இயற்பியல் செய்முறை பரிசோதனை - டீ மார்கனின் தேற்றங்களைச் சரிபார்த்தல் | 12th Physics : Practical
டீ மார்கனின் தேற்றங்களைச் சரி பார்த்தல்
டீ மார்கனின் முதல் மற்றும் இரண்டாவது தேற்றங்களைச் சரிபார்த்தல்.
மின்மூலம் (0 - 5V), IC 7400, 7408, 7432, 7404 மற்றும் 7402 இலக்கதொகுப்புச் சுற்று பயிற்சிக்கருவி (Digital IC trainer kit) மற்றும் இணைப்புக் கம்பிகள்.
வாய்ப்பாடு
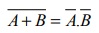
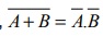
டீ மார்கனின் முதல் தேற்றம் 
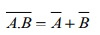
டீ மார்கனின் இரண்டாவது தேற்றம் 
மின்சுற்று
டீ மார்கனின் முதல் தேற்றம்

டீ மார்கனின் இரண்டாவது தேற்றம்

செய்முறை
1)
டீ மார்கனின் முதல் தேற்றத்தைச் சரிபார்த்தல்
•
தேற்றத்தின் இடது பக்கக் கூறுக்கான
இணைப்புகள் படத்தில் காட்டியவாறு,
தகுந்ததொகுப்புச் சுற்றுகளைப் பயன்படுத்தி மேற்கொள்ளப்படுகின்றன.
• உண்மை
அட்டவணையில் உள்ள அனைத்து உள்ளீடுகளின் சேர்க்கைளுக்கும் உரியவெளியீடுகள்
குறித்துக் கொள்ளப்பட்டு, அட்டவணை படுத்தப்படுகின்றன.
• இதே
செய்முறை, தேற்றத்தின் வலது பக்கக்கூறுக்கும்
செய்யப்படுகிறது.
• உண்மை
அட்டவணையிலிருந்து,
என நிரூபிக்கப்படுகிறது.
2)
டீ மார்கனின் இரண்டாவது தேற்றத்தைச் சரிபார்த்தல்
• தேற்றத்தின் இடது பக்கக் கூறுக்கான
இணைப்புகள் படத்தில் காட்டியவாறு தகுந்ததொகுப்புச் சுற்றுகளைப் பயன்படுத்தி மேற்கொள்ளப்படுகின்றன.
• உண்மை
அட்டவணையில் உள்ள அனைத்து உள்ளீடுகளின் சேர்க்கைளுக்கும் உரியவெளியீடுகள் குறித்துக்
கொள்ளப்பட்டு, அட்டவணை படுத்தப்படுகின்றன.
• இதே
செய்முறை, தேற்றத்தின் வலது பக்கக்கூறுக்கும்
செய்யப்படுகிறது.
• உண்மை
அட்டவனையிலிருந்து,
என நிரூபிக்கப்படுகிறது.
காட்சிப்பதிவுகள்
டீமார்கனின்
முதல் தேற்றம்
உண்மை
அட்டவனை

டீ
மார்கனின் இரண்டாவது தேற்றம்
உண்மை
அட்டவனை:

முடிவு
டீ
மார்கனின் முதல் மற்றும் இரண்டாவது தேற்றங்கள் நிரூபிக்கப்பட்டன.
குறிப்பு
• IC7408,
IC7432, மற்றும் IC7404 ஆகியவற்றின் மின் முனை படங்கள், முந்தைய சோதனையில் இருந்து
எடுத்துக் கொள்ள வேண்டும்.
• அனைத்து தொகுப்புச்சுற்றுகளுக்கும், 14 ஆம் IC மின்முனைக்கு 5V மின்னழுத்த வேறுபாடும், 7ஆம் IC மின்முனைக்கு புவி இணைப்பும் (Earthing) தரப்படுகிறது.
முன்னெச்சரிக்கை
Vcc மற்றும் புவி இணைப்பு ICமின்முனைகள் மாற்றி இணைத்தால், தொகுப்புச்சுற்று பழுதடைந்து விடும்.