கொண்டது. (குறுக்கு வெட்டு ஒரு கிண்ண வடிவம்). பரவளைய கிண்ணத்தின் விளிம்புகளுக்கு இடையே உள்ள அகலம் 40 செ.மீ மற்றும் ஆழம் 30 செ.மீ. குமிழ் குவியத்தில் பொருத்தப்பட்டுள்ளது.
(1) பிரதிபலிப்புக்குப் பயன்படுத்தப்படும் பரவளையத்தின் சமன்பாடு என்ன?
(2) ஒளி அதிகபட்சம் தூரம் தெரிவதற்கு குமிழ் பரவளையத்தின் முனையிலிருந்து எவ்வளவு தூரத்தில் பொருத்தப்பட வேண்டும்.
தீர்வு

முனை (0, 0) என்க.
பரவளையத்தின் சமன்பாடு y2 = 4ax
(1) விட்டம் 40 செ.மீ மற்றும் உயரம் 30 செ.மீ. என உள்ளதால் பரவளையத்தின் விளிம்பில் உள்ள ஒரு புள்ளி (30, 20) ஆகும்.
202 = 4a × 30
4a = 400/30 = 40/3 .
சமன்பாடு y2 = 40/3 x.
(2) குமிழ் குவியத்தில் (0, a)ஆக இருக்க வேண்டும். எனவே குமிழ் பரவளையத்தின் முனையிலிருந்து 10/3 செ.மீ. தூரத்தில் பொருத்தப்பட வேண்டும்.
எடுத்துக்காட்டு 5.37
ஓர் ஒளியியல் கண்ணாடி அமைப்பின் நீள்வட்டப் பகுதிச் சமன்பாடு x2/16 + y2/9 = 1 அந்த அமைப்பின் பரவளையப் பகுதியின் குவியம் நீள்வட்டப்பகுதியின் வலப்பக்க குவியத்தில் உள்ளது. பரவளையத்தின் முனை ஆதிப்புள்ளியிலும், பரவளையம் வலப்பக்கம் திறப்புடையதாகவும் உள்ளது. இந்த பரவளையத்தின் சமன்பாட்டைத் தீர்மானிக்கவும்.
தீர்வு

கொடுக்கப்பட்ட நீள்வட்டத்தில்
a2 = 16, b2 = 9
மற்றும் c2 = a2 – b2
c2 = 16 − 9
= 7
c = ±√7
எனவே குவியங்கள் F (√7, 0) மற்றும் F′(−√7, 0) பரவளையத்தின் குவியம் (√7, 0) = a = √7. பரவளையத்தின் சமன்பாடு y2 = 4√7x.
குவியங்களிலிருந்து நீள்வட்டத்தின் மீதுள்ள ஏதேனும் ஒரு புள்ளிக்கான கோடுகள் அந்தப் புள்ளியில் வரையப்படும் தொடுகோட்டுடன் சமமான கோணங்களை ஏற்படுத்துகின்றன (படம் 5.62).

ஒரு குவியத்திலிருந்து உமிழப்படும் ஒளி அல்லது ஒலி அல்லது வானொலி அலைகள் நீள்வட்டத்தின் ஏதேனும் ஒரு புள்ளியில் பட்டு மற்றொரு குவியத்தில் பெறப்படுகின்றது (படம் 5.63).

எடுத்துக்காட்டு 5.38
34மீ நீளமுள்ள ஓர் அறை பிரதிபலிப்புக் கூரையாக கட்டப்படவுள்ளது. அந்த அறையின் கூறை நீள்வட்ட வடிவமாக படம் 5.64−ல் இருப்பது போல் உள்ளது. அந்தக் கூரையின் அதிகபட்ச உயரம் 8 மீ எனில், அதன் குவியங்கள் எங்கே அமையும் என்பதைத் தீர்மானிக்கவும்.
தீர்வு

நீள்வட்ட வடிவக் கூரையின் அரை நெட்டச்சு 17மீ, அதன் உயரம் அரை குற்றச்சு 8மீ. இதனால்
c2 = a2 − b2 = 172 − 82
c = √[289 – 64] = √225
= 15
நீள்வட்டக் கூரையின் குவியங்கள் நெட்டச்சின் மீது மையத்திலிருந்து 15மீ தூரத்தில் இருக்கும்.
எடுத்துக்காட்டு 5.39
நீள்வட்டத்தின் சமன்பாடு
(x மற்றும் y −ன் மதிப்புகள் செ.மீ−இல் அளக்கப்படுகின்றது) நோயாளியின் சிறுநீரகக் கல் மீது அதிர்வலைகள் படுமாறு நோயாளி எந்த இடத்தில் இருக்க வேண்டும் எனக் காண்க.
தீர்வு

