நாற்கரங்களின்
பரப்புகளைக்
காண்பதில்
ஹெரான்
சூத்திரத்தின்
பயன்பாடு (Application
of Heron's Formula in Finding Areas of Quadrilaterals)
நான்கு கோட்டுத் துண்டுகளால் அடைபடும் ஒரு தள உருவம் நாற்கரம்
என அழைக்கப்படுகிறது.

ABCD என்பது
ஒரு நாற்கரம் என்க. ஒரு நாற்கரத்தின் பரப்பைக் காண, அந்த நாற்கரத்தை இரண்டு முக்கோணப் பகுதிகளாகப் பிரித்து, ஹெரான் சூத்திரத்தைப் பயன்படுத்தி அந்த முக்கோணப் பகுதிகளின் பரப்பைக் காண வேண்டும்.
படம் 7.7 இலிருந்து,
நாற்கரம் ABCD இன் பரப்பு = முக்கோணம் ABC இன் பரப்பு + முக்கோணம் ACD இன் பரப்பு.
எடுத்துக்காட்டு 7.3
விவசாயி ஒருவர் சாய்சதுர வடிவிலான நிலத்தை வைத்துள்ளார். அந்த நிலத்தின் சுற்றளவு 400மீ மற்றும் அதன் ஒரு மூலைவிட்டத்தின் அளவு 120மீ ஆகும். இரண்டு வெவ்வேறு வகையான காய்கறிகளைப் பயிரிட அவர் நிலத்தை இரு சமபகுதிகளாகப் பிரிக்கிறார் எனில் அந்த முழு நிலத்தின் பரப்பைக் காண்க.
தீர்வு

ABCD என்பது
ஒரு சாய்சதுரம் என்க.
அதன் சுற்றளவு = 4 × பக்கம் = 400 மீ
ஆகவே சாய்சதுரத்தின் ஒவ்வொரு பக்கமும் 100 மீ ஆகும்.
இங்கு, மூலைவிட்டம் AC = 120 மீ
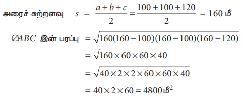
∅ABC
இல் a
=100 மீ
, b=100 மீ
, c =120 மீ
எனில்,

ஆகவே, சாய்சதுர நிலம் ABCD இன் பரப்பு = 2 × ∅ABC இன் பரப்பு = 2 × 4800 = 9600 மீ2