நேரியச் சமன்பாடுகளின் தொகுப்பிற்கான தீர்வு காணுதல் (Applications of Matrices: Solving System of Linear Equations) - நேரியச் சமன்பாட்டுத் தொகுப்பின் அணி வடிவம் (System of Linear Equation in Matrix Form) | 12th Maths : UNIT 1 : Applications of Matrices and Determinants
2. நேரியச் சமன்பாட்டுத் தொகுப்பின் அணி வடிவம்
(System of Linear Equation in Matrix Form)
m சமன்பாடுகள் மற்றும் n மாறிகளால் அமைந்த நேரியச் சமன்பாடுகளின் தொகுப்பின் வடிவமானது:
a11 x1 + a12 x2 + a13 x3 +...+ a1n xn = b1,
a21 x1 + a22 x2 + a23 x3 +...+ a2n xn = b2, … (1)
… …. …. …. … … … ….
am1 x1 + am2 x2 + am3 x3 +...+ amn xn = bm,
இங்கு aij, i = 1, 2, ..., m; j = 1, 2, …, n என்பவை கெழுக்கள் மற்றும் bk, k = 1, 2, ......, m என்பவை மாறிலிகள். எல்லா bk −களும் பூச்சியம் எனில் மேல் உள்ள தொகுப்பானது சமபடித்தான, நேரியச் சமன்பாடுகளின் தொகுப்பு (homogenous system of linear equations) எனப்படும். அவ்வாறு இல்லாமல் ஏதேனும் ஒரு bk ஆனது பூச்சியம் இல்லை எனில் தொகுப்பானது அசமபடித்தான நேரியச் சமன்பாடுகளின் தொகுப்பு (non − homogenous system of linear equations) எனப்படும். α1, α2, ..., αn முறையே x1, x2, ..., xn இவற்றின் மதிப்புகளாக சமன்பாட்டுத் தொகுப்பு (1)−ல் உள்ள ஒவ்வொரு சமன்பாட்டையும் நிறைவு செய்தால், (α1, α2, ..., αn) என்ற n – வரிசையானது (1)−இன் தீர்வு எனப்படும். இச்சமன்பாட்டுத் தொகுப்பு (1)−ஐ பின்வருமாறு அணிவடிவில் எழுதலாம்.
x1, x2, x3, ..., xn −ன் கெழுக்களால் A =
என்ற m× n அணியை உருவாக்குவோம். A−ன் முதல் நிரையானது சமன்பாட்டுத் தொகுப்பில் உள்ள முதல் சமன்பாட்டின் x1, x2, x3, ..., xn என்ற கெழுக்களால் அமைந்தவை. இதேபோல் மற்ற நிரைகளும் அமைந்துள்ளன. முதல் நிரலில் உள்ள உறுப்புகள் அனைத்து m சமன்பாடுகளின் வரிசைப்படி x1 கெழுக்களாக அமைந்துள்ளன.
என்பவை x1, x2, x3, ..., xn என்ற மாறிகளால் உருவான n × 1 மற்றும் b1, b2, b3, ..., bm என்ற மாறிலிகளால் உருவாக்கப்பட்ட m × 1 நிரல் அணிகள் என்க.

AX = B என்பது அணிகளைக் கொண்ட அணிச்சமன்பாடாகும் மற்றும் இதை நேரிய சமன்பாட்டுத் தொகுப்பு (1)−இன் அணி வடிவம் என அழைக்கப்படும். அணி A என்பது தொகுப்பின் கெழு அணி எனப்படும். மற்றும்
என்பது தொகுப்பின் விரிவுபடுத்தப்பட்ட (Augmented matrix) அணி எனப்படும். இந்த விரிவுபடுத்தப்பட்ட அணியை [A | B] எனக் குறிப்பிடுவோம்.
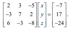
எடுத்துக்காட்டாக,.
2x + 3y − 5z + 7 = 0, 7y + 2z − 3x = 17, 6x − 3y − 8z + 24 = 0 என்ற நேரியச் சமன்பாட்டுத் தொகுப்பின் அணி வடிவமானது 