நீள்வட்டத்தின் சமன்பாடு
. சிறுநீரகக் கற்களைக் கரைக்க ஒலி அலைகள் தோன்றும் இடமும் நோயாளியின் சிறுநீரகக் கல்லும் குவியங்களில் உள்ளவாறு அமைய வேண்டும்.
a2 = 484 மற்றும் b2 = 64
c2 = a2 − b2
= 484 − 64
= 420
c = 20.5
நோயாளியின் சிறுநீரகக்கல் நீள்வட்டத்தின் நெட்டச்சில் மையத்திலிருந்து 20.5 செ.மீ தூரத்தில் இருக்க வேண்டும்.
எடுத்துக்காட்டு 5.40
இரு கடலோர காவல்படைத் தளங்கள் 600 கி.மீ. தொலைவில் A(0, 0) மற்றும் B(0, 600) என்ற புள்ளிகளில் அமைந்துள்ளன. P என்ற புள்ளியில் உள்ள கப்பலிலிருந்து ஆபத்திற்கான சமிக்ஞைகள் இரு தளங்களிலும் சிறிதளவு மாறுபட்ட நேரங்களில் பெறப்படுகின்றன. அவற்றிலிருந்து கப்பல், தளம் B யை விட தளம் A−க்கு 200 கி.மீ. அதிக தூரத்தில் உள்ளதாக தீர்மானிக்கப்படுகின்றது. எனவே அந்தக் கப்பல் இருக்கும் இடம் வழியாகச் செல்லும் அதிபரவளையத்தின் சமன்பாடு காண்க.
தீர்வு

இரு கடலோர காவல்படைத் தளங்கள் குவியலங்களாதலால் அவற்றின் மையம் (0, 300) அதிபரவளையத்தின் மையமாகும். எனவே சமன்பாடு
. .... (1)
a மற்றும் b −ன் மதிப்பு காண அதிபரவளையத்தின் மீதுள்ள இருபுள்ளிகளை எடுத்துப் பிரதியிடலாம்.
A ஆனது B −ஐ விட 200 கி.மீ. அதிக தூரத்தில் உள்ளதால் (0, 400) அதிபரவளையத்தின் மீதுள்ள புள்ளி
மற்றொரு புள்ளி (x, 600)−ம் அதிபரவளையத்தின் மீது 6002 + x2 = (x + 200)2 எனுமாறு உள்ளது.
360000 + x2 = x2 + 400 x + 40000
x = 800

இந்த அதிபரவைளயத்தின் ஏதோ ஒரு புள்ளியில்தான் அந்த கப்பல் உள்ளது. மூன்றாவது ஒரு காவல் படைத்தளத்தைப் பயன்படுத்தி அதன் சரியான இருப்பிடத்தைக் காண முடியும்.
எடுத்துக்காட்டு 5.41
ஒரு குறிப்பிட்ட தொலைநோக்கியில் பரவளைய பிரதிபலிப்பான் மற்றும் அதிபரவளைய பிரதிபலிப்பான் இரண்டும் உள்ளது. படம் 5.68 −இல் உள்ள தொலைநோக்கியில் பரவளையத்தின் முனையிலிருந்து 14மீ உயரத்தில் உள்ள F1 என்ற அதிபரவளையத்தின் ஒரு குவியம் பரவளையத்தின் குவியமாகவும் உள்ளது. அதிபரவளையத்தின் இரண்டாவது குவியம் F2 பரவளையத்தின் முனையிலிருந்து 2மீ உயரத்தில் உள்ளது. அதிபரவளையத்தின் முனை F1 −க்கு 1மீ கீழே உள்ளது. அதிபரவளையத்தின் மையத்தை ஆதியாகவும் குவியங்களை y −அச்சிலும் கொண்ட அதிபரவளையத்தின் சமன்பாடு காண்க.
தீர்வு

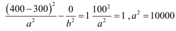
பரவளையத்தின் முனை V1 மற்றும் அதிபரவளையத்தின் முனை V2 என்க.
= 14 – 2 = 12 மீ, 2c = 12, c = 6
மையத்திலிருந்து அதிபரவளையத்தின் முனைக்கு உள்ள தூரம்
a = 6 – 1 = 5
b2 = c2 − a2
= 36 – 25 = 11.
எனவே அதிபரவளையத்தின் சமன்பாடு
