வாழ்வியல் கணிதம் | அலகு 4 | 8 ஆம் வகுப்பு கணக்கு - கூட்டுவட்டி | 8th Maths : Chapter 4 : Life Mathematics
கூட்டுவட்டி
இந்த பிரபஞ்சத்தில் மிக வலிமையான சக்தி ………… ஆகும். இந்தக் கூற்றை நீங்கள் எவ்வாறு நிறைவு செய்வீர்கள்? உலக புகழ்ப் பெற்ற இயற்பியலாளர் ஆல்பர்ட் ஐன்ஸ்டைன் இந்தக் கூற்றை கூட்டுவட்டி என்ற வார்த்தையைக் கொண்டு நிறைவு செய்தார்.
பணத்தைத் தனிவட்டிக்குக் [ I = (PNR / 100) ]
கடனாகப் பெற்றாலோ, முதலீடு செய்தாலோ, வட்டியானது கடன் அல்லது முதலீட்டுக் காலம் முழுவதும் ஒரே மாதிரியாகக் கணக்கிடப்படும்.
ஆனால், தபால் நிலையங்கள், வங்கிகள், காப்பீடு நிறுவனங்கள் மற்றும் பிற நிதி நிறுவனங்கள் வட்டி கணக்கிடுதலை மற்றொரு முறையிலும் அளிக்கின்றன. இங்கு, முதல் கால கட்டத்தில் (6 மாதங்கள் எனக் கொள்வோம்) சேர்ந்த வட்டியை அசலுடன் சேர்த்து, அந்த தொகையை இரண்டாம் கால கட்டத்திற்கான (அதாவது, அடுத்த 6 மாதங்களுக்கு ) அசலாக எடுத்துக் கொள்வர். இத்தகைய செயல்பாடு ஆனது வங்கிக்கும் பணம் பெற்றவரிடையேயும் ஏற்கனவே செய்துக் கொள்ளப்பட்ட நிலையான கால உடன்பாடு வரை தொடரும்.
குறிப்பிட்டக் கால கட்டத்திற்குப் பிறகு கிடைக்கும் தொகைக்கும், முதலீடு செய்யப்பட்ட பணத்திற்கும் இடையே உள்ள வித்தியாசமே கூட்டுவட்டி எனப்படும். இதனை நாம் ஆங்கிலத்தில் C.I (Compound Interest) எனக் குறிப்பிடுவோம். இங்கு, ஒவ்வொரு கால கட்டத்திற்கும் அசல் மாறுவதால் தெளிவாகக் கூட்டுவட்டியானது தனி வட்டியை விட அதிகமாக இருக்கும்.
வட்டியை அசலுடன் சேர்க்கும் இந்தக் கால கட்டத்தை நாம் மாற்றுக் காலம் எனக் கூறுவோம். அதாவது, வட்டியானது காலாண்டுக்கு ஒரு முறை கணக்கிடப்படுவதாக எடுத்துக்கொண்டால், அங்கு 3 மாதத்திற்கு ஒரு முறை என ஓர் ஆண்டில் நான்கு மாற்றுக் காலங்கள் இருக்கும். அவ்வாறான நிகழ்வுகளில், வட்டி வீதமானது ஆண்டு வட்டி வீதத்தின் நான்கில் ஒரு பங்காக இருக்கும். மேலும், கூட்டு வட்டியானது ஆண்டுகளின் எண்ணிக்கையைப் போன்று நான்கு முறை கணக்கிடப்படும்.
தனி வட்டியைப் பொறுத்தவரை, அசலானது முழுக்காலமும் மாறாமலும் கூட்டு வட்டியில் அசலானது மாற்றுக் காலத்தைப் பொறுத்து மாறிக்கொண்டே இருக்கும். முதல் மாற்றுக் காலத்தில் தனி வட்டியும் கூட்டு வட்டியும் சமமாக இருக்கும்.
விளக்கம் 1
ஆண்டுக்கு ஒரு முறை வட்டி கணக்கிடும் முறையில் ₹20000 இக்கு, ஆண்டுக்கு 10% வட்டி வீதத்தில் 4 ஆண்டுகளுக்கு கிடைக்கும் கூட்டுவட்டியைக் காணுதல் மற்றும் அதனை அதே தொகைக்குக் கிடைக்கும் தனிவட்டியுடன் ஒப்பிடுதல்.
கூட்டுவட்டியைக் கணக்கிடுதல்
முதலாம் ஆண்டு அசல் = ₹ 20000
முதலாம் ஆண்டு வட்டி
= ₹ 2000
முதலாம் ஆண்டு முடிவில், தொகை (P + I) = ₹ 22000
அதாவது, இரண்டாம் ஆண்டு அசல் = ₹ 22000
இரண்டாம் ஆண்டு வட்டி
= ₹ 2200
இரண்டாம் ஆண்டு முடிவில், தொகை = ₹ 24200
அதாவது, மூன்றாம் ஆண்டு அசல் = ₹ 24200
மூன்றாம் ஆண்டு வட்டி
= ₹ 2420
மூன்றாம் ஆண்டு முடிவில், தொகை = ₹ 26620
அதாவது, நான்காம் ஆண்டு அசல் = ₹ 26620
நான்காம் ஆண்டு வட்டி
= ₹ 2662
∴ நான்காம் ஆண்டு முடிவில், தொகை = ₹ 29282
∴ 4 ஆண்டுகளுக்கான கூட்டுவட்டி = தொகை – அசல் = 29282 – 20000 = ₹ 9282
தனிவட்டியைக் கணக்கிடுதல்
தனிவட்டி,
என்பதை நினைவு கூர்க
இங்கு , P = ₹ 20000
N = 4 ஆண்டுகள்
மற்றும் R = 10%
∴ I = 
அதாவது, I = ₹ 8000
இதிலிருந்து நாம் கவனிப்பது என்னவென்றால், நான்கு ஆண்டுகளுக்கான கூட்டு வட்டி கணக்கிடுதலில், 1.1 என்ற காரணியைக் கொண்டு 20000, (×1.1) 22000, (×1.1) 24200, (×1.1) 26620, (×1.1)29282 எனத் தொடர்ச்சியாகப் பெருக்குவதைக் பார்கிறோம். மேலும், கூட்டு வட்டியானது (₹9282) வேகமாக அதிகரிப்பதையும், தனிவட்டியை (₹8000) விட கூடுதலாக இருப்பதையும் காண்கிறோம். காலக் கட்டம் நீண்டு இருந்தால், இம்முறையில் கூட்டுவட்டியைக் காண்பது சற்று அதிகமான நேரத்தை எடுத்துக்கொள்ளும். ஆகவே, நேரத்தை சேமிக்கவும் தொகை மற்றும் கூட்டுவட்டியை எளிமையாகக் காணவும் பின்வரும் விளக்கத்தில் விளக்கியவாறு ஒரு சூத்திரம் உள்ளது.
இவற்றை முயல்க
1. கொடுக்கப்பட்ட அசலுக்கான தனிவட்டியைக் காணப் பயன்படும் சூத்திரம் PNR /100 ஆகும்.
2. ஆண்டுக்கு 8% வட்டி வீதத்தில் ₹900 இக்கு 73 நாள்களுக்கு கிடைக்கும் தனிவட்டியைக் காண்க. ₹14.4
3. எத்தனை ஆண்டுகளில் ₹2000 ஆனது ஆண்டுக்கு 10% தனி வட்டியில் ₹3600 ஆக மாறும்? 18 ஆண்டுக்கு
விளக்கம் 2
ஆண்டுக்கு ஒரு முறை வட்டி கணக்கிடப்படும் முறையில் அசல் ₹1000 இக்கு ஆண்டுக்கு 10% வட்டி வீதத்தில் 3 ஆண்டுகளுக்கு கிடைக்கும் தொகை மற்றும் கூட்டு வட்டியைக் காணுதல்.

