எடுத்துக்காட்டு, தீர்வு | இயற்கணிதம் | கணக்கு - இரு மாறிகளாலான நேரியச் சமன்பாடுகளின் ஒருங்கமைவு மற்றும் ஒருங்கமைவற்ற தன்மை (Consistency and Inconsistency of Linear Equations in Two Variables) | 9th Maths : UNIT 3 : Algebra
3. இரு மாறிகளாலான நேரியச் சமன்பாடுகளின் ஒருங்கமைவு மற்றும் ஒருங்கமைவற்ற தன்மை (Consistency and Inconsistency of Linear Equations in Two Variables)
கீழ்க்காணும் இரு மாறிகளாலான ஒரு சோடி நேரிய சமன்பாடுகளைக் கருதுக.
a1x+b1y +c1 = 0 ... (1)
a2x+b2y+c2 = 0 ... (2)
இங்கு a1, a2, b1, b2, c1, c2 ஆகியன மெய்யெண்கள் ஆகும்.
சமன்பாடுகள் கீழ்க்காணுமாறு தீர்வுகளைப் பெற்றிருக்கும். :
(i)
எனில் ஒரேயொரு தீர்வு மட்டும் பெற்றிருக்கும் (ஒருங்கமைவுடையது).
(ii)
எனில் எண்ணற்ற தீர்வுகள் இருக்கும் (ஒருங்கமைவுடையது)
(iii)
எனில் தீர்வு இல்லை. (ஒருங்கமைவற்றது).
எடுத்துக்காட்டு 3.54
கீழ்க்காணும் சமன்பாடுகள் ஒருங்கமைவுடையதா அல்லது ஒருங்கமைவற்றதா என்பதைச் சோதிக்கவும். அவை ஒருங்கமைவுடையது எனில் எத்தனை தீர்வுகள் இருக்கும்?
(i) 2x − 4y = 7 x − 3y = −2
(ii) 4x + y = 3 8x + 2y = 6
(iii) 4x +7 = 2y 2x + 9 = y
தீர்வு

எடுத்துக்காட்டு 3.55
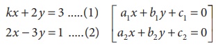
kx +2y = 3; 2x − 3y = 1 என்ற சமன்பாடுகளின் தொகுப்பிற்கு ஒரேயொரு தீர்வு மட்டும் உண்டெனில் k இன் மதிப்பை ஆராய்க.
தீர்வு
கொடுக்கப்பட்ட நேரிய சமன்பாடுகள்

இங்கு a1 = k, b1 = 2, a2 = 2, b2 = −3;
ஒரேயொரு தீர்வு உண்டெனில்
எனக் கருதுவோம். எனவே
; ஆகவே k ≠ 4/(−3)
.
எடுத்துக்காட்டு 3.56
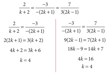
2x−3y=7; (k +2)x − (2k +1)y = 3(2k−1) என்ற சமன்பாடுகளின் தொகுப்பிற்கு எண்ணற்ற தீர்வுகள் உண்டெனில் k இன் மதிப்பு காண்க
தீர்வு
கொடுக்கப்பட்ட இரு நேரிய சமன்பாடுகள்

இங்கு a1 = 2, b1 = −3, a2 = (k+2), b2 = −(2k +1), c1 = 7, c2 = 3(2k −1)
எண்ணற்ற தீர்வுகள் உண்டெனில்,
எனக் கருதுவோம்.

எடுத்துக்காட்டு 3.57
8x + 5y = 9; kx +10y = 15 என்ற சமன்பாடுகளின் தொகுப்பிற்குத் தீர்வுகள் இல்லையெனில் k இன் மதிப்பு காண்க.
தீர்வு
கொடுக்கப்பட்ட இரு நேரிய சமன்பாடுகள்

இங்கு a1 = 8, b1 = 5, c1 = 9, a2 =k, b2 =10, c2 =15
தீர்வுகள் இல்லையெனில்
ஆகவே, 
80 = 5k
k = 16
செயல்பாடு – 3
1. கொடுக்கப்பட்ட நேரிய ஒருங்கமைவுச் சமன்பாடுகளின் தீர்வுகள் பின்வருமாறு இருந்தால் k இன் மதிப்பைக் காண்க:
(i) 2x +ky =1; 3x −5y=7 ஆகிய சமன்பாடுகளுக்கு ஒரேயொரு தீர்வு உண்டு.
(ii) kx +3y = 3; 12x +ky = 6 ஆகிய சமன்பாடுகளுக்குத் தீர்வு இல்லை.
(iii) (k−3)x +3y=k; kx +ky =12 ஆகிய சமன்பாடுகளுக்கு எண்ணற்ற தீர்வுகள் உண்டு.
2. கொடுக்கப்பட்ட 3x – (a+1)y = 2b−1, 5x + (1–2a)y = 3b நேரிய சமன்பாடுகளின் தொகுப்பிற்கு எண்ணற்ற தீர்வுகள் உண்டெனில் a மற்றும் b இன் மதிப்புகளைக் காண்க.
செயல்பாடு − 4
கீழ்க்காணும் அட்டவணையில், கொடுக்கப்பட்ட நேரிய சமன்பாட்டிற்குப் பொருத்தமான மற்றொரு நேரிய சமன்பாட்டினைக் காண்க.
