வாழ்வியல் கணிதம் | அலகு 4 | 8 ஆம் வகுப்பு கணக்கு - கூட்டுவட்டிக்கும் தனிவட்டிக்கும் இடையேயுள்ள வித்தியாசம் | 8th Maths : Chapter 4 : Life Mathematics
2. கூட்டுவட்டிக்கும் தனிவட்டிக்கும் இடையேயுள்ள வித்தியாசம்
• முதல் மாற்றுக் காலத்தில் அல்லது முதல் ஆண்டில் கூட்டுவட்டிக்கும் தனிவட்டிக்கும் இடையே வித்தியாசம் இல்லை.
• 2 ஆண்டுகளுக்கு, கூட்டுவட்டிக்கும் தனிவட்டிக்கும் இடையேயுள்ள வித்தியாசம்

• 3 ஆண்டுகளுக்கு, கூட்டுவட்டிக்கும் தனிவட்டிக்கும் இடையேயுள்ள வித்தியாசம்.

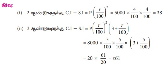
எடுத்துக்காட்டு 4.18
கூட்டுவட்டிக்கும் தனிவட்டிக்கும் இடையேயுள்ள வித்தியாசத்தைக் காண்க.
(i) P = ₹5000, ஆண்டு வட்டி வீதம் r = 4%, n = 2 ஆண்டுகள்.
(ii) P = ₹8000, ஆண்டு வட்டி வீதம் r = 5%, n = 3 ஆண்டுகள்.
தீர்வு :