10% வட்டியானது ஆண்டுக்கொரு முறை கூட்டுவட்டியாகக் கணக்கிடப்படுவதைக் காட்டும் ஓட்ட விளக்கப்படம்
இது, தொகைக்கான அமைப்பை, முதல் ஆண்டுக்கு
எனவும், இரண்டாம் ஆண்டுக்கு
எனவும், மூன்றாம் ஆண்டுக்கு
எனவும் உருவாக்கி தொடர்ந்து கொண்டே செல்கிறது. பொதுவாக, n ஆவது ஆண்டுக்கு
ஆகும். இங்கு 3 ஆண்டுகளுக்குப் பிறகு தொகையானது,
ஆகும். ஆகவே, கூட்டுவட்டி C.I = A – P = ₹331 ஆகும்.
கொடுக்கப்பட்ட காலக் கட்டங்களுக்கு, பின்வரும் சூத்திரங்கள் கூட்டுவட்டியை எளிதாகக் கணக்கிட உதவிடும்.
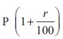
(i) ஆண்டுக்கு ஒரு முறை கூட்டுவட்டி கணக்கிடப்படும்போது நாம் பெறும் தொகை,
ஆகும்.
இங்கு , A ஆனது தொகையையும், P ஆனது அசலையும், r ஆனது ஆண்டு வட்டி வீதத்தையும் n ஆனது ஆண்டுகளின் எண்ணிக்கையையும் குறிக்கும்.
மேலும், கூட்டுவட்டி (C.I) = தொகை (A) – அசல் (P) எனப் பெறலாம்.
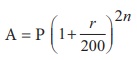
(ii) அரையாண்டுக்கு ஒரு முறை கூட்டி வட்டியானது கணக்கிடப்படும்போது நாம் பெறும் தொகை

