பின்னங்கள் | பருவம் 3 அலகு 1 | 6 ஆம் வகுப்பு கணக்கு - கலப்பு பின்னங்களின் கூட்டல் மற்றும் கழித்தல் | 6th Maths : Term 3 Unit 1 : Fractions
கலப்பு பின்னங்களின் கூட்டல் மற்றும் கழித்தல்
இந்தச் சூழல் குறித்துச் சிந்திக்க

சரவணனின் கூட்டுக் குடும்பத்தில், பொங்கல் திருநாள் கொண்டாட்டத்தின் போது சரவணன், அவருடைய தாத்தா மற்றும் அப்பா ஆகிய மூன்று பேரும் ஒரே வண்ணமுடைய சட்டையை அணிய விரும்பினார்கள். 3 சட்டைகளைத் தைப்பதற்காகத் தேவைப்படும் துணியின் அளவுகள் முறையே 2 ¾ மீ, 2 ½ மீ மற்றும் 1 ¼ மீ. மொத்தமாக வாங்க வேண்டிய துணியின் அளவு என்ன?
எனவே, சரவணனின் தந்தை வாங்கிய துணியின் மொத்த நீளம்
ஆகும்.
பின்வரும் எடுத்துக்காட்டில் இது தீர்க்கப்பட்டுள்ளது.
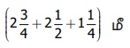
எடுத்துக்காட்டு 12
சரவணனுடைய தந்தை வாங்கிய துணியின் அளவுகள் 2 ¾ மீ, 2 ½ மீ மற்றும் 1 ¼ மீ எனில், அவர் வாங்க வேண்டிய துணியின் மொத்த நீளம் காண்க?
தீர்வு
துணியின் மொத்த நீளம் = 
முதலில் முழு எண்களைக் கூட்டுக : 2 + 2 + 1 = 5 மீ
பிறகு பின்னங்களைக் கூட்டுக

எனவே, வாங்கப்பட்ட துணியின் மொத்த நீளம் = 
எடுத்துக்காட்டு 13

இந்தச் சூழல் குறித்துச் சிந்திக்க
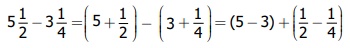
ஒரு நாள் அனிதாவின் அம்மா 5½ லிட்டர் பால் வாங்கினார்கள். அவர் 3 ¼ லிட்டர் பாலைப் பாயாசம் செய்யப் பயன்படுத்தினார் எனில், எவ்வளவு பால் மீதம் இருக்கும்? அதாவது 
எடுத்துக்காட்டு 14
மேலே கொடுக்கப்பட்ட சூழ்நிலையில், மீதம் இருக்கும் பாலின் அளவைக் கண்டறிய, 5½ லிட்டரிலிருந்து 3¼ லிட்டரைக் கழிக்க வேண்டும்.
தீர்வு
மீதம் இருக்கும் பாலின் அளவு =
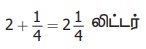
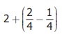
இங்கு, 5 > 3 மற்றும்
என்பதைக் கவனிக்க
முழு எண்கள் 5 மற்றும் 3 ஐயும் பின்ன எண்கள் ½ மற்றும் ¼ ஐத் தனித்தனியே கழிக்க.
எனவே,
=
(ஏனெனில்
இன் சமானப் பின்னம் 2/4 ஆகும்)
= 
குறிப்பு: கழிக்கும் கலப்பு பின்னத்தின் முழுப் பகுதி மற்றும் பின்னப் பகுதியானது, கழிக்கப்படும் கலப்பு பின்னத்தின் முழுப் பகுதி மற்றும் பின்னப் பகுதியை விடப் பெரியதாக இருந்தால் மட்டுமே இம்முறையைப் பயன்படுத்த முடியும்.
எடுத்துக்காட்டு 15
சுருக்குக: 
தீர்வு
இங்கு, 9 > 3 மற்றும்
ஆகவே, நாம் பின்வருமாறு தொடரலாம்.
கலப்பு பின்னத்தைத் தகா பின்னமாக மாற்ற வேண்டும். அதன் பிறகு கழிக்க வேண்டும்.

இங்கு 4 மற்றும் 6 இன் பொது மடங்கு 12 ஆகும்.

இவற்றை முயல்க
i)
மற்றும்
இன் கூடுதல் காண்க.
தீர்வு :

ii)
லிருந்து
ஐக் கழிக்க.
தீர்வு :

iii)
மற்றும்
ஆகியவற்றின் கூடுதலிலிருந்து
மற்றும்
ஆகியவற்றின் கூடுதலைக் கழிக்க.
தீர்வு :
