பின்னங்கள் | பருவம் 3 அலகு 1 | 6 ஆம் வகுப்பு கணக்கு - வேற்றினப் பின்னங்களின் கூட்டல் மற்றும் கழித்தல் | 6th Maths : Term 3 Unit 1 : Fractions
வேற்றினப் பின்னங்களின் கூட்டல் மற்றும் கழித்தல்
இந்தச் சூழல் குறித்துச் சிந்திக்க
வெங்கட் பால் வாங்குவதற்குச் சென்றார். அவர் முதலில்
லிட்டர் பால் வாங்கினார், பிறகு
லிட்டர் பாலினை வாங்கினார். அவர் மொத்தமாக எவ்வளவு பால் வாங்கினார் என்பதனைக் கண்டறிய விரும்பினார். எனவே பாலின் மொத்த அளவை அறிய, அவர்
மற்றும்
ஐக் கூட்ட வேண்டும். அதாவது
+
. இரண்டு வேற்றினப் பின்னங்களைக் கூட்டவோ அல்லது கழிக்கவோ வேண்டுமெனில், அவற்றை முதலில் ஓரினப் பின்னங்களாக மாற்ற வேண்டும்.
எடுத்துக்காட்டு 5
ஆசிரியர் மேலே குறிப்பிட்ட அதே சூழ்நிலையை இரவி, அருண் ஆகிய இரண்டு மாணவர்களுக்கு அளித்து, அவற்றிற்கான தீர்வினைக் கண்டுபிடிக்குமாறு கூறினார். இரவி மற்றும் அருண்
+
இக்கான விடையைப் பின்வருமாறு கண்டுபிடித்தனர்.
தீர்வு

அருணின் தீர்வு காணும் முறையே சரியானது என்று ஆசிரியர் கூறினார். பின்வரும் படத்தின் மூலமாக இதனைச் சரிபார்க்க முடியும்.

மேற்கண்ட விளக்கத்திலிருந்து, இரண்டு ஓரினப் பின்னங்களைக் கூட்டும்பொழுது, மொத்தப் பகுதிகள் (பகுதி) மாறாது என்பதையும், இரண்டிலும் நிழலிடப்பட்ட பகுதிகளைக் (தொகுதிகள்) கூட்ட வேண்டும் என்பதையும் நாம் அறியலாம்.
எடுத்துக்காட்டு 6
மற்றும்
ஐக் கூட்டுக.
தீர்வு
இவை வேற்றினப் பின்னங்கள்! அதனால் நாம் முதலில் இவற்றை ஓரினப் பின்னங்களாக மாற்ற வேண்டும். அது முடியுமா? ஆம். எப்போதும். அதை எப்படிச் செய்வது? 3 மற்றும் 5 இன் பொது மடங்கு 15. எனவே
மற்றும்
இன் பகுதிகள் 15 ஆகக் கொண்ட சமானப் பின்னங்களைக் கண்டுபிடிக்க வேண்டும்.

மேலே கொடுக்கப்பட்ட எடுத்துக்காட்டில், பொதுவான பகுதி 15 ஆகும். (3×5) இதிலிருந்து நாம் கண்டறிவது, முதல் பின்னத்தின் தொகுதி மற்றும் பகுதியானது 5 ஆல் பெருக்கப்பட்டுள்ளது. இந்த 5 இரண்டாவது பின்னத்தின் பகுதியாகும். அதே போலவே, இரண்டாவது பின்னம் 3 ஆல் பெருக்கப்படுகிறது. அது முதல் பின்னத்தின் பகுதியாகும்.
ஆகவே, ஓரினப் பின்னங்களின் தொகுதியைக் கண்டறிய, முதல் பின்னத்தின் தொகுதியை 5 ஆலும் இரண்டாவது பின்னத்தின் தொகுதியை 3 ஆலும் பெருக்க வேண்டும். பகுதியில் உள்ள (3×5) மற்றும் (5×3) சமம். இவ்வாறு ஓரினப் பின்னங்களைக் கண்டறியும் முறையினைக் குறுக்குப் பெருக்கல் முறை என்கிறோம்.
அதாவது 
எடுத்துக்காட்டு 7
சுருக்குக : 
தீர்வு
குறுக்குப் பெருக்கல் முறையில் செய்க 
இந்தச் சூழல் குறித்துச் சிந்திக்க
வாணி, தன்னுடைய புட்டியில்
லிட்டர் நீரை வைத்திருந்தார். அதில் அவர்
லிட்டர் நீரைக் குடித்துவிட்டார். எனில், புட்டியில் எவ்வளவு நீர் மீதம் இருக்கும்? புட்டியில் மீதம் இருக்கும் நீரின் அளவைக் கண்டறிய அவர் தொடக்கத்தில் வைத்திருந்த நீரின் அளவிலிருந்து அவரால் குடிக்கப்பட்ட நீரின் அளவைக் கழிக்க வேண்டும். அதாவது
–
. இதற்கான தீர்வைப் பின்வரும் எடுத்துக்காட்டில் காணலாம்.
எடுத்துக்காட்டு 8
சுருக்குக:
– ![]()
தீர்வு
2 மற்றும் 4 இன் பொதுமடங்கு 4 ஆகும்.
இன் சமானப் பின்னம்

எனவே வாணி, தனது புட்டியில்
லிட்டர் நீரை மீதம் வைத்திருப்பார். இதனைப் பின்வரும் படத்தின் மூலம் சரிபார்க்கலாம்.

எடுத்துக்காட்டு 9
மற்றும்
இக்கு இடையிலான வித்தியாசத்தைக் காண்க.
தீர்வு
வேறுபாடு கண்டறியக் கொடுக்கப்பட்ட இரண்டு பின்னங்களில் எது பெரியது என முதலில் கண்டறிய வேண்டும். இதை நாம் எப்படிக் கண்டறிவது?
ஓரினப் பின்னங்களை ஒப்பிடுவது எளிது. ஆனால் இவை வேற்றினப் பின்னங்கள். எனவே, அவற்றை ஓரினப் பின்னங்களாக மாற்றி, பிறகு ஒப்பிடுவோம். மீண்டும் பொதுவான மடங்கு 28 (4 × 7)ஐப் பயன்படுத்தி
மற்றும்
இன் சமானப் பின்னங்களான
மற்றும்
ஐப் பெறலாம்.

இக்கணக்கினைக் குறுக்குப் பெருக்கல் முறையில் பின்வருமாறு செய்யலாம்.

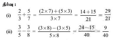
இவற்றை முயல்க:

தீர்வு :

செயல்பாடு

கொடுக்கப்பட்ட 3×3 மாயச்சதுரத்தில் உள்ள பின்னங்களை கிடைமட்ட வரிசைகள், செங்குத்து வரிசைகள் மற்றும் மூலை விட்ட வரிசைகள் வழியாகக் கூட்டினால் விடை ½ கிடைக்க, விடுபட்ட கட்டங்களை
மற்றும்
ஆகிய பின்னங்களைப் பயன்படுத்தி நிரப்புக.
தீர்வு :