(iii) கூட்டுவட்டியானது காலாண்டுக்கு ஒரு முறை கணக்கிடப்படும்போது நாம் பெறும் தொகை

(iv) ஒவ்வோர் ஆண்டும் வட்டி வீதம் மாறுகிறது எனில், ஆண்டுக்கொரு முறை வட்டி கணக்கிடப்படும் போது நாம் பெறும் தொகை

இங்கு a, b மற்றும் c ஆனது முறையே I, II மற்றும் III ஆண்டுகளுக்கான வட்டி வீதங்கள் ஆகும்.
(v) ஆண்டுக்கொரு முறை வட்டியானது கணக்கிடப்படும்போது, காலக்கட்டமானது
ஆண்டுகள் என பின்னத்தில் இருக்குமானால் நாம் பெறும் தொகை

(நீண்ட கணக்கீடு இருக்குமானால், கணிப்பானைப் பயன்படுத்தி விடைகளைச் சரிபார்க்கலாம்)
உங்களுக்குத் தெரியுமா?
1626ஆம் ஆண்டில், பீட்டர்மின்யூட் என்பவர் கிழக்கத்திய இந்தியர்களைச் நம்பவைத்து, அவர்களிடம் மன்ஹாட்டன் தீவை 24 டாலர்களுக்கு விற்குமாறுக் கேட்டுப் பெற்றார். இந்த 24 டாலர்கள் தொகையை உள்ளூர் அமெரிக்கர்கள், ஒரு வங்கிக் கணக்கில் அப்போது செலுத்தியிருந்தால், 5% கூட்டுவட்டி வீதத்தில், வட்டியானது மாதமொரு முறை கணக்கிடப்படும் முறையில், 2020 ஆம் ஆண்டில், அந்த வங்கிக் கணக்கில் 5.5 பில்லியன் (550 கோடி) டாலர்களுக்கு மேல் சேர்ந்திருக்கும்! இதுதான் கூட்டுவட்டியின் வலிமையாகும்!

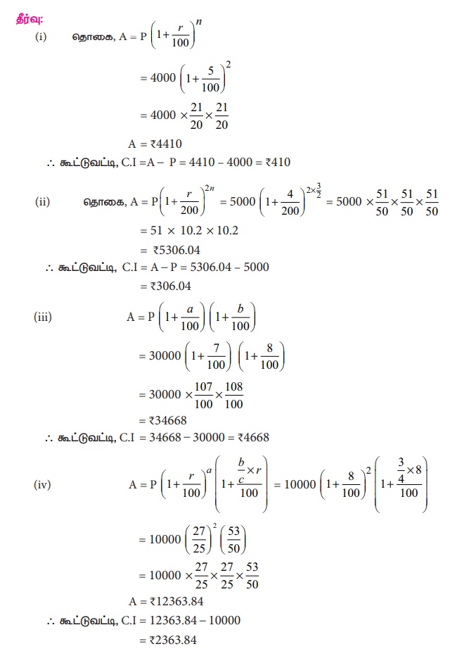
எடுத்துக்காட்டு 4.14
கீழே கொடுக்கப்பட்ட விவரங்களுக்குக் கூட்டுவட்டியைக் காண்க.
(i) அசல் = ₹4000, ஆண்டு வட்டி வீதம் r = 5% , n = 2 ஆண்டுகள், ஆண்டுக்கு ஒரு முறை வட்டி கணக்கிடப்படுகிறது.
(ii) அசல் = ₹5000, ஆண்டு வட்டி வீதம் r = 4% , n =
ஆண்டுகள், அரையாண்டுக்கு ஒரு முறை வட்டி கணக்கிடப்படுகிறது..
(iii) அசல் = ₹30000 முதலாம் ஆண்டு வட்டி வீதம், r = 7% இரண்டாம் ஆண்டு வட்டி வீதம் r = 8% ஆண்டுக்கு ஒரு முறை வட்டிக் கணக்கிடப்படுகிறது.
(iv) அசல் = ₹10000, ஆண்டு வட்டி வீதம் r = 8%, n =
ஆண்டுகள், ஆண்டுக்கு ஒரு முறை வட்டி கணக்கிடப்படுகிறது.